Ремонт с/х техники
Анализ ресурсов и оценка качества ремонта сельскохозяйственной техники”
В результате сбора информации по межремонтным ресурсам двигателей Д-240 было установлено, что из 12 обследованных, отказавших оказалось 8, а приостановленных 4.
1.Составляем сводную ведомость информации с учетом приостановленных двигателей в порядке возрастания
(табл.1)
№№ П.П |
| №№ П.П |
|
Пр1 | 480 | Р4 | 2250 |
Пр2 | 710 | Р5 | 2320 |
Р1 | 970 | Р6 | 2440 |
Пр3 | 1020 | Р7 | 2710 |
Р2 | 1580 | Р8 | 2720 |
Р3 | 2200 | Пр4 | 2780 |
где Р- номер отказавшего двигателя,
Пр- номер приостановленного двигателя.
2.Определяем порядковые расчетные номера отказавших двигателей с учетом приостановленных.
;
где
- соответственно расчетные номера i-го и предыдущего двигателя;
N,N0,Nпр - соответственно количество двигателей по ведомости информации, отказавших и приостановленных до №ip.





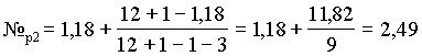
3.Выбираем шесть точек ( №pi ) равномерно расположенных по всей информации: 2,46;6,43;10,37.
4.Определяем сумму накопленных опытных вероятностей ( å Ропi ).



Запишем полученные данные в таблицу 2.
Таблица 2
№ | 2 | 5 | 7 |
№pi | 2,46 | 6,43 | 10,37 |
| 1580 | 2320 | 2720 |
| 0,19 | 0,49 | 0,79 |
ЗНР Xi Yi | 79 72,4 | 116 115 | 136 156,6 |
ЗРВ Xi Yi | 9 66,6 | 31 91,8 | 38 110,1 |
5.Определяем координаты ( Xi ;Yi ) выбранных точек для ЗНР и ЗРВ.
Для ЗНР
,
где
- фактический межремонтный ресурс i-го двигателя, м.час
М - масштаб, мм
Принимаем масштаб 1мм - 20м.час
![]()
![]()
![]()
Ординаты выбранных точек Yi определяем по таблице 9/2/ и заносим результаты в таблицу 2.
Для ЗРВ
Абсциссы точек определяются по формуле:
![]()
где
- значение фактического межремонтного ресурса i-го двигателя в м.час.
С - сдвиг начала рассеивания определяется по формуле:
м.час
Принимаем С = 300м.час
При определении абсцисс размерность ресурса выбираем так, чтобы в скобках была получена цифра, имеющая один знак перед запятой.
Для этого принята размерность ресурса в тысячах моточасов.

Значения ординат выбранных точек определяем по таблице 10/2/ для определенных значений å Ропi и результаты заносим в таблицу 2.
6.Строим интегральные прямые ЗНР (рис1), ЗРВ (рис2) по данным таблицы 2.
7.Выбираем теоретический закон распределения ТЗР межремонтных ресурсов.
Теоретический закон распределения выбирается по значению Критерия согласия c 2

Опытная частота mоп i определяется как разность между соседними номерами машин.
![]()
![]()
![]()
Теоретическая частота mТi определяется по формуле:
![]()
å Ртi определяем по графикам (рис.1,2). Для этого измерим в мм ординаты Yti от опытных точек X2, X5, X8 до пересечения с соответствующими интегральными прямыми. По таблицам 9,10/2/ определяем значение å РТi и данные заносим в таблицу 3.
Таблица 3
№ | №рi | опытн. | ЗНР | ЗРВ | ||||
точки | частота | YTi | å PTi | mTi | YTi | å PTi | mTi | |
2 | 2,46 | 2,46 | 72,4 | 0,19 | 2,28 | 66,6 | 0,19 | 2,28 |
5 | 6,43 | 3,97 | 122,6 | 0,55 | 4,32 | 94,9 | 0,54 | 4,2 |
8 | 10,37 | 3,94 | 150,1 | 0,75 | 2,4 | 105 | 0,71 | 2,04 |
Для ЗНР

Для ЗРВ


По значению Критерия c 2 выбираем ТЗР.
В данном случае лучше подходит ЗНР, т.к. c 2(знр)< c 2(зрв)
8.Определяем среднее значение ресурса
по интегральной прямой ЗНР (рис1).
На оси ординат откладываем отрезок 116,3 мм (это соответствует
å Ропi = 0,5) и проводим из этой точки прямую параллельно оси абсцисс до пересечения с интегральной прямой и замеряем
отрезок “А”.
![]()
где М - масштаб оси ординат ( 1мм = 20м.час).
где М - масштаб оси ординат 1мм = 20 м. час.
м. час.
Среднее квадратическое отклонение определяется как разность между отрезком “А” и абсциссой точки пересечения интегральной прямой с горизонталью 66,6 мм (что соответствует å Ропi=0,16) - от-
резком “Б”, умноженном на масштаб.
м.час
9.Определяем 80% - ный межремонтный гамма - ресурс Т(80%мр).
На оси ординат откладывается отрезок равный 74,2 мм (это соответствует å Роп = 20) и проводим прямую параллельно оси абсцисс до пересечения с интегральной прямой ЗНР. Замеряем длину отрезка “В” в мм (рис1).
м. час
10.Определяем доверительные границы рассеивания среднего значения межремонтного ресурса
и относительную ошибку переноса.

tb 0 - коэффициент Стьюдента![]()
Коэффициент Стьюдента определяется по таблице 12/2/ для b 0=b
(для двухсторонних доверительных границ), взятом колонкой левее.
В нашем случае для № = 12 b 0 = 1,36
м. час
м. час
Относительная ошибка переноса определяется по формуле:

![]()
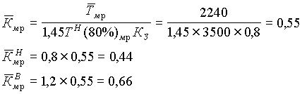
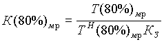
11.Определяем коэффициент качества ремонта по 80% - процентному межремонтному гамма - ресурсу.
,
где Тн(80%)мр - нормированный межремонтный гамма - ресурс
Кз - зональный коэффициент.

Доверительные границы рассеивания К(80%)мр определим по формулам:

12.Определяем коэффициент качества ремонта и его доверительные границы рассеивания по среднему межремонтному ресурсу.

13.Заключение:
Проверкой качества ремонта двигателей Д - 240 на ремонтном предприятии Прибалтийского района установлено, что коэффициент 80% гамма - ресурса находится в интервале от 0,48 до 0,72 при среднем значении 0,6, а коэффициент среднего ресурса находится в интервале от 0,44 до 0,66 при среднем значении 0,55.
Качество ремонта двигателей можно признать удовлетворительным.