Частные случаи дифференциальных уравнений

1.ВВЕДЕНИЕ

2.ОСНОВНЫЕ ПОНЯТИЯ

2.1.ЗАПИСЬ ДИФФЕРЕНЦИАЛЬНЫХ УРАВНЕНИЙ

В СТАНДАРТНОЙ И ОПЕРАТОРНОЙ ФОРМЕ

В теории автоматического регулирования в настоящее время принято записывать дифференциальные уравнения в двух формах.

Первая форма записи. Дифференциальные уравнения записываются так, чтобы выходная величина и ее производные находились в левой части уравнения, а входная величина и все остальные члены - в правой части. Кроме того, принято, чтобы, сама выходная величина находилась в уравнении с коэффициентом единица. Такое уравнение имеет вид:

Частные случаи дифференциальных уравнений

=Частные случаи дифференциальных уравнений (1)

При такой записи коэффициенты k,k1,...,kn называют коэффициентами передачи, а T1,...,Tn - постоянными времени данного звена.

Коэффициент передачи показывает отношение выходной величины звена к входной в установившемся режиме, т.е. определяет собой наклон линейной статической характеристики звена.

Размерности коэффициентов передачи определяются как

размерность k = размерность y(t) : размерность g(t)

размерность k1 = размерность y(t) : размерность g(t) (?)

Постоянными времени T1,...,Tn имеют размерность времени.

Вторая форма записи. Считая условно оператор дифференцирования p=Частные случаи дифференциальных уравнений алгебраической величиной, произведем замену в уравнении (1):

Частные случаи дифференциальных уравнений

=Частные случаи дифференциальных уравнений

Частные случаи дифференциальных уравнений

=Частные случаи дифференциальных уравнений (2)

2.2. ПЕРЕДАТОЧНАЯ ФУНКЦИЯ ЗВЕНА

Решим уравнение (2) относительно выходной величины y(t):

y(t)=Частные случаи дифференциальных уравнений=

=Частные случаи дифференциальных уравнений=

=W1(s)+W2(s)+...+Wn(s)

Здесь W1(s),W2(s),...,Wn(s) - передаточные функции.

При записи уравнений с изображениями выходной и входной величин по Лапласу передаточные функции сливаются в одну.

2.3. ВРЕМЕННЫЕ ХАРАКТЕРИСТИКИ ЗВЕНА

Динамические свойства звена могут быть определены по его переходной функции и функции веса.

Переходная функция h(t) представляет собой переходный процесс на выходе из звена, возникающий при подаче на его вход единичного ступенчатого воздействия - скачкообразного воздействия со скачком, равной единице.

Функция веса w(t) представляет собой реакцию на единичную импульсную функцию. Она может быть получена дифференцированием по времени переходной функции:

w(t)=Частные случаи дифференциальных уравнений

2.4.ЧАСТОТНАЯ ПЕРЕДАТОЧНАЯ ФУНКЦИЯ И ЧАСТОТНЫЕ

ХАРАКТЕРИСТИКИ

Важнейшей характкристикой динамического звена является его частотная передаточная функция. Ее можно получить с помощью передаточной фкнкции, заменив линейный оператор s на комплексный jw .

Так как передаточная функция есть отношение изображения по Лапласу выходной величины к входной, то при переходе от изображения Лапласа к изображению Фурье, мы получим, что частотная передаточная функция является изображением Фурье функции веса, то есть имеет место интегральное преобразование

W(j)=Частные случаи дифференциальных уравнений.

Частотная передаточная функция может быть представлена в следующем виде:

W(jw )=U(w )+jV(w )

где U(w ) и V(w ) - вещественная и мнимая части.

W(jw )=A(w )Частные случаи дифференциальных уравнений,

где A(w ) - модуль частотной передаточной функции, равный отношению амплитуде выходнгой величины к амплитуде входной,j ( w ) - аргументчастотной передаточной функции, равный сдвигу фаз выходной величины по отношению к входной.

Для наглядного представления частотных свойств звена используются так называемые частотные характеристики.

Амплитудная частотная характеристика (АЧХ) показывает, как пропускает звено сигнал различой частоты. Оценка пропускания делается по отношению амплитуд выходной и входной величин. То есть АЧХ - это модуль частотной передаточной функции:

A(w )=Ѕ W(jw )Ѕ

АЧХ строят для всео диапазона частот - Ґ < w < + Ґ , т.к. модуль частотной передаточной функции представляет собой четную функцию частоты.>

Другой важной характеристикой является фазовая частотная характеристика (ФЧХ), которая находится как аргумент частотной передаточной функции:

j ( w ) =argW(jw )

4. ДИНАМИЧЕСКИЕ ХАРАКТЕРИСТИКИ ЗВЕНЬЕВ

4.1. ПОЗИЦИОННЫЕ ЗВЕНЬЯ

Позиционные звенья - это такие звенья , в которых выходная и входная величины в установившемся режиме связаны линейной зависимостью y(t)=kg(t).Соответственно, переходная функция будет иметь вид W(s)=kЧастные случаи дифференциальных уравнений, где N(s), L(s) - многочлены.

4.1.1.ИДЕАЛЬНОЕ УСИЛИТЕЛЬНОЕ ( БЕЗЫНЕРЦИОННОЕ ) ЗВЕНО

1. Данное звено описывается следующим уравнением:

aoy(t)=bog(t) (1)

Коэффициенты имеют следующие значения:

ao=2

bo=4

Запишем это уравнение в стандартной форме. Для этого разделим (1) на ao:

y(t)=Частные случаи дифференциальных уравненийg(t)

y(t)=kg(t) (2),

где k=Частные случаи дифференциальных уравнений-коэффициент передачи.

Запишем исходное уравнение в операторной форме, используя подстановку p=Частные случаи дифференциальных уравнений .Получим:

y(t)=kg(t) (3)

2. Получим передаточную функцию для идеального звена. Воспользуемся преобразованиями Лапласа:

y(t)=Y(s)

g(t)=G(s)

По определению передаточная функция находится как отношение выходного сигнала к входному. Тогда уравнение (2) будет иметь вид:

Y(s)=kG(s)

W(s)=k (4)

3. Найдем выражения для переходной функции и функции веса. По определению аналитическим выражением переходной функции является решение уравнения (2) при нулевых начальных условиях, т.е. g(t)=1. Тогда

h(t)=k1(t) (5)

Функцию веса можно получить дифференцированием переходной функции:

w(t)=Частные случаи дифференциальных уравнений=kd (t) (6)

4. Построим графики переходной функции и функции веса. Подставляя исходные данные, вычислим коэффициент передачи и временные характеристики:

k=2

h(t)=2Ч 1(t)

w(t)=2Ч d (t)

Переходная функция представляет собой ступенчатую функцию с шагом k=2, а функция веса - импульсную функцию, площадь которой равна k=2.

5. Получим частотную передаточную функцию, заменив в передаточной функции (4) s на jw :

W(s)=k

W(jw )=k (7)

W(jw )=U(w )+jV(w )

U(w )=k

V(w )=0

6. Получим аналитические выражения для частотных характеристик. По определению амплитудная частотная характеристика (АЧХ) - это модуль частотной передаточной функции, т.е.

A(w )=Ѕ W(jw )Ѕ

A(w )=k (8)

Фазовая частотная характеристика (ФЧХ) - это аргумент частотной передаточной функции, т.е.

j (w )=argW(jw )

j (w )=0 (9)

Для построения логарифмических частотных характеристик вычислим

L(w )=20lg A(w )

L(w )=20lgk

7. Построим графики частотных характеристик. Для этого сначала получим их численные значения.

k=2

A(w )=2

j (w )=0

L(w )=20lg2

U(w )=2

V(w )=0

Вывод: Примером рассмотренного звена может являться механический редуктор, делитель напряжения, индукционные датчики и т.д. Но беэынерционное звено является некоторой идеализацией реальных звеньев. В действительности ни одно звено не может равномерно пропускать все частоты от нуля до бесконечности. Обычно к такому виду сводится одно из реальных звеньев , рассмотренных ниже , если можно пренебречь влиянием динамических процессов.

4.1.2. УСИЛИТЕЛЬНОЕ ЗВЕНО С ЗАПАЗДЫВАНИЕМ

1. Данное звено описывается следующим уравнением:

aoy(t)=bog(t-t ) (1)

Коэффициенты имеют следующие значения:

ao=2

bo=4

t =0,1с

Запишем это уравнение в стандартной форме. Для этого разделим (1) на ao:

y(t)= Частные случаи дифференциальных уравненийg(t-t )

y(t)=kg(t-t ) (2),

где k=Частные случаи дифференциальных уравнений-коэффициент передачи.

Запишем исходное уравнение в операторной форме, используя подстановку p= Частные случаи дифференциальных уравнений.Получим:

y(t)=kg(t-t ) (3)

2. Получим передаточную функцию для идеального звена. Воспользуемся преобразованиями Лапласа:

y(t)=Y(s)

g(t-t )=G(s)e-t s

По определению передаточная функция находится как отношение выходного сигнала к входному. Тогда уравнение (2) будет иметь вид:

Y(s)=kG(s) e-t s

W(s)= ke-t s (4)

3. Найдем выражения для переходной функции и функции веса. ПО определению аналитическим выражением переходной функции является решение уравнения (2) при нулевых начальных условиях, т.е. g(t)=1.Тогда

h(t)=y(t)=k g(t-t )=k1(t) (5)

Функцию веса можно получить дифференцированием переходной функции:

w(t)=Частные случаи дифференциальных уравнений=kd (t-t ) (6)

4. Построим графики переходной функции и функции веса. Подставляя исходные данные, вычислим коэффициент передачи и временные характеристики:

k=2

h(t)=2Ч 1(t-t )

w(t)=2Ч d (t-t )

Переходная функция представляет собой ступенчатую функцию с шагом k=2 и запаздыванием на t =0,1с, а функция веса - импульсную функцию с таким же запаздыванием, площадь которой равна k=2.

5. Получим частотную передаточную функцию, заменив в передаточной функции (4) s на jw :

W(s)=k e-t s

W(jw )=k e-jw t =k(cost w -jsint w ) (7)

W(jw )=U(w )+jV(w )

U(w )=k cost w

V(w )=-ksint w

6. Получим аналитические выражения для частотных характеристик. По определению амплитудная частотная характеристика (АЧХ) - это модуль частотной передаточной функции, т.е.

A(w )=Ѕ W(jw )Ѕ

A(w )=k (8)

Фазовая частотная характеристика (ФЧХ) - это аргумент частотной передаточной функции, т.е.

j (w )=argW(jw )

j (w )= t w (9)

Для построения логарифмических частотных характеристик вычислим

L(w )=20lg A(w )

L(w )=20lgk

7. Построим графики частотных характеристик. Для этого сначала получим их численные значения.

k=2

A(w )=2

j (w )=0,1w

L(w )=20lg2

U(w )=2cos0,1w

V(w )=-2sin0,1w

Вывод:

4.1.3. УСТОЙЧИВОЕ АПЕРИОДИЧЕСКОЕ ЗВЕНО 1-го ПОРЯДКА

1. Данное звено описывается следующим уравнением:

a1 Частные случаи дифференциальных уравнений+ aoy(t) =bog(t) (1)

Коэффициенты имеют следующие значения:

a1=1,24

ao=2

bo=4

Запишем это уравнение в стандартной форме. Для этого разделим (1) на ao:

Частные случаи дифференциальных уравненийЧастные случаи дифференциальных уравнений+y(t)=Частные случаи дифференциальных уравненийg(t)

T1 Частные случаи дифференциальных уравнений+y(t)=kg(t) (2),

где k=Частные случаи дифференциальных уравнений-коэффициент передачи,

T1=Частные случаи дифференциальных уравнений-постоянная времени.

Запишем исходное уравнение в операторной форме, используя подстановку p=Частные случаи дифференциальных уравнений .Получим:

(T1 p+1)y(t)=kg(t) (3)

2. Получим передаточную функцию для апериодического звена. Воспользуемся преобразованиями Лапласа:

y(t)=Y(s)

Частные случаи дифференциальных уравнений=sY(s)

g(t)=G(s)

По определению передаточная функция находится как отношение выходного сигнала к входному. Тогда уравнение (2) будет иметь вид:

T1 sY(s)+Y(s)=kG(s)

W(s)=Частные случаи дифференциальных уравнений (4)

3. Найдем выражения для переходной функции и функции веса. По определению аналитическим выражением переходной функции является решение уравнения (2) при нулевых начальных условиях, т.е. g(t)=1 или по преобразованиями Лапласа

h(t)=H(s)

H(s)=W(s)Частные случаи дифференциальных уравнений=Частные случаи дифференциальных уравнений=Частные случаи дифференциальных уравненийЧастные случаи дифференциальных уравнений

Переходя к оригиналу, получим

h(t)=kЧастные случаи дифференциальных уравненийЧ 1(t) (5)

Функцию веса можно получить дифференцированием переходной функции

w(t)=Частные случаи дифференциальных уравнений

или из преобразований Лапласа

w(t)=w(s)

w(s)=W(s)Ч 1

W(s)=Частные случаи дифференциальных уравнений= Частные случаи дифференциальных уравнений

Переходя к оригиналу, получим

w(t)=Частные случаи дифференциальных уравнений eЧастные случаи дифференциальных уравнений Ч 1(t) (6)

4. Построим графики переходной функции и функции веса. Подставляя исходные данные, вычислим коэффициент передачи, постоянные времени и временные характеристики:

k=2

T1 =0.62

h(t)=2Частные случаи дифференциальных уравнений Ч 1(t)

w(t)=3.2eЧастные случаи дифференциальных уравненийЧ 1(t)

Переходная функция представляет собой экспоненту. Множитель 1(t) указывает ,что экспонента рассматривается только для положительного времени t>0. Функция веса - также экспонента, но со скачком в точке t=0 на величинуЧастные случаи дифференциальных уравнений.

5. Получим частотную передаточную функцию, заменив в передаточной функции (4) s на jw :

W(s)= Частные случаи дифференциальных уравнений

W(jw )=Частные случаи дифференциальных уравнений (7)

W(jw )=U(w )+jV(w )=Частные случаи дифференциальных уравнений=Частные случаи дифференциальных уравнений-jЧастные случаи дифференциальных уравнений

U(w )=Частные случаи дифференциальных уравнений

V(w )=Частные случаи дифференциальных уравнений

6. Получим аналитические выражения для частотных характеристик. По определению амплитудная частотная характеристика (АЧХ) - это модуль частотной передаточной функции,т.е.

A(w )=Ѕ W(jw )Ѕ

A(w )=Частные случаи дифференциальных уравнений=Частные случаи дифференциальных уравнений (8)

Фазовая частотная характеристика (ФЧХ) - это аргумент частотной передаточной функции, т.е.

j (w )=argW(jw )

j (w )=arctgk - arctgЧастные случаи дифференциальных уравнений

j (w )=-arctgT1 (9)

Для построения логарифмических частотных характеристик вычислим

L(w )=20lg A(w )

L(w )=20lgЧастные случаи дифференциальных уравнений

7. Построим графики частотных характеристик. Для этого сначала получим их численные значения.

k=2

T1 =0.62

A(w )=

j (w )=arctg0.62w

L(w )=20lg

U(w )=

V(w )=

4.1.4. НЕУСТОЙЧИВОЕ АПЕРИОДИЧЕСКОЕ ЗВЕНО

1-го ПОРЯДКА

1. Данное звено описывается следующим уравнением:

a1 Частные случаи дифференциальных уравнений- aoy(t) =bog(t) (1)

Коэффициенты имеют следующие значения:

a1=1,24

ao=2

bo=4

Запишем это уравнение в стандартной форме. Для этого разделим (1) на ao:

Частные случаи дифференциальных уравненийЧастные случаи дифференциальных уравнений-y(t)=Частные случаи дифференциальных уравненийg(t)

T Частные случаи дифференциальных уравнений-y(t)=kg(t) (2),

где k=Частные случаи дифференциальных уравнений-коэффициент передачи,

T=Частные случаи дифференциальных уравнений-постоянная времени.

Запишем исходное уравнение в операторной форме, используя подстановку p=Частные случаи дифференциальных уравнений .Получим:

(T p-1)y(t)=kg(t) (3)

2. Получим передаточную функцию для апериодического звена. Воспользуемся преобразованиями Лапласа:

y(t) = Y(s) Частные случаи дифференциальных уравнений

Частные случаи дифференциальных уравнений=sY(s)

g(t)=G(s)

По определению передаточная функция находится как отношение выходного сигнала к входному. Тогда уравнение (2) будет иметь вид:

T sY(s)-Y(s)=kG(s)

W(s)=Частные случаи дифференциальных уравнений (4)

3. Найдем выражения для переходной функции и функции веса. По определению аналитическим выражением переходной функции является решение уравнения (2) при нулевых начальных условиях, т.е. g(t)=1 или по преобразованиями Лапласа

h(t)=H(s)

H(s)=W(s)Частные случаи дифференциальных уравнений=Частные случаи дифференциальных уравнений=Частные случаи дифференциальных уравненийЧастные случаи дифференциальных уравнений

Переходя к оригиналу, получим

h(t)=kЧастные случаи дифференциальных уравненийЧ 1(t) (5)

Функцию веса можно получить дифференцированием переходной функции

w(t)=Частные случаи дифференциальных уравнений

или из преобразований Лапласа

w(t)=w(s)

w(s)=W(s)Ч 1

W(s)=Частные случаи дифференциальных уравнений= Частные случаи дифференциальных уравнений

Переходя к оригиналу, получим

w(t)=Частные случаи дифференциальных уравнений eЧастные случаи дифференциальных уравнений Ч 1(t) (6)

4. Построим графики переходной функции и функции веса. Подставляя исходные данные, вычислим коэффициент передачи, постоянные времени и временные характеристики:

k=2

T =0.62

h(t)=2Частные случаи дифференциальных уравнений Ч 1(t)

w(t)=3.2eЧастные случаи дифференциальных уравненийЧ 1(t)

Переходная функция представляет собой экспоненту. Множитель 1(t) указывает ,что экспонента рассматривается только для положительного времени t>0. Функция веса - также экспонента, но со скачком в точке t=0 на величинуЧастные случаи дифференциальных уравнений.

5. Получим частотную передаточную функцию, заменив в передаточной функции (4) s на jw :

W(s)= Частные случаи дифференциальных уравнений

W(jw )=Частные случаи дифференциальных уравнений (7)

W(jw )=Частные случаи дифференциальных уравнений=Частные случаи дифференциальных уравненийjЧастные случаи дифференциальных уравнений=U(w )+jV(w )

U(w )=Частные случаи дифференциальных уравнений

V(w )=Частные случаи дифференциальных уравнений

6. Получим аналитические выражения для частотных характеристик. По определению амплитудная частотная характеристика (АЧХ) - это модуль частотной передаточной функции, т.е.

A(w )=Ѕ W(jw )Ѕ

A(w )=Частные случаи дифференциальных уравнений=Частные случаи дифференциальных уравнений (8)

Фазовая частотная характеристика (ФЧХ) - это аргумент частотной передаточной функции, т.е.

j (w )=argW(jw )

j (w )=arctgk - arctgЧастные случаи дифференциальных уравнений

j (w )=-arctg(-Tw ) (9)

Для построения логарифмических частотных характеристик вычислим

L(w )=20lg A(w )

L(w )=20lgЧастные случаи дифференциальных уравнений

7. Построим графики частотных характеристик. Для этого сначала получим их численные значения.

k=2

T =0.62

A(w )=

j (w )=-arctg(-0.62w )

L(w )=20lg

U(w )=

V(w )=

4.1.5. АПЕРИОДИЧЕСКОЕ ЗВЕНО 2-го ПОРЯДКА

1. Данное звено описывается следующим уравнением:

a2Частные случаи дифференциальных уравнений+a1 Частные случаи дифференциальных уравнений+ aoy(t) =bog(t) (1)

Коэффициенты имеют следующие значения:

a2=0,588

a1=50,4

ao=120

bo=312

Запишем это уравнение в стандартной форме. Для этого разделим (1) на ao:

Частные случаи дифференциальных уравненийЧастные случаи дифференциальных уравнений+Частные случаи дифференциальных уравненийЧастные случаи дифференциальных уравнений+y(t)=Частные случаи дифференциальных уравненийg(t)

Частные случаи дифференциальных уравненийЧастные случаи дифференциальных уравнений+T1 Частные случаи дифференциальных уравнений+y(t)=kg(t) (2),

где k=Частные случаи дифференциальных уравнений-коэффициент передачи,

T1=Частные случаи дифференциальных уравнений,T22=Частные случаи дифференциальных уравнений-постоянные времени.

Если корни характеристического уравнения для дифференциального уравнения 2-го порядка вещественны (это выполняется при T1>2T2), то оно является апериодическим 2-го порядка. Проверим это для нашего уравнения:

T1=0,42

2T2=0,14

0,42>014, следовательно, данное уравнение - апериодическое.

Запишем исходное уравнение в операторной форме, используя подстановку p=Частные случаи дифференциальных уравнений .Получим:

(Частные случаи дифференциальных уравненийp2+T1 p+1)y(t)=kg(t) (3)

2. Получим передаточную функцию для колебательного звена. Воспользуемся преобразованиями Лапласа:

y(t) = Y(s) Частные случаи дифференциальных уравнений

Частные случаи дифференциальных уравнений=sY(s)

Частные случаи дифференциальных уравнений=s2Y(s)

g(t)=G(s)

По определению передаточная функция находится как отношение выходного сигнала к входному. Тогда уравнение (2) будет иметь вид:

Частные случаи дифференциальных уравнений s2Y(s)+T1 sY(s)+Y(s)=kG(s)

W(s)=Частные случаи дифференциальных уравнений (4)

3. Найдем выражения для переходной функции и функции веса. По определению аналитическим выражением переходной функции является решение уравнения (2) при нулевых начальных условиях, т.е. g(t)=1 или по преобразованиями Лапласа

h(t)=H(s)

H(s)=W(s)Частные случаи дифференциальных уравнений=Частные случаи дифференциальных уравнений=Частные случаи дифференциальных уравнений , где

T3,4=Частные случаи дифференциальных уравнений

Разложив на элементарные дроби правую часть этого выражения, получим

H(s)=Частные случаи дифференциальных уравнений

=Частные случаи дифференциальных уравнений

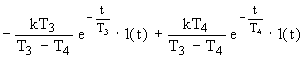
Переходя к оригиналу, получим

h(t)=kЧ 1(t)Частные случаи дифференциальных уравнений =

=k Ч 1(t)Частные случаи дифференциальных уравнений(5)

Функцию веса можно получить дифференцированием переходной функции

w(t)=Частные случаи дифференциальных уравнений

или из преобразований Лапласа

w(t)=w(s)

w(s)=W(s)Ч 1=Частные случаи дифференциальных уравнений=Частные случаи дифференциальных уравнений

Разложив на элементарные дроби правую часть этого выражения, получим

w(s)= Частные случаи дифференциальных уравнений

=Частные случаи дифференциальных уравнений

Переходя к оригиналу, получим

w(t)= Частные случаи дифференциальных уравнений=

=Частные случаи дифференциальных уравнений (6)

4. Построим графики переходной функции и функции веса. Подставляя исходные данные, вычислим коэффициент передачи, постоянные времени и временные характеристики:

5. Получим частотную передаточную функцию, заменив в передаточной функции (4) s на jw :

W(s)= Частные случаи дифференциальных уравнений

W(jw )= Частные случаи дифференциальных уравнений (7)

Выделим вещественную и мнимую части :

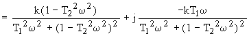
W(jw ) =Частные случаи дифференциальных уравнений=

Частные случаи дифференциальных уравнений

U(w )=Частные случаи дифференциальных уравнений

V(w )=Частные случаи дифференциальных уравнений

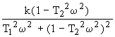
6. Получим аналитические выражения для частотных характеристик. По определению амплитудная частотная характеристика (АЧХ) - это модуль частотной передаточной функции, т.е.

A(w )=Ѕ W(jw )Ѕ

A(w )=Частные случаи дифференциальных уравнений=..............(8)

Фазовая частотная характеристика (ФЧХ) - это аргумент частотной передаточной функции, т.е.

j (w )=argW(jw )

j (w )=................

j (w )=............... (9)

Для построения логарифмических частотных характеристик вычислим

L(w )=20lg A(w )

L(w )=...................

7. Построим графики частотных характеристик. Для этого сначала получим их численные значения.

4.1.6. КОЛЕБАТЕЛЬНОЕ (УСТОЙЧИВОЕ) ЗВЕНО

1. Данное звено описывается следующим уравнением:

a2Частные случаи дифференциальных уравнений+a1 Частные случаи дифференциальных уравнений+ aoy(t) =bog(t) (1)

Коэффициенты имеют следующие значения:

a2=0,588

a1=0,504

ao=12

bo=31,20

Запишем это уравнение в стандартной форме. Для этого разделим (1) на ao:

Частные случаи дифференциальных уравненийЧастные случаи дифференциальных уравнений+Частные случаи дифференциальных уравненийЧастные случаи дифференциальных уравнений+y(t)=Частные случаи дифференциальных уравненийg(t)

Частные случаи дифференциальных уравненийЧастные случаи дифференциальных уравнений+T1 Частные случаи дифференциальных уравнений+y(t)=kg(t) (2),

где k=Частные случаи дифференциальных уравнений-коэффициент передачи,

T1=Частные случаи дифференциальных уравнений,T22=Частные случаи дифференциальных уравнений-постоянные времени.

Если корни характеристического уравнения для дифференциального уравнения 2-го порядка комплексные (это выполняется при T1<2T2), то оно является колебательным. Проверим это для нашего уравнения:

T1=0,042

2T2=0,14

0,042<014, следовательно, данное уравнение - колебательное.

Представим данное уравнение в следующем виде:

пусть T2=T, Частные случаи дифференциальных уравнений.

Тогда уравнение (2):

Частные случаи дифференциальных уравнений

Здесь T - постоянная времени, x - декремент затухания (0

Запишем исходное уравнение в операторной форме, используя подстановку p=Частные случаи дифференциальных уравнений .Получим:

(Частные случаи дифференциальных уравненийp2+2x Tp+1)y(t)=kg(t) (3)

2. Получим передаточную функцию для колебательного звена. Воспользуемся преобразованиями Лапласа:

y(t) = Y(s) Частные случаи дифференциальных уравнений

Частные случаи дифференциальных уравнений=sY(s)

Частные случаи дифференциальных уравнений=s2Y(s)

g(t)=G(s)

По определению передаточная функция находится как отношение выходного сигнала к входному. Тогда уравнение (2) будет иметь вид:

Частные случаи дифференциальных уравнений s2Y(s)+2x T sY(s)+Y(s)=kG(s)

W(s)=Частные случаи дифференциальных уравнений (4)

3. Найдем выражения для переходной функции и функции веса. По определению аналитическим выражением переходной функции является решение уравнения (2) при нулевых начальных условиях, т.е. g(t)=1 или по преобразованиями Лапласа

h(t)=H(s)

H(s)=W(s)Частные случаи дифференциальных уравнений=Частные случаи дифференциальных уравнений

Разложив на элементарные дроби правую часть этого выражения, получим

H(s)=Частные случаи дифференциальных уравнений=

=Частные случаи дифференциальных уравнений

Заменим в этом выражении Частные случаи дифференциальных уравнений,Частные случаи дифференциальных уравнений.Тогда

H(s)=Частные случаи дифференциальных уравнений=

=Частные случаи дифференциальных уравнений

Переходя к оригиналу, получим

h(t)=kЧастные случаи дифференциальных уравнений =

=k Ч 1(t)Частные случаи дифференциальных уравнений (5)

Функцию веса можно получить дифференцированием переходной функции

w(t)=Частные случаи дифференциальных уравнений

или из преобразований Лапласа

w(t)=w(s)

w(s)=W(s)Ч 1=Частные случаи дифференциальных уравнений=Частные случаи дифференциальных уравнений=

=Частные случаи дифференциальных уравнений

Переходя к оригиналу, получим

w(t)= Частные случаи дифференциальных уравнений (6)

4. Построим графики переходной функции и функции веса. Подставляя исходные данные, вычислим коэффициент передачи, постоянные времени и временные характеристики:

5. Получим частотную передаточную функцию, заменив в передаточной функции (4) s на jw :

W(s)= Частные случаи дифференциальных уравнений

W(jw )= Частные случаи дифференциальных уравнений (7)

Выделим вещественную и мнимую части :

W(jw )=Частные случаи дифференциальных уравнений

U(w )=Частные случаи дифференциальных уравнений

V(w )Частные случаи дифференциальных уравнений

6. Получим аналитические выражения для частотных характеристик. По определению амплитудная частотная характеристика (АЧХ) - это модуль частотной передаточной функции, т.е.

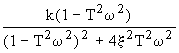
A(w )=Ѕ W(jw )Ѕ

A(w )=Частные случаи дифференциальных уравнений=Частные случаи дифференциальных уравнений (8)

Фазовая частотная характеристика (ФЧХ) - это аргумент частотной передаточной функции, т.е.

j (w )=argW(jw )

j (w )=argk - arg(2x Tjw - T2w 2+1)= - arctgЧастные случаи дифференциальных уравнений

j (w )= - arctgЧастные случаи дифференциальных уравнений (9)

Для построения логарифмических частотных характеристик вычислим

L(w )=20lg A(w )

L(w )=20lgЧастные случаи дифференциальных уравнений

7. Построим графики частотных характеристик. Для этого сначала получим их численные значения.

4.1.6. КОЛЕБАТЕЛЬНОЕ (НЕУСТОЙЧИВОЕ) ЗВЕНО

1. Данное звено описывается следующим уравнением:

a2Частные случаи дифференциальных уравнений- a1 Частные случаи дифференциальных уравнений+ aoy(t) =bog(t) (1)

Коэффициенты имеют следующие значения:

a2=0,588

a1=0,504

ao=12

bo=31,20

Запишем это уравнение в стандартной форме. Для этого разделим (1) на ao:

Частные случаи дифференциальных уравненийЧастные случаи дифференциальных уравнений- Частные случаи дифференциальных уравненийЧастные случаи дифференциальных уравнений+y(t)=Частные случаи дифференциальных уравненийg(t)

Частные случаи дифференциальных уравненийЧастные случаи дифференциальных уравнений-T1 Частные случаи дифференциальных уравнений+y(t)=kg(t) (2),

где k=Частные случаи дифференциальных уравнений-коэффициент передачи,

T1=Частные случаи дифференциальных уравнений,T22=Частные случаи дифференциальных уравнений-постоянные времени.

Если корни характеристического уравнения для дифференциального уравнения 2-го порядка комплексные (это выполняется при T1<2T2), то оно является колебательным. Проверим это для нашего уравнения:

T1=0,042

2T2=0,14

0,042<014, следовательно, данное уравнение - колебательное.

Представим данное уравнение в следующем виде:

пусть T2=T, Частные случаи дифференциальных уравнений.

Тогда уравнение (2):

Частные случаи дифференциальных уравнений

Здесь T - постоянная времени, x - декремент затухания (0

Запишем исходное уравнение в операторной форме, используя подстановку p=Частные случаи дифференциальных уравнений .Получим:

(Частные случаи дифференциальных уравненийp2 - 2x Tp+1)y(t)=kg(t) (3)

2. Получим передаточную функцию для колебательного звена. Воспользуемся преобразованиями Лапласа:

y(t) = Y(s) Частные случаи дифференциальных уравнений

Частные случаи дифференциальных уравнений=sY(s)

Частные случаи дифференциальных уравнений=s2Y(s)

g(t)=G(s)

По определению передаточная функция находится как отношение выходного сигнала к входному. Тогда уравнение (2) будет иметь вид:

Частные случаи дифференциальных уравнений s2Y(s) - 2x T sY(s)+Y(s)=kG(s)

W(s)=Частные случаи дифференциальных уравнений (4)

3. Найдем выражения для переходной функции и функции веса. По определению аналитическим выражением переходной функции является решение уравнения (2) при нулевых начальных условиях, т.е. g(t)=1 или по преобразованиями Лапласа

h(t)=H(s)

H(s)=W(s)Частные случаи дифференциальных уравнений=Частные случаи дифференциальных уравнений

Разложив на элементарные дроби правую часть этого выражения, получим

H(s)=Частные случаи дифференциальных уравнений=

=Частные случаи дифференциальных уравнений

Заменим в этом выражении Частные случаи дифференциальных уравнений,Частные случаи дифференциальных уравнений.Тогда

H(s)=Частные случаи дифференциальных уравнен

</div>
			</div>




<div class=

Подобные работы:

Актуально: