Тепловой и динамический расчёт двигателя внутреннего сгорания
МАДИ (ТУ)
Кафедра : Автотракторные двигатели
Тепловой и динамический расчёт двигателя внутреннего сгорания
Преподаватель: Пришвин
Студент: Толчин А.Г.
Группа: 4ДМ1
МОСКВА 1995
Задание №24
1 Тип двигателя и системы питания - бензиновый,карбюраторная.
2 Тип системы охлаждения - жидкостная.
3 Мощность
=100 (кВт)
4 Номинальная частота вращения n=3200 (
)
5 Число и расположение цилиндров
V- 8
6 Степень сжатия - =7.5
7 Тип камеры сгорания - полуклиновая .
8 Коэффицент избытка воздуха - =0.9![]()
9 Прототип - ЗИЛ-130![]()
=================================================
Решение:
1 Характеристика топлива.
Элементарный состав бензина в весовых массовых долях:
С=0.855 ; Н=0.145
Молекулярная масса и низшая теплота сгорания :
=115(кг/к моль) ; Hu=44000(кДж/кг)
2 Выбор степени сжатия.
=7.5 ОЧ=75-85
3 Выбор значения коэффицента избытка воздуха.
4 Расчёт кол-ва воздуха необходимого для сгорания 1 кг топлива

5 Количество свежей смеси
![]()
6 Состав и количество продуктов сгорания
Возьмём к=0.47

7 Теоретический коэффициент молекулярного изменения смеси
![]()
![]()
8 Условия на впуске
P0=0.1 (MПа) ; T0=298 (K)
9 Выбор параметров остаточных газов
Tr=900-1000 (K) ; Возьмём Tr=1000 (K)
Pr=(1.05-1.25)P0 (MПа) ; Pr=1.2*P0=0.115 (Mпа)
10 Выбор температуры подогрева свежего заряда
; Возьмём ![]()
11 Определение потерь напора во впускной системе

Наше значение входит в этот интервал.
12 Определение коэффициента остаточных газов
; ![]()

![]()
13 Определение температуры конца впуска
![]()
![]()
![]()
![]()
14 Определение коэффициента наполнения
![]()
; ![]()
; ![]()
15 Выбор показателя политропы сжатия
Возьмём ![]()
16 Определение параметров конца сжатия
; ![]()
; ![]()
17 Определение действительного коэф-та молекулярного изменения
; ![]()
18 Потери теплоты вследствие неполноты сгорания
; ![]()
19 Теплота сгорания смеси
; ![]()
20 Мольная теплоёмкость продуктов сгорания при температуре конца сжатия
; ![]()
22 Мольная теплоёмкость при постоянном объёме рабочей смеси в конце сжатия

23 Мольная теплоёмкость при постоянном объёме рабочей смеси
, где

24 Температура конца видимого сгорания
; 
;
Возьмём ![]()
![]()
![]()
25 Характерные значения Тz
; ![]()
26 Максимальное давление сгорания и степень повышения давления
; ![]()
![]()
27 Степень предварительного -p и последующего - расширения
; ![]()
28 Выбор показателя политропы расширения n2
; Возьмём ![]()
29 Определение параметров конца расширения
; ![]()
![]()
30 Проверка правильности выбора температуры остаточных газов Тr

31 Определение среднего индикаторного давления

; Возьмём
; ![]()
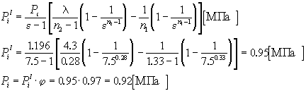
32 Определение индикаторного К.П.Д.
![]()
; ![]()
Наше значение входит в интервал .
33 Определение удельного индикаторного расхода топлива
![]()
34 Определение среднего давления механических потерь
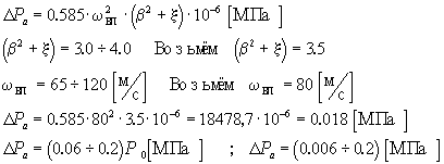
![]()
; ![]()
; Возьмём ![]()
![]()
35 Определение среднего эффективного давления
; ![]()
36 Определение механического К.П.Д.
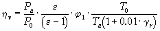
![]()
37 Определение удельного эффективного расхода топлива
; ![]()
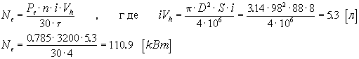
38 Часовой расход топлива
![]()
39 Рабочий объём двигателя
![]()
40 Рабочий объём цилиндра
![]()
41 Определение диаметра цилиндра
;
- коэф. короткоходности
k=0.7-1.0 ; Возьмём k =0.9
42 Ход поршня
![]()
43 Проверка средней скорости поршня

44 Определяются основные показатели двигателя

45 Составляется таблица основных данных двигателя
Ne | iVh | Nл | | n | Pe | ge | S | D | GT | |
Единицы измерения | кВт | Л | вВт/л | мин-1 | МПа | г/кВт.ч | мм | мм | кг/ч | |
Проект | 110.9 | 4.777 | 20.8 | 7.5 | 3200 | 0.785 | 330.2 | 88 | 98 | 33.02 |
Протатип | 110.3 | 5.969 | 18.5 | 7.1 | 3200 | 0.7 | 335 | 95 | 100 |
*****************************************************************
Построение индикаторной диаграммы
Построение производится в координатах : давление (Р) -- ход поршня (S).
1 Рекомендуемые масштабы
а) масштаб давления : mp=0.025 (Мпа/мм)
б) масштаб перемещения поршня : ms=0.75 (мм*S/мм)
2 ![]()
3 ![]()
4 ![]()
5 ![]()
6 ![]()
7 Строим кривые линии политроп сжатия и расширения

Расчёт производится по девяти точкам.
![]()
![]()
Политропа сжатия | Политропа расширения | ||||||||||
№ точек |
|
|
|
|
|
|
|
| |||
1 | 18 | 7.5 | 14.58 | 47.83 | 1.19 | 13.18 | 203.57 | 5.09 | |||
2 | 20.5 | 6.6 | 12.3 | 40.35 | 1.0 | 11.19 | 172.84 | 4.32 | |||
3 | 23.5 | 5.775 | 10.3 | 33.78 | 0.84 | 9.43 | 145.69 | 3.64 | |||
4 | 32.8 | 4.125 | 6.58 | 21.59 | 0.54 | 6.13 | 94.71 | 2.36 | |||
5 | 41 | 3.3 | 4.89 | 16.05 | 0.40 | 4.61 | 71.18 | 1.78 | |||
6 | 54.6 | 2.475 | 3.3 | 10.94 | 0.27 | 3.19 | 49.25 | 1.23 | |||
7 | 82 | 1.65 | 1.95 | 6.38 | 0.16 | 1.89 | 29.31 | 0.73 | |||
8 | 108.7 | 1.245 | 1.3 | 4.38 | 0.11 | 1.32 | 20.44 | 0.51 | |||
9 | 135.3 | 1 | 1 | 3.28 | 0.08 | 1.0 | 15.44 | 0.38 | |||
8 Построение диаграммы,соответствующей реальному (действительному)
циклу.
Угол опережения зажигания : ![]()
Продолжительность задержки воспламенения (f-e) составляет по углу
поворота коленвала : ![]()
С учётом повышения давления от начавшегося до ВМТ сгорания давление конца сжатия Pcl (точка сl) составляет:

Максимальное давление рабочего цикла Pz достигает величины![]()
Это давление достигается после прохождения поршнем ВМТ при повороте коленвала на угол ![]()
![]()
Моменты открытия и закрытия клапанов определяются по диаграммам фаз газораспределения двигателей-протатипов,имеющих то же число и расположение цилиндров и примерно такую же среднюю скорость поршня,что и проектируемый двигатель.
В нашем случае прототипом является двигатель ЗИЛ-130. Его характеристики:![]()
Определяем положение точек : ![]()

Динамический расчёт
Выбор масштабов:
Давления ![]()
Угол поворота коленвала ![]()
Ход поршня ![]()
Диаграмма удельных сил инерции Pj возвратно-поступательных движущехся масс КШМ

![]()
![]()
![]()
Диаграмма суммарной силы
,действующей на поршень
;
избыточное давление газов
Диаграмма сил N,K,T
Аналитическое выражение сил:
![]()
угол поворота кривошипа
угол отклонения шатуна
Полярная диаграмма силы Rшш ,действующей на шатунную шейку коленвала.
Расстояние смещения полюса диаграммы

Расстояние от нового полюса Пшш до любой точки диаграммы равно геометрической сумме векторов Krш и S
![]()
Анализ уравновешенности двигателя
У 4х тактного V-образного 8ми цилиндрового двигателя коленвал несимметричный.Такой двигатель рассматривают как четыре 2ух цилиндровых V-образных двигателя,последовательно размещённых по оси коленвала.
Равнодействующая сил инерции I порядка каждой пары цилиндров, будучи направлена по радиусу кривошипа,уравновешивается противовесом,т.е. в двигателе с противовесами:
![]()
Сила инерции 2-го порядка пары цилиндров:

Все эти силы лежат в одной плоскости,равны по абсолютному значению, но попарно отличаются лишь знаками.Их геометрическая сумма = 0.
Моменты от сил инерции II порядка,возникающие от 1-й и 2-й пар цилиндров,равны по значению и противоположены по знаку;точно так же от 2-й и 3-й пар цилиндров.
Диаграмма суммарного индикаторного крутящего момента Мкр
Величина суммарного крутящего момента от всех цилиндров получается графическим сложением моментов от каждого цилиндра,одновременно действующих на коленвал при данном значении угла
Последовательность построения Мкр :
На нулевую вертикаль надо нанести результирующую суммирования ординат 0+3+6+9+12+15+18+21 точек,на первую 1+4+7+10+13+16+19+22
точек и т.д.
Потом сравнивается со значением момента полученного теоретически.
Проверка правельности построения диаграммы:
![]()
Схема пространственного коленчатого вала 8 цилиндрового V-образного двигателя
№ | | Pr |
| Pj | P | tg | N |
| K |
| T |
0 | 0 | 1 | 1.260 | -40 | -39 | 0 | 0 | 1 | -39 | 0 | 0 |
1 | 30 | -1 | 0.996 | -31.6 | -32.6 | 0.131 | -4.3 | 0.801 | -26.1 | 0.613 | -20 |
2 | 60 | -1 | 0.370 | -11.8 | -12.8 | 0.230 | -3 | 0.301 | -3.8 | 0.981 | -12.5 |
3 | 90 | -1 | -0.260 | 8.2 | 7.2 | 0.267 | 1.9 | -0.267 | -1.9 | 1 | 7.2 |
4 | 120 | -1 | -0.630 | 20 | 19 | 0.230 | 4.4 | -0.699 | -13.3 | 0.751 | 14.2 |
5 | 150 | -1 | -0.736 | 23.3 | 22.3 | 0.131 | 3 | -0.931 | -20.7 | 0.387 | 8.6 |
6 | 180 | -1 | -0.740 | 23.5 | 22.5 | 0 | 0 | -1 | -22.5 | 0 | 0 |
7 | 210 | 0 | -0.736 | 23.3 | 23.3 | -0.131 | -3 | -0.931 | -21.7 | -0.387 | -9 |
8 | 240 | 1 | -0.630 | 20 | 21 | -0.230 | -4.8 | -0.699 | -14.7 | -0.751 | -15.7 |
9 | 270 | 2 | -0.260 | 8.2 | 10.2 | -0.267 | -2.7 | -0.267 | -2.7 | -1 | -10.2 |
10 | 300 | 8 | 0.370 | -11.8 | -3.8 | -0.230 | 0.9 | 0.301 | -1.1 | -0.981 | 3.7 |
11 | 330 | 24 | 0.996 | -31.6 | -7.6 | -0.131 | 1 | 0.801 | -6.1 | -0.613 | 4.6 |
12 | 360 | 54 | 1.260 | -40 | 14 | 0 | 0 | 1 | 14 | 0 | 0 |
12' | 370 | 169 | 1.229 | -39 | 130 | 0.045 | 5.8 | 0.977 | 127 | 0.218 | 28.3 |
12'' | 380 | 152 | 1.139 | -36.1 | 115.9 | 0.089 | 10.3 | 0.909 | 105.3 | 0.426 | 49.4 |
13 | 390 | 106 | 0.996 | -31.6 | 74.4 | 0.131 | 9.7 | 0.801 | 59.6 | 0.613 | 45.6 |
14 | 420 | 45 | 0.370 | -11.8 | 33.2 | 0.230 | 7.6 | 0.301 | 10 | 0.981 | 32.5 |
15 | 450 | 24 | -0.260 | 8.2 | 32.2 | 0.267 | 8.6 | -0.267 | -8.6 | 1 | 32.2 |
16 | 480 | 15 | -0.630 | 20 | 35 | 0.230 | 8 | -0.699 | -24.5 | 0.751 | 26.3 |
17 | 510 | 10 | -0.736 | 23.3 | 33.3 | 0.131 | 4.4 | -0.931 | -31 | 0.387 | 12.9 |
18 | 540 | 6 | -0.740 | 23.5 | 29.5 | 0 | 0 | -1 | -29.5 | 0 | 0 |
19 | 570 | 2 | -0.736 | 23.3 | 25.3 | -0.131 | -3.3 | -0.931 | -23.5 | -0.387 | -9.8 |
20 | 600 | 1 | -0.630 | 20 | 21 | -0.230 | -4.8 | -0.699 | -14.7 | -0.751 | -15.8 |
21 | 630 | 1 | -0.260 | 8.2 | 9.2 | -0.267 | -2.4 | -0.267 | -2.4 | -1 | -9.2 |
22 | 660 | 1 | 0.370 | -11.8 | -10.8 | -0.230 | 2.5 | 0.301 | -3.2 | -0.981 | 10.6 |
23 | 690 | 1 | 0.996 | -31.6 | -30.6 | -0.131 | 4 | 0.801 | -24.5 | -0.613 | 18.7 |
24 | 720 | 1 | 1.260 | -40 | -39 | 0 | 0 | 1 | -39 | 0 | 0 |



