Эффективные характеристики случайно неоднородных сред
Введение
Решающую роль в восприятии окружающего мира играют характеристики, сохраняющиеся (в замкнутых системах). Среди них имеются такие универсальные, как масса, количество движения, момент количества движения, энергия и энтропия.
В учении о теплообмене рассматриваются процессы распространения теплоты в твердых, жидких и газообразных телах. Эти процессы по своей физико-механической природе весьма многообразны, отличаются большой сложностью и обычно развиваются в виде целого комплекса разнородных явлений.
Перенос теплоты может осуществляться тремя способами: теплопроводностью, конвекцией и излучением, или радиацией. Эти формы глубоко различны по своей природе и характеризуются различными законами.
Процесс переноса теплоты теплопроводностью происходит между непосредственно соприкасающимися телами или частицами тел с различной температурой. Учение о теплопроводности однородных и изотропных тел опирается на весьма прочный теоретический фундамент. Оно основано на простых количественных законах и располагает хорошо разработанным математическим аппаратом. Теплопроводность представляет собой, согласно взглядам современной физики, молекулярный процесс передачи теплоты.
При определении переноса теплоты теплопроводностью в реальных телах встречаются известные трудности, которые на практике до сих пор удовлетворительно не решены. Эти трудности состоят в том, что тепловые процессы развиваются в неоднородной среде, свойства которой зависят от температуры и изменяются по объему; кроме того, трудности возникают с увеличением сложности конфигурации системы.
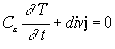
Уравнение теплопроводности имеет вид:
![]()
(1)
выражает тот факт, что изменения теплосодержания определенной массы вещества, заключенного в единице объема, определяется различием между притоком и вытеканием энергии - дивергенцией плотности теплового потока
, при условии что внутренних источников энергии нет. Тепловой поток пропорционален градиенту температуры и направлен в сторону ее падения;
- коэффициент теплопроводности.
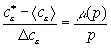
При разработке методов иследования композиционных материалов весьма трудно и, по-видимому, не имеет смысла (в тех случаях, когда это можно практически реализовать) полностью учитывать структуру копмозита. В связи с этим возникла необходимость связать механику композитных материалов с механизмами элементов конструкций, развивающимися обычно в рамках континуальных процессах. Эта задача решается в процессе создания теории определения приведенных свойств композитных материалов различных структур (слоистые, волокнистые и др.), при описании их поведения в рамках континуальных представлений. Таким образом совершается переход от кусочно-однородной среды к однофазной.
Рассмотрим двухфазный композитный материал, представляющий собой матрицу, в которой случайным образом распределены включения второй фазы (армирующий элемент), имеющий приблизительно равноосную форму. Количество включений достаточно велико на участке изменения температуры. Пусть некая характеристика матрицы -
, а включений -
. Тогда можно представить композит, как новый материал, с характеристиками промежуточными между характеристиками матрицы и включений, зависящей от объемной доли этих фаз.
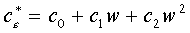
, (2)
Где ![]()
![]()
![]()
Подстановка (2) в (1) дает:
(3)
Имеем операторы:
(4а)
(4б)
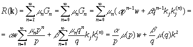
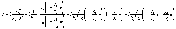
После преобразования Фурье получаем
![]()
![]()
Уравнение для функции Грина
и ![]()
где
(5)
- ур. Дайсона. (6)
![]()
Функция Грина
описывает однородный материал со средними характеристиками определяемые по правилу смесей (2), а оператор
можно назвать оператором возмущения, поскольку он определяет форму и расположение неоднородностей.
Решим уравнение итерациями
![]()
Вычислим сначала ![]()
![]()
Здесь ![]()
![]()
![]()
![]()
![]()

![]()
![]()

(7)
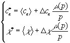
Теперь определим

![]()
![]()
![]()
![]()
![]()
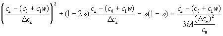
Теперь необходимо вычислить
![]()
![]()

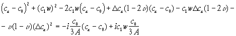
Таким образом
(8)
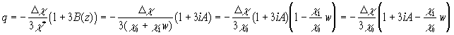
Подставляем в (6) равенство (8)
![]()
, где
и
(9)
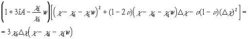
Подставляем (5) в (9)
![]()



где
и 
(10)
(11)
где
,
(12)
![]()
![]()
![]()
![]()


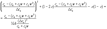
(13)
1. Ограничимся первым приближением
`![]()
![]()
![]()
![]()
![]()
(14)

![]()
Рассмотрим:


![]()
(15)
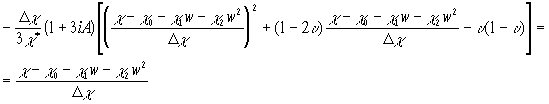
2. Ограничимся вторым приближением
![]()
(16)

![]()
(17)
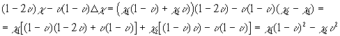
Из (12) найдем:
(18)
Подставляя (18) с учетом (16) в (10), получим:
(19)
Теперь подставляем (19) с учетом (16) в (13), получим:

![]()

Коэффициентами при
,
из-за малости произведения пренебрегаем
А коэффициенты без
обращаются в
из-за (14)
подставляя (17), найдем
(20)
Подставляя (18) в (11) с учетом (16), получим:
(21)
Теперь подставляем (21) с учетом (16) в (13), получим:


Коэффициентами при
,
из-за малости произведения пренебрегаем
А коэффициенты без
обращаются в
из-за (15)

(22)
3. Ограничимся третьим приближением
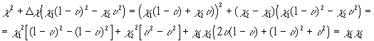
![]()
(23)
Подставляя (18) с учетом (23) в (10), получим:
(24)
Теперь подставляем (24) с учетом (23) в (13), получим



Коэффициентами при
,
,
из-за малости произведения пренебрегаем
А коэффициенты без
обращаются в
из-за (14), а с
- из-за (18)
![]()
(25)
Подставляя (18) в (11) с учетом (23), получим:
(26)
Теперь подставляем (26) с учетом (23) в (13), получим:


Коэффициентами при
,
,
из-за малости произведения пренебрегаем
А коэффициенты без
обращаются в
из-за (15), а с
- из-за (22)

(27)
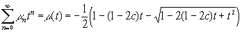
Анализ
и
показывает, что
и
дейсвительные коэффициенты, а
- мнимые.
Список литературы:
1. Т. Д. Шермергор "Теория упругости микронеоднородных сред" М., "Наука", 1977.
2. Г.А. Шаталов "Эффективные характеристики изотропных композитов как задача многих тел"
МКМ, №1, 1985.