Радиационные пояса
Кузнецов С.Н., Тверская Л.В., НИИ ядерной физики им. Д.В. Скобельцына МГУ им М.Ломоносова,
1. Введение
В настоящем разделе мы кратко рассмотрим особенности движения заряженных частиц в магнитном и электрическом полях в магнитосфере Земли. С более подробным изложением этих вопросов можно ознакомиться в (Альвен, Фельтхаммер, 1967; Лайонс, Вильямс, 1987; Chen, 1970).
1.1 Движение частиц в геомагнитном поле
Значительная часть частиц радиационных поясов находится в магнитном поле, основным источником которого являются токи внутри Земли. Они создают поле близкое к дипольному. Краткие характеристики этого поля на 2005 г.: ось диполя наклонена к оси Земли на 10.26° и на поверхности Земли имеет координаты 79.74°N и 71.8°W; центр диполя сдвинут относительно центра Земли на ~ 500 км. Магнитное поле диполя в плоскости экватора геомагнитного диполя меняется по закону:
(3.2.1)
где Rэ – расстояние от центра диполя, Rз – радиус Земли. Силовая линии дипольного поля описывается формулой
(3.2.2)
где λ – геомагнитная широта. Дипольное поле меняется вдоль силовой линии как
(3.2.3)
При анализе распределения частиц радиационных поясов в магнитосфере Земли необходимо исходить из структуры и физических свойств магнитосферы. Во-первых, необходимо учитывать недипольность геомагнитного поля на больших расстояниях, вызванную давлением солнечного ветра. Во-вторых, многие явления в магнитосфере могут быть объяснены при предположении существования в магнитосфере Земли квазиоднородного электрического поля величиной 10-6 – 10-5 В/см, направленного с утра на вечер.
Движение частиц c Е < 1 ГэВ в дипольном поле можно представить как суперпозицию трех независимых движений: ларморовского вращения частицы в плоскости перпендикулярной магнитному полю; колебания мгновенного центра вращения (ведущего центра) вдоль силовых линий и дрейфа ведущего центра вокруг Земли.
Ларморовское вращение совершается с периодом τ1:
(3.2.4)
где Е - кинетическая энергия частицы в МэВ, Е0 - энергия покоя частицы в МэВ (для электрона Е0= 0.51 МэВ, для протона Е0= 938 МэВ) и В – магнитное поле в Гс.
Ларморовская частота 1/τ1 электронов вблизи Земли ~1 MГц, протонов – ~1 кГц, при удалении от Земли частота уменьшается как 1/Rз. Ларморовский радиус вращения частицы

(3.2.5)
где p ⊥ - поперечный импульс частицы, с – скорость света и α - угол между векторами скорости частицы и локального магнитного поля (питч-угол). Здесь В выражено в Гс, p⊥ с - в эВ, Е и Е0 в МэВ.
Ларморовский радиус электронов радиационных поясов в геомагнитном поле не превосходит нескольких километров, а для протонов его величина может достигать нескольких сотен километров.
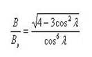
В процессе движения частицы вдоль силовой линии выполняется соотношение sin2<α /B=const. Отсюда, зная питч-угол α на экваторе, можно определить напряженность поля в точке отражения:
(3.2.6)
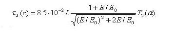
Период колебания частицы между точками отражения
(3.2.7
где Т2 (α)= 1,3-0,563 sin αэ.
Дрейф вокруг Земли по долготе для частиц с разными знаками заряда происходит в противоположных направлениях (электроны движутся на восток, протоны – на запад). Период дрейфа вокруг Земли
(3.2.8)
где K= 1,25-0,25 cos 2λm, λm – геомагнитная широта точки отражения, Е – в МэВ.
Для нерелятивистских частиц τ3= 44/(EL).
Рассмотренным периодическим движениям соответствуют некоторые величины, сохраняющиеся (в среднем) при движении частицы, если за время, характерное для данного типа движения: (τ1,τ2,τ3), изменением магнитного поля можно пренебречь:
(3.2.9)
Эти величины называются адиабатическими инвариантами движения частиц.
Первым адиабатическим инвариантом является магнитный момент частицы ![]()
Второй, или продольный инвариант (инвариант продольного действия)
(3.2.10)
Используя эти два инварианта, а также то, что Е = const в постоянном магнитном поле, можно показать, что в дипольном поле частицы с разными энергиями и питч-углами, находящиеся на одной силовой линии, при дрейфе вокруг Земли движутся практически по одной и той же оболочке (дрейфовой оболочке). Поэтому трехмерное представление захваченной радиации сводится к двумерному и характеризуется функцией двух координат: L = Rэ/Rз и В.
В том случае, когда точки отражения захваченных частиц находятся на малых высотах над поверхностью Земли, для учета влияния атмосферы на захваченные частицы вводят параметр hmin, представляющий минимальную высоту над поверхностью Земли, на которую опускается частица на данной дрейфовой оболочке L.
Третий инвариант Ф определяется как поток геомагнитного поля через экваториальную плоскость вне данной L-оболочки. При B/(dB/dt)~τ3 третий инвариант сохраняться не будет, но поскольку при этом В/(dB/dt) > (τ1 ,τ2), первые два инварианта μ и I сохраняются. Магнитное поле на данной L-оболочке будет меняться, при этом E/B=const вследствие сохранения μ, и частица может перейти на другую L-оболочку с соответствующим изменением Е.
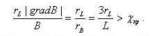
Если B/(dB/dt)~{τ1, τ2}, то ларморовское движение частицы и ее колебания между точками отражения нельзя считать независимыми движениями. При этом нарушается μ и J, экваториальный питч-угол частицы изменяется, и она может высыпаться в атмосферу. При большом импульсе частицы
(3.2.11)
Здесь rB – радиус кривизны магнитной силовой линии на экваторе. В дипольном поле rB=L/3. В таком случае частица не может находиться в магнитной ловушке в захваченном состоянии и быстро покидает ее. Согласно экспериментальным данным (Ильин, Кузнецов, 1975) χкр~0.1, это соответствует
(3.2.12)
Для протонов это приводит к следующему выражению для максимальной энергии частиц, захваченных на данной L-оболочке (нерелятивистский случай):
(3.2.13)
По расчетам (Кузнецов, Юшков, 2002) χкр=0.109exp(1.928sin2α).
1.2 Движение частицы при наличии электрического поля
Для объяснения многих явлений в магнитосфере Земли необходимо допустить существование электрического поля ε, перпендикулярного магнитному. При этом на движение ведущего центра частицы вокруг Земли накладывается дрейф в направлении, перпендикулярном электрическому и магнитному полю со скоростью Vε (смс-1): Vе = 157ε/B , 3.2.14 где ε - напряженность электрического поля в кВ/Rз, B – магнитное поле в Гс. Траекторию движения ведущего центра в плоскости экватора (αэ = 90°) можно вычислить, исходя из законов сохранения энергии и магнитного момента : Е + U = const , μ = const , 3.2.I5 где U - электрический потенциал данной точки пространства. Вид траекторий дрейфа электронов в однородном электрическом поле показан на рис. 3.2.la.
Подобный вид имеют и траектории электронов ионосферного происхождения, лишь разность между Lкр и Lmin больше, чем для высокоэнергичных электронов. Область замкнутых траекторий для ионосферных электронов качественно соответствует области плазмосферы. Для протонов больших энергий траектории подобны траекториям энергичных электронов, но зеркальны относительно линии, проходящей через центр Земли в направлении на Солнце.
Видно, что траектории, проходящие на больших расстояниях от Земли, разомкнуты. Частицы, находящиеся на замкнутых орбитах, принадлежат радиационным поясам.
Точку ветвления Lкр на критической орбите можно найти, приравняв скорости электрического и магнитного дрейфов частиц вокруг Земли:
.
Для нерелятивистских частиц получаем:
(3.2.I6)
здесь и далее Е в кэВ. Из этой формулы можно определить, частицы каких энергий на данном L принадлежат радиационным поясам. С противоположной стороны частицы проходят на минимальном расстоянии от Земли:
Lmin = Lкр/1.78.
Оценим асимметрию замкнутых траекторий дрейфа частиц. Из условия μ=const следует, что EL3=const. Отсюда можно получить:
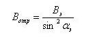
(3.2.17)
Если ΔL< Чем больше энергия частицы, тем меньше влияние электрического поля. Если мы рассматриваем движение частиц малых энергий в магнитосфере Земли, то следует учесть также вращение Земли. Это проще всего сделать в плоскости геомагнитного экватора, если ввести фиктивный отрицательный заряд в центр геомагнитного диполя. Приравнивая линейную скорость вращения вместе с Землей любой точки экваториальной плоскости к скорости электрического дрейфа (Тз – период вращения Земли), получим электрическое поле Вид траекторий электронов любых энергий и протонов малых энергий подобен. Эти частицы дрейфуют с вечерней стороны через ночную на утреннюю. Для электронов и протонов малых энергий Для протонов, у которых выполняется условие , вид траекторий дрейфа резко меняется, он показан на рис. 1б. Это получается из-за того, что на больших расстояниях протоны увлекаются вращением Земли, а при переходе на малые расстояния скорость их магнитного дрейфа становится больше скорости вращения магнитного поля Земли. Поэтому протоны меняют направление своего движения. На рис.2 схематически представлены в плоскости полуденно- полуночного меридиана области регистрации высокоэнергичных частиц в магнитосфере Земли. Асимметрия распределения частиц связана со структурой магнитосферы. Электроны с Ее > 40 кэВ и протоны с Ер ~ 50 кэВ существуют не только во внешней дневной магнитосфере, но также с ночной стороны на внешних силовых линиях дипольной структуры и силовых линиях сильно вытянутых в хвост магнитосферы в области плазменного слоя. Электроны с энергией > 500 кэВ образуют два пояса: внутренний на L < 2.5 и внешний на L> 3. В дальнейшем мы укажем, с чем связано такое разделение. Протоны не имеют такой структуры. С уменьшением L появляются протоны все больших энергий. Ранее мы указывали, что земной магнитный диполь сдвинут относительно центра Земли. Это приводит к тому, что на высотах < 1200 км пояс регистрируется в довольно ограниченной области. На рис. 3 приведена структура поясов на высоте ~ 500 км по данным ИСЗ КОРОНАС-Ф. В верхней части рисунка приведены линии изологарифма интенсивности электронов с Ее ~ 0.3–0.6 МэВ. Хорошо видно, что внутренний пояс регистрируется только над Бразилией. Электроны внешнего пояса регистрируются в узких полосах в северном и южном полушариях вокруг всей Земли. В основном – это квазизахваченные частицы внешнего пояса. В средней части рисунка представлены данные детектора, который регистрировал протоны с Ер > 23 МэВ и электроны с Ее > 1.6 МэВ. На этой же части приведены штриховыми линиями изолинии L. Видно, что внутренний пояс (в основном протоны с Ер > 23 МэВ) над Бразильской аномалией находится на L < 2. Внешний радиационный пояс (электроны с Ее > 1.6 МэВ) находится на L > 2.5. Устойчивые потоки наблюдаются над Южной Атлантикой. В остальных местах регистрируются квазизахваченные электроны (потоки менее устойчивые). В нижней части рисунка приведены данные о потоках протонов с Ер = 50–90 МэВ. Видно, что протоны регистрируются только над Бразильской аномалией. Вне Бразильской аномалии на L < 2 захваченные потоки не регистрируются, здесь можно регистрировать потоки частиц космических лучей или потоки аномальных квазизахваченных частиц. Радиационным поясам принадлежат частицы, имеющие замкнутые дрейфовые оболочки. В плоскости экватора – это частицы, движущиеся по линиям B = const при В > 60 нТл. Частицы, движущиеся с ночной стороны по линиям В < 60 нТл, или выбрасываются на утреннюю или вечернюю магнитопаузу (в зависимости от знака заряда частицы) или попадают в касповые области, где захват неустойчив. Если частицы отражаются вне плоскости экватора, особенно на малых высотах, то надо учитывать сохранение второго инварианта I. При отражении на малых высотах I ~ l, l – длина силовой линии между точками отражения. С дневной стороны последние замкнутые силовые линии L ~ 20-25 имеют длину 25-30Rз. Линии подобной длины с ночной стороны вблизи Земли соответствуют L~8. На рис. 4 показаны данные о потоках квазизахваченных электронов с Ее > 500 кэВ на средних и высоких широтах в плоскости полуденно-полуночного меридиана по данным ИСЗ КОРОНАС-И. С ночной стороны граница потоков электронов находится на ~ 69o (L ~ 7.8), с дневной стороны – на ~ 77 o(L ~ 21.6). Структура и динамика радиационных поясов определяется взаимодействием источников и потерь. Источники: - Распад нейтронов альбедо космических лучей (Singer, 1958). Нейтроны являются источником захваченных протонов с Ер>30 МэВ. Мощность этого источника для электронного пояса недостаточна. - Захват частиц из межпланетной среды при смещениях магнитопаузы во время внезапных обжатий магнитосферы солнечным ветром (Тверской, 1964а). - Перенос и ускорение заряженных частиц в магнитосфере при диффузии под действием нестационарных электрических полей (Parker, 1960; Тверской, 1964б, 1965а; Nakada and Mead, 1965; Falthammar, 1965). - Резонансное ускорение частиц под действием квазипериодических магнитных возмущений (Cladis, 1966). - Инжекция частиц в процессе диполизации при втягивании силовых линий геомагнитного хвоста в область захваченной радиации (Tverskoy, 1969). - Ускорение частиц нестационарными электрическими полями суббурь до энергии в первые сотни кэВ (Бондарева, Тверская, 1973; Li et al., 1998). - В последние годы предложено несколько механизмов ускорения электронов до релятивистских энергий на основе взаимодействия волна-частица (см., напр., Summers and Ma, 2000; Бахарева, 2003 и соответствующие ссылки). Одним из случаев инжекции является перераспределение частиц в результате большого (~200 нТл) биполярного внезапного импульса геомагнитного поля (Blake et al., 1992). Данные об этом событии представлены ниже (см. п. 2.2). Потери: Для протонов и ионов радиационных поясов основными являются ионизационные потери. Частицы теряют свою энергию при ионизации и возбуждении атомов и ионов верхней атмосферы. Для электронов кулоновское рассеяние более эффективно (McDonald and Walt, 1961). Оно определяет время жизни на L<1.5. Основным механизмом утечек электронов на больших L является циклотронная неустойчивость (Андронов и Трахтенгерц, 1964; Tverskoy, 1965b; Kennel and Petchek, 1966; Тверской, 1967). Переход от внутреннего электронного пояса к внешнему (зазор между поясами) обусловлен резким возрастанием поглощения возбуждаемых при неустойчивости волн. При этом основополагающую роль играет электромагнитное излучение в области особо низких частот, развивающееся вблизи плазмопаузы (Захаров, Кузнецов 1978). Быстрые потери частиц наблюдаются на главной фазе магнитных бурь. Для энергичных протонов уменьшение интенсивности во время магнитных бурь объясняется нарушением адиабатичности движения из- за ослабления магнитного поля (Ильин, Кузнецов, 1975). Очень сложен вопрос о быстрых потерях энергичных электронов во время магнитных бурь. Одной из причин является уменьшение размеров области замкнутых дрейфовых оболочек при обжатии магнитосферы. По-видимому, имеет место быстрое высыпание релятивистских электронов из-за паразитного резонанса с волнами, развивающимися при циклотронной неустойчивости кольцевого тока вблизи плазмопаузы (Thorne and Kennel, 1971). Возможен также ускоренный перенос частиц при перестройке конфигурации магнитосферы во внутренних областях во время магнитных бурь. Адиабатические вариации. На приэкваториальных спутниках можно наблюдать обратимые вариации интенсивности частиц, коррелированные с Dst-вариацией. Расчеты показали хорошее согласие с экспериментом (Dessler and Karplus, 1961; Тверской, 1964б). На рис. 5 представлены профили потоков протонов различных энергий в плоскости экватора по данным модели радиационных поясов АР-8min. С моделью можно ознакомиться по адресу http://nssdc.gsfc.nasa.gov/space/model/models/trap.html. Модель построена по данным различных спутников, летавших до 70- х годов. Характерным для протонного пояса является увеличение жесткости спектра с уменьшением L. С увеличением широты интенсивность частиц уменьшается. На рис. 6 показаны профили потоков протонов различных энергий в плоскости экватора и на широтах λ~30° (В/Вэ=3) и λ~44° (В/Вэ=10). Зависимость интенсивности частиц от B выражается в виде J=Jэ(В/Вэ)-n. Мы видим, что для протонов от 0.5 до 20 МэВ высотный ход универсален, n варьирует в пределах 1.8 – 2. Реальный энергетический спектр протонов показывает, что нейтроны являются источником захваченных протонов с Ер > 30 МэВ. Для протонов меньших энергий существует другой источник – захват протонов с энергиями в десятки–сотни кэВ на границе замкнутых дрейфовых оболочек (L~7-8) и дальнейшая радиальная диффузия с нарушением третьего инварианта (Parker, 1960; Тверской, 1964б, 1965а; Nakada and Mead, 1965; Falthammar, 1965). Источником протонов на L~7-8 могут быть или протоны солнечных космических лучей (СКЛ) или протоны солнечного ветра, ускоренные на стоячей ударной волне. В работе (Kuznetsov et al., 2002) указывалось, что потоки протонов на L = 6.6 по данным ИСЗ GOES коррелируют как с потоками СКЛ, так и со скоростью солнечного ветра. Оптимальная связь потоков протонов с потоками СКЛ JCR и скоростью солнечного ветра V представляется в виде Структура пояса определяется характером диффузии и потерями. В случае магнитной диффузии (под действием внезапных импульсов) коэффициент диффузии D~L10, а случае электрической – D~L6. Сравнение с экспериментальной структурой протонного пояса позволяет определить тип диффузии, ответственной за формирование пояса. Магнитная диффузия ионов с границы магнитосферы с учетом ионизационных потерь и плотности холодной атмосферы на больших высотах ~1000 см-3 дает количественное согласие с экспериментом (Тверской, 1965а, 1968; см. также Тверской, 2004). Положение максимума интенсивности протонов разных энергий Lmax(p)~E-3/16, причем для ионов i с другим атомным номером А и зарядом z теория предсказывает: Предсказанная этой теорией структура пояса альфа-частиц полностью совпала с полученными позднее экспериментальными данными (Fritz and Spjeldvik, 1981). Исследования с привлечением большого количества данных по протонам, альфа-частицам, ионам углерода и кислорода подтвердили основную роль магнитной диффузии в формировании пространственно-энергетического распределения этих частиц (Panasyuk, 2004). На рис. 7 приведены зависимости положения максимумов поясов протонов, ионов Не, С, N и О от энергии по данным модели АР-8, и по данным измерений ИСЗ «Электрон-1– 4», «Explorer-45», «Молния-1,2», и ISEE-1 (Panasyuk, 2004). Прямые линии 1 – 4 для каждого сорта ионов соответствуют теории Тверского (для ионов С и О среднее зарядовое состояние 5+ и 6+, соответственно). Экспериментальные данные для ионов имеются в сравнительно узком диапазоне энергий, и все удовлетворительно согласуются с теоретическими зависимостями. Видно, что в широком диапазоне энергий протонов (от ~0.3 до 30 МэВ) теория хорошо описывает структуру протонного пояса. Для энергий >30 МэВ, как уже отмечалось, источником частиц является распад нейтронов альбедо космических лучей. Отклонения на малых энергиях связаны с необходимостью учета перезарядки и, возможно, электрической диффузии (Панасюк, 1984). Обращает на себя внимание значительное отклонение данных модели АР-8 в области энергий 0.1 – 0.3 МэВ от многочисленных более поздних измерений. Этот интервал энергий уже относится к диапазону энергий частиц кольцевого тока и здесь не рассматривается. Ионы радиационных поясов могут иметь различное происхождение: 1. Захват ионов на внешних замкнутых дрейфовых оболочках, как и протонов, тогда максимальный их поток наблюдается на экваторе, и теория ионного пояса аналогична теории протонного пояса, как указывалось выше. 2. В магнитосферу могут проникать однозарядные ионы аномальной компоненты космических лучей, обдираться во внешней атмосфере на высотах 200 – 300 км и захватываться при соответствующем питч- угле в Бразильской аномалии (Grigorov et al., 1991). Минимальная энергия ионов Ei в МэВ/нукл находится из выражения: Эта энергия соответствует χ =0.75 и после полной обдирки для кислорода χ=0.75/8=0.94. Максимальная энергия, при которой может быть захвачен ион кислорода Emax=1.37Ei. Для кислорода такой пояс наблюдается на L~2.2 в интервале энергий 18 – 25 МэВ. Длительные исследования этого пояса проведены на спутнике SAMPEX (Leske et al., 1999, Mazur et al., 1999). В составе этого пояса были обнаружены также ионы углерода, азота, неона и аргона. На L<1.4 существует ионный пояс «второго» порядка, возникший в результате взаимодействия энергичных протонов внутреннего пояса с атомами кислорода остаточной атмосферы (Вандас и др., 1988). Протоны радиационных поясов испытывают адиабатические вариации во время магнитных бурь, коррелирующие с Dst-вариацией (McIlwain, 1966; Soraas and Davis, 1968). Во время сильных бурь наблюдаются неадиабатические вариации протонов с энергией в десятки МэВ (McIlwain, 1965; Ильин, Кузнецов, 1975). Во время магнитной бури внутри кольцевого тока магнитное поле ослабевает, поэтому условия захвата частиц изменяются. Граница захвата протонов смещается на меньшие L*. Формула справедлива при Dst •(L*)3/30040<0.17. Зарегистрированы случаи прямого захвата альфа-частиц, генерированных во время солнечных вспышек, на внутренние L- оболочки (L=3–4) (Van Allen and Randall, 1971) и возрастаний потоков более тяжелых ионов во внутренней магнитосфере во время сильных магнитных бурь (Spjeldvik and Fritz, 1981). Появление нового мощного пояса протонов и электронов с энергиями в десятки МэВ на L~2.5 было зарегистрировано на ИСЗ CRRES 24 марта 1991 г. (Blake et al., 1992). В момент гигантского (с амплитудой ~200 нТл) внезапного импульса геомагнитного поля за ~1 минуту на L~2.8 сформировался новый пояс протонов в десятки МэВ, эквивалентный стабильному внутреннему поясу, имеющему максимум на L~1.5, и электронов с Ее>15 МэВ. На рис. 8 (Li et al., 1996) представлены радиальные профили радиационных поясов для протонов с Ер=20-80 МэВ и электронов с Ее>15 МэВ, построенные по данным измерений до события 24 марта 1991 г., через 6 дней и через ~6 месяцев после образования нового пояса. Видно, что потоки электронов с Ее>15 МэВ превысили спокойный уровень почти на три порядка величины, а протоны с Ер=20-80 МэВ – более чем на два порядка. Через 6 месяцев новые пояса электронов и протонов продвинулись на меньшие L. В дальнейшем они регистрировались, по крайней мере, до середины 1993 г. (Гинзбург и др., 1993; Klecker, 1996). Эволюция “ударного” пояса релятивистских электронов в процессе последовавшей за гигантским SSC сильной магнитной бури будет рассмотрена в 3.6. Эффект «ударной» инжекции частиц был объяснен в рамках теории дрейфа частиц в электрическом и магнитном полях внезапного импульса (Тверской, 1968) в предположении существования в данном случае биполярного импульса большой амплитуды (~200 нТл): положительного длительностью ~10 сек и отрицательного длительностью ~1 мин (Павлов и др., 1993). Аналогичная идея была использована в детальном компьютерном расчете этого случая (Li et al., 1993). Как следует из расчетов, влияние внезапного биполярного импульса на перераспределение заряженных частиц во внутренней магнитосфере зависит от его амплитуды и временных масштабов переднего и заднего фронтов. Импульсы меньшей амплитуды, чем гигантский SSC 24 марта 1991 г., также могут вызвать появление новых поясов частиц других энергий на других L-оболочках. На рис 9 приведена структура пояса электронов в плоскости экватора и при В/Вэк=3 по модели АЕ-8мин (http://nssdc.gsfc.nasa.gov/space/model/models/trap.html). Мы видим, что в отличие от протонного пояса электронный можно разделить на внутренний и внешний пояса. Высотный ход потоков электронов во внешнем поясе более слабый, чем для протонов: n = 0.46, а не 2. Во внутреннем поясе высотный ход потоков электронов увеличивается. Максимум внутреннего пояса энергичных электронов (с Ее~1 МэВ) находится на L~1.5, внешнего – на L~4.5. В отличие от протонного пояса, который оказался устойчивым относительно различных видов нестабильности, внешний электронный пояс испытывает значительные вариации даже во время слабых геомагнитных возмущений. 3.2 Вариации в периферических областях внешнего электронного пояса (геосинхронная орбита) Наиболее детальные многолетние измерения энергичных электронов проведены на геосинхронных ИСЗ. Они анализировались в большом количестве работ (см., напр., обзор Friedel et al., 2002 и соответствующие ссылки). Одним из наиболее важных результатов (Paulikas and Blake, 1979), затем неоднократно подтвержденном (см., напр., Безродных и др., 1984; Baker et al., 1997), явилось установление корреляции интенсивности электронов на геосинхронной орбите со скоростью солнечного ветра. Наиболее высокая корреляция наблюдается в годы минимума солнечной активности (Kuznetsov et al., 2002). Потоки электронов появляются, как правило, на фазе восстановления магнитных бурь, но их интенсивность не зависит от мощности магнитной бури (Reeves et al., 1998). Попытка выяснить, какие факторы в межпланетной среде и внутри магнитосферы определяют появление потоков (в том числе и экстремальных) релятивистских электронов на геосинхронной орбите, была предпринята в работах (O’Brien et al., 2001; Tverskaya et al., 2002, 2005), выполненных на большом статистическом материале. На рис. 10 и 11 из (Tverskaya et al., 2002) представлены примеры вариаций потоков электронов с Ее>2 МэВ на ИСЗ GOES для двух бурь разной амплитуды: 22.01.2000 г. (Dst = -97 нТл) и 24.11.2001 г. (Dst = -221 нТл). Приведены параметры межпланетной среды: Bz-компонента ММП, плотность и скорость солнечного ветра и геомагнитные данные: AU, AL, AE индексы авроральной активности и Dst-вариация. Видно, что после бури меньшей амплитуды при небольшой (~400 км/с) скорости солнечного ветра произошло значительное возрастание потоков электронов (до ~103 см-2с-1ср-1), а после сильной бури 24 ноября при очень большой скорости солнечного ветра потоки упали и в дальнейшем не достигли даже предбуревого уровня (до ~102 см-2с-1ср-1). Определяющим фактором возрастания потоков электронов явилось наличие высокой суббуревой активности на фазе восстановления январской бури и практическое отсутствие таковой – в ноябрьской. Авторы работ (Tverskaya et al., 2002, 2005) пришли к выводу, что для появления экстремальных потоков электронов с Ее > 2 МэВ (>104 см-2с-1ср-1 ) на геосинхронной орбите необходимы и высокая скорость солнечного ветра, и высокая суббуревая активность на фазе восстановления бури. В работе (O’Brien et al., 2001) отмечена высокая корреляция потоков электронов с Pc-5 пульсациями геомагнитного поля на фазе восстановления бури. В 80% случаев, которые имели высокую мощность Рс-5 пульсаций в течение 24 и более часов после максимума бури, наблюдались большие возрастания потоков электронов. Потоки электронов на геосинхронной орбите испытывают 2-4- часовые квазипериодические вариации (так называемые “saw-tooth variations”), связанные с вариациями давления солнечного ветра, переориентациями Bz-компоненты ММП и квазипериодическими суббурями при длительной южной ориентации Bz (Tverskaya, 2001; Tverskaya and Krasotkin, 2002, Huang et al., 2003). 3.3 Диффузионные волны релятивистских электронов внешнего пояса Сформировавшийся на удаленных L-оболочках во время умеренных магнитных бурь пояс электронов под действием диффузии смещается вглубь магнитосферы. Когда после бури длительное время сохраняется невысокая геомагнитная активность, можно наблюдать диффузионные волны релятивистских электронов (Frank, 1965; Иванова и др., 2000). На рис. 12 приведены данные о распространении диффузионной волны электронов с Ee>5 МэВ по (McIlwain, 1996) после магнитной бури 16 июня 1965 г. с Dst= -84 нТл. Через два дня после бури (день 169) возник пояс с максимумом на L~4.5. Его эволюция представлена на рисунке. Анализ движения фронта на различных уровнях интенсивности дает следующую скорость этого движения Vf=(2.7)10-7L-9.25(Rз/сут) для интервала 3.2 Наиболее благоприятные условия для распространения диффузионных волн электронов существуют в минимуме солнечной активности после рекуррентных магнитных бурь, которые формируют 27-дневную периодичность в потоках энергичных электронов внешнего пояса (Williams, 1966; Иванова и др., 2000). 3.4 Сезонные вариации Сезонные вариации потоков энергичных электронов внешнего пояса наблюдались по данным измерений на ИСЗ ГЛОНАСС, Экспресс и GOES (Ivanova et al., 1997; Иванова и др., 2000; Tverskaya et al., 2003a) и SAMPEX (Baker et al., 1999). На рис.13 представлены флюенсы релятивистских электронов за один пролет пояса по данным ИСЗ ГЛОНАСС (круговая орбита на высоте 20000 км с наклонением ~65°) и геомагнитные индексы Кр и Dst за 1994-1996 гг. (Иванова и др., 2000). Жирные линии представляют результаты сглаживания флюенсов методом скользящего среднего с колоколообразной весовой функцией с эффективной длиной сглаживания ~2.5 месяца. Представленные данные демонстрируют хорошо заметные сезонные вариации: потоки электронов достигают максимальных величин весной и осенью, минимальных – зимой и летом. Наблюдаемые сезонные вариации потоков электронов внешнего пояса связаны, скорее всего, с сезонной зависимостью геомагнитных возмущений (Russel and McPherron, 1973). Коэффициент корреляции между сглаженными значениями флюенсов электронов и Кр составляет 0.7. 3.5 Зависимость положения максимума внешнего пояса энергичных электронов от цикла солнечной активности По данным измерений в 19-м цикле солнечной активности максимум внешнего пояса электронов (Lmax) и зазор между поясами отодвигались к большим L при переходе от максимума цикла к минимуму (Vernov et al., 1969). На рис.14 представлен временной ход Lmax за период 1958- 1983 гг. (Tverskaya, 1996). Приведены также бури с амплитудой Dst-вариации <100 нТл, среднемесячные значения Dst и число солнечных пятен Rz. Видно, что нет прямой корреляции Lmax с солнечной активностью, а основное влияние на его положение оказывают магнитные бури. Для нескольких лет непрерывных данных ИСЗ Молния и Метеор коэффициент корреляции Lmax с Rz составил -0.2. В то же время коэффициент корреляции Lmax со среднемесячным значением Dst составил -0.7. Наблюдается интересная особенность при сопоставлении ежемесячных непрерывных данных по Lmax (ИСЗ Метеор) с Dst в 1978- 1983 гг.: активизация магнитных бурь до и после максимума солнечной активности и соответствующее смещение Lmax к меньшим L. 3.6 Электронные радиационные пояса во время сильных магнитных бурь Структура магнитосферы и радиационных поясов определяется взаимодействием магнитосферы с солнечным ветром. Во время солнечных вспышек Солнце выбрасывает «корональные выбросы масс» (КВМ), которые отличаются большой скоростью (до 2000 км/с), большой плотностью (до нескольких десятков частиц в кубическом сантиметре), большим магнитным полем (до нескольких десятков нанотесла) на орбите Земли. Когда КВМ проходят Землю, магнитосфера резко уменьшается в размерах, уменьшается область замкнутых дрейфовых оболочек (радиационных поясов), ночной плазменный слой приближается к Земле и ток в нем увеличивается, увеличивается также магнитное поле в хвосте магнитосферы. Частицы радиационных поясов, находившиеся на внешних оболочках, выбрасываются из магнитосферы. Эти процессы протекают по-разному при разных направлениях магнитного поля КВМ (параллельном или антипараллельном геомагнитному полю). Токи, вызывающие Dst вариацию, более сильны при отрицательном Bz компоненте межпланетного поля при прочих равных условиях. В качестве примера мы рассмотрим динамику внешнего пояса во время двух сильных бурь: 24 марта 1991 г. и 6 ноября 2001 г. Буря 24 марта 1991 г. Она была вызвана КВМ, эжектированным солнечной вспышкой 22 марта в 16 ч 20 м. В момент гигантского SSC (~200 нТл) сформировался «ударный» пояс ультрарелятивистских электронов (см. раздел 2.2). Эволюция этого пояса во время последовавшей сильной магнитной бури (|Dst|max~300 нТл) и инжекция нового «буревого» пояса проанализированы в (Tverskaya et al., 2003b). На рис. 15 представлена динамика радиального профиля пояса электронов с Ee>8 МэВ (ИСЗ Метеор), появившегося во время гигантского SSC 24 марта 1991 г. Моменты пролета спутника и положение максимумов пояса указаны на графике Dst-вариации. В ~05 UT 24 марта пик пояса электронов с Ее>8 МэВ находился на L~2.8. Во время главной фазы магнитной бури пояс сместился на L~2.3. Эта вариация оказалась необратимой. На рис. 16 представлено распределение интенсивности электронов разных энергий для трех временных периодов: 24.03.91 (до SSC), 25.03.91 (в начале фазы восстановления бури) и 27.03.91 (через два дня после максимума бури). Перед бурей хорошо виден зазор между поясами. Показания детектора, регистрировавшего электроны с Ее>8 МэВ, находятся на уровне фона. На следующем пролете 25.03.91 на L~2.3 имеется пик интенсивности инжектированных во время SSC электронов, и сформировался ещё один новый пояс инжектированных во время бури электронов с максимумом на L~3. Данные ИСЗ CRRES также показывают появление после этой бури пояса электронов с Ее~2 МэВ с максимумом на L=3.1 (Ingraham et al., 1996). Наблюдается запаздывание в появлении более энергичных электронов. Это хорошо соответствует более ранним результатам исследования инжекции электронов во время бурь (Williams et al., 1968). В дальнейшем может сформироваться максимум в спектре электронов внешнего пояса в области энергий 1 – 3 МэВ (Вакулов и др., 1975, West et al., 1981). Буря 6 ноября 2001 г. Для бури 6 ноября (Tverskaya et al., 2005; Кузнецов и др., 2006) имеются данные по условиям в межпланетном пространстве. Буря была вызвана КВМ, эжектированным солнечной вспышкой 4 ноября в 16 ч. 20 м. На рис. 17 (Кузнецов и др., 2006) на верхней панели приведены данные о положении лобовой точки магнитопаузы, вычисленные по модели (Кузнецов и др., 1998), и измеренная на ИСЗ КОРОНАС-Ф граница проникновения электронов солнечных энергичных частиц (СЭЧ) с Ее=0.3-0.6 МэВ с ночной стороны. В основном – это внутренняя граница плазменного слоя. Иногда мы видим резкое увеличение L границы проникновения электронов, возможно в это время происходит диполизация магнитного поля в хвосте магнитосферы. На средней панели представлены Bz и Р, индексы, определяющие размеры магнитосферы и магнитные возмущения. На нижней панели представлены Hsym - минутный аналог Dst вариации и АЕ – индекс авроральной активности. Внезапное начало магнитной бури наблюдалось 6 ноября в 1 ч 52 м. Через несколько минут началась главная фаза бури, которая длилась около полутора часов. Магнитосфера в это время имела минимальные размеры, X(0) ~ 4Rз. При возрастании Bz и сохранении Р на одном уровне X(0) ~ 6Rз. В это время около 5 часов Hsym практически не изменялось. Именно в это время было измерено состояние пояса (см. рис.18 пунктир). Мы видим, что поток электронов всех энергий во вне
(3.2.18)![]()
которое можно рассматривать, как поле одиночного заряда. Знак заряда (отрицательный) определяется направлением вращения Земли. Потенциал поля этого заряда имеет вид ![]()
(3.2.19)![]()
1.3 Структура радиационных поясов Земли
1.4 Процессы, определяющие структуру и динамику радиационных поясов
2. Протоны и ионы радиационных поясов
2.1 Среднее состояние поясов
с коэффициентом корреляции ![]()
(3.2.20)
(3.2.21)2.2 Вариации во время магнитных бурь
3.2.223 электроны радиационных поясов
3.1 Среднее состояние поясов