Индексные системы и их логическая основа

СОДЕРЖАНИЕ

1. Понятие экономических индексов. Классификация индексов

2. Индивидуальные и общие индексы

3. Агрегатный индекс как исходная форма индекса

4. Средние индексы

5. Выбор базы и весов индексов

6. Индексы структурных сдвигов

7. Важнейшие экономические индексы и их взаимосвязи

8. Свойства индексов Ласпейреса и Пааше

9. Идеальный индекс Фишера

10. Индексы-дефляторы

Выводы

Список использованной литературы

1. Понятие экономических индексов. Классификация индексов

Индексы относятся к важнейшим обобщающим показателям. Слово “индекс” имеет несколько значений: показатель, указатель, опись, реестр. Оно используется как понятие в математике, экономике, метеорологии и других науках.

В статистике под индексом понимается относительный показатель, который выражает соотношение величин какого-либо явления во времени, в пространстве или сравнение фактических данных с любым эталоном (план, прогноз, норматив и т.д.).

В международной практике индексы принято обозначать символами i и I (начальная буква латинского алфавита index). Буквой “i” обозначаются индивидуальные (частные) индексы, буквой “I” - общие индексы. Знак внизу справа означает период: 0 - базисный; 1 - отчетный. Помимо этого используются определенные символы для обозначения индексируемых показателей:

q - количество (объем) какого-либо товара в натуральном выражении;

p - цена единица товара;

z - себестоимость единицы продукции;

w - выработка продукции в стоимостном выражении на одного рабочего или в единицу времени;

v - выработка продукции в натуральном выражении на одного рабочего или в единицу времени;

T - общие затраты времени (tq) или численность рабочих;

pq - стоимость продукции или товарооборот;

zq - издержки производства.

Все экономические индексы можно классифицировать по следующим показателям:

степень охвата явления; база сравнения; вид весов (соизмерителя); форма построения; характер объекта исследования; объект исследования; состав явления; период исчисления.

По степени охвата явления индексы бывают индивидуальные и сводные. Индивидуальные индексы служат для характеристики изменения отдельных элементов сложного явления. Их примером могут быть изменения объема производства отдельных видов продукции (телевизоров, электроэнергии и т.д.), а также цен на акции какого-либо предприятия. Для измерения динамики сложного явления, составные части которого непосредственно несоизмеримы (изменения физического объема продукции, включающей разноименные товары, индекса цен акций предприятий региона и т.п.), рассчитывают сводные, или общие, индексы.

Если индексы охватывают не все элементы сложного явления, а только часть их, то такие индексы называются групповыми или субиндексами, например индексы физического объема продукции по отдельным отраслям промышленности, индексы цен по группам продовольственных и непродовольственных товаров. Групповые индексы отражают закономерности в развитии отдельных частей изучаемых явлений. В таких индексах проявляется их связь методом группировок.

По базе сравнения все индексы можно разделить на две группы: динамические и территориальные. Первая группа индексов отражает изменение явления во времени. Например, индекс цен на продукцию в 1996г. по сравнению с предыдущим годом; индекс стоимости потребительской корзины в августе по сравнению с июлем 1997г.

При исчислении динамических индексов происходит сравнение значения показателя в отчетный период со значением этого же показателя за предыдущий период, который называют базисным. Однако в качестве последнего могут быть использованы и прогнозные и плановые показатели.

Динамические индексы бывают базисные и цепные.

Вторая группа индексов (территориальные) применяется для межрегиональных сравнений. Большое значение эти индексы имеют в международной статистике при сопоставлении показателей социально-экономического развития различных стран. Например, индекс цен на фототовары в Италии по сравнению с Германией, индекс стоимости потребительской корзины в Москве по сравнению с Санкт-Петербургом.

По виду весов индексы бывают с постоянными и переменными весами.

В зависимости от формы построения различаются индексы агрегатные и средние. Последние делятся на арифметические и гармонические. Агрегатная форма общих индексов является основной формой экономических индексов.

По характеру объема исследования общие индексы подразделяются на индексы количественных (объемных) и качественных показателей. В основе такого деления индексов лежит вид индексируемой величины. К первой группе индексов относятся, например, индексы объема продаж долларов США на Московской межбанковской валютной бирже, а ко второй-индекс курса немецкой марки.

По объекту исследования индексы бывают: производительности труда, себестоимости, физического объема продукции, стоимости продукции и т.д.

По составу явления можно выделить две группы индексов: постоянного (фиксированного) состава и переменного состава. Деление индексов на эти две группы используется для анализа динамики средних показателей.

По периоду исчисления индексы подразделяются на годовые, квартальные, месячные, недельные.

С помощью экономических индексов решаются следующие задачи:

измерение динамики социально-экономического явления за два и более периодов времени; измерение динамики среднего экономического показателя; измерение соотношения показателей по разным регионам; определение степени влияния изменений значений одних показателей на динамику других; пересчет значения макроэкономических показателей из фактических цен в сопоставимые.

Каждая из этих задач решается с помощью различных индексов.

2. Индивидуальные и общие индексы

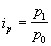
Индивидуальные индексы получают в результате сравнения однотоварных явлений. Например, индекс цен на подсолнечное масло определяется как отношение цены на этот товар в текущем периоде к цене базисного периода.

Индивидуальные индексы представляют собой относительные величины динамики, выполнения плана, сравнения, и их расчет не требует знания специальных правил.

В зависимости от экономического назначения индивидуальные индексы бывают: физического объема продукции, себестоимости, цен, трудоемкости и т.д.

Индекс физического объема продукции Индексные системы и их логическая основа рассчитывается по формуле:

Индексные системы и их логическая основа

Этот индекс показывает, во сколько раз возрос (уменьшился) выпуск какого-либо одного товара в отчетном периоде по сравнению с базисным, или сколько процентов составляет рост (снижение) выпуска товара.

Индивидуальный индекс цен

Индексные системы и их логическая основа

характеризует изменение цены одного определенного товара в текущем периоде по сравнению с базисным.

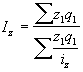
Индивидуальный индекс себестоимости единицы продукции

Индексные системы и их логическая основа

показывает изменение себестоимости единицы продукции в текущем периоде по сравнению с базисным.

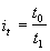
Производительность труда может быть измерена количеством продукции, производимой в единицу времени (v), или затратами рабочего времени на производство единицы продукции (t). Поэтому можно построить:

индекс количества продукции, произведенной в единицу времени: Индексные системы и их логическая основа; индекс производительности труда по трудовым затратам: Индексные системы и их логическая основа.

Так как между количеством продукции, произведенной в единицу времени, и затратами рабочего времени на производство единицы продукции существует обратно пропорциональная зависимость, т.е.

Индексные системы и их логическая основа,

то индекс получается в результате деления величины показателя в базисном периоде на величину в текущем периоде.

Для характеристики производительности труда часто используется индивидуальный индекс выработки продукции в стоимостном выражении на одного рабочего:

Индексные системы и их логическая основа,

где p - сопоставимые цены.

В экономических расчетах чаще всего используются общие индексы, которые характеризуют изменение совокупности в целом. Построение этих индексов и является содержанием индексной методологии. В индексной теории сложились две концепции: синтетическая и аналитическая. Они по-разному интерпретируют общие индексы.

Согласно синтетической концепции, особенность общих индексов состоит в том, что они выражают относительное изменение сложные (разнотоварных) явлений, отдельные части или элементы которых непосредственно несоизмеримы, и поэтому индексы - показатели синтетические. Например, промышленные предприятия производят несколько видов продукции, имеющей различное назначение. Следовательно, путем суммирования количества произведенных товаров различных видов нельзя получить показатель физического объема продукции. Методология построения общих индексов предусматривает прежде всего приведение разнотоварных явлений к соизмеримому виду.

В аналитической теории индексы трактуются как показателя, необходимые для измерения влияния изменения составных частей, компонентов, факторов сложного явления на изменение уровней, компонентов, факторов сложного явления на изменение уровня этого явления. Например, изменение общей величины товарооборота в текущем периоде по сравнению с базисным связано как с изменением физического объема продаж товаров, так и с изменением цен по каждому виду товаров. Поэтому индексная методология предусматривает определение влияния каждого из факторов путем элиминирования влияния других факторов на уровень изучаемого явления.

Таким образом, общие индексы являются синтетическими и аналитическими показателями.

Общие индексы строят для количественных (объемных) и качественных показателей. В зависимости от цели исследования и наличия исходных данных используют различные формы построения общих индексов: агрегатную или средневзвешенную.

3. Агрегатный индекс как исходная форма индекса

Агрегатный индекс - сложный относительный показатель, который характеризует среднее изменение социально-экономического явления, состоящего из несоизмеримых элементов.

Латинское слово “агрегат” означает “складываемый, суммируемый”. Особенность этой формы индекса состоит в том, что в агрегатной форме непосредственно сравниваются две суммы одноименных показателей. В настоящее время это наиболее распространенная форма индексов, используемая в практической статистике многих стран мира.

Числитель и знаменатель агрегатного индекса представляют собой сумму произведений двух величин, одна из которых меняется (индексируемая величина), а другая остается неизменной в числителе и знаменателе (вес индекса).

Индексируемой величиной называется признак, изменение которого изучается (цена товаров, курс акций, затраты рабочего времени на производство продукции, количество проданных товаров и т.д.). Вес индекса - это величина, служащая для целей соизмерения индексируемых величин.

За каждым экономическим индексом стоят определенные экономические категории. Экономическое содержание индекса предопределяет методику его расчета.

Методика построения агрегатного индекса предусматривает решение трех вопросов:

1) какая величина будет индексируемой;

2) по какому составу разнородных элементов явления необходимо исчислить индекс;

3) что будет служить весом при расчете индекса.

При выборе веса индекса принято руководствоваться следующим правилом: если строится индекс количественного показателя, то веса берутся за базисный период, при построении индекса качественного показателя используются веса отчетного периода.

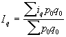
Стоимость продукции - это произведение количества продукции в натуральном выражении (q) на ее цену (p).

Индекс стоимости продукции, или товарооборота (Индексные системы и их логическая основа), представляет собой соотношение стоимости продукции текущего периода (Индексные системы и их логическая основа) к стоимости продукции в базисном периоде (Индексные системы и их логическая основа) и определяется по формуле:

Индексные системы и их логическая основа.

Такой индекс показывает, во сколько раз возросла (уменьшилась) стоимость продукции (товарооборота) отчетного периода по сравнению с базисным, или сколько процентов составляет рост (снижение) стоимости продукции.

Индекс физического объема продукции - это индекс количественного показателя. В этом индексе индексируемой величиной будет количество продукции в натуральном выражении, а весом - цена. Только умножив несоизмеримые между собой количества разнородной продукции на из цены, можно перейти к стоимостям продукции, которые будут уже величинами соизмеримыми. Так как индекс физического объема - индекс количественного показателя, то весами будут цены базисного периода. Тогда формула индекса примет следующий вид:

Индексные системы и их логическая основа,

где в числителе дроби - условная стоимость произведенных в текущем периоде товаров в ценах базисного периода, а в знаменателе - фактическая стоимость товаров, произведенных в базисном периоде. Если объектом исследования является отдельное предприятие, то индекс определяется по совокупности произведенных товаров; когда объект исследования - отрасль промышленности, индекс рассчитывается по совокупности всех товаров, произведенных в отрасли, или отдельным их группам в зависимости от цели анализа. Если же объектом исследования является какой-либо регион, то индекс рассчитывается по товарам, произведенным предприятиями региона.

Индекс физического объема продукции показывает, во сколько раз возросла (уменьшилась) стоимость продукции из-за роста (снижения) объема ее производства, или сколько процентов составляет рост (снижение) стоимости продукции в результате изменения физического объема ее производства.

При построении агрегатного индекса цен, который в условиях рыночной экономики является наиболее широко распространенным показателем инфляции, исходят из тех же предпосылок, что и при построении индекса физического объема продукции.

Индекс цен - это индекс качественного показателя. Индексируемой величиной будет цена товара, так как этот индекс характеризует изменение цен. Весом будет выступать количество произведенных товаров. Умножив цену товара на его количество, получаем величину, которую можно суммировать и которая представляет собой показатель, соизмеримый с другими подобными ему величинами.

Индекс цен определяется по следующей формуле:

Индексные системы и их логическая основа,

где в числителе дроби - фактическая стоимость продукции текущего периода, а в знаменателе - условная стоимость тех же товаров в ценах базисного периода.

Индекс показывает, во сколько раз возросла (уменьшилась) стоимость продукции из-за снижения цен, или сколько процентов составляет рост (снижение) стоимости продукции в результате изменения цен.

Стоимость продукции можно представить как произведение количества товара на его цену. Точно такая же связь существует и между индексами стоимости, физического объема и цен, т.е.:

Индексные системы и их логическая основа

или

Индексные системы и их логическая основа.

Разность числителя и знаменателя каждого индекса-сомножителя выражает размер изменения общей абсолютной величины под влиянием изменения одного фактора. Алгебраическая сумма этих разностей равна разности числителя и знаменателя индекса стоимости продукции:

Индексные системы и их логическая основа.

Равенства выполняются в том случае, если при исчислении индекса объемного показателя веса были зафиксированы на уровне базисного периода, а при расчете индекса качественного показателя - на уровне отчетного периода.

4. Средние индексы

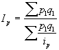
Помимо агрегатных индексов в статистике применяется другая форма - средневзвешенные индексы. К их исчислению прибегают тогда, когда имеющаяся в распоряжении информация не позволяет рассчитать общий агрегатный индекс. Так, если отсутствуют данные о ценах, но имеется информация о стоимости продукции в текущем периоде и известны индивидуальные индексы цен по каждому товару, то нельзя определить общий индекс цент как агрегатный, но возможно исчислить общий индекс физического объема продукции как средневзвешенную величину.

Средний индекс - это индекс, вычисленный как средняя величина из индивидуальных индексов. Агрегатный индекс является основной формой общего индекса, поэтому средний индекс должен быть тождествен агрегатному индексу. При исчислении средних индексов используются две формы средних: арифметическая и гармоническая.

Средний арифметический индекс тождествен агрегатному индексу, если весами индивидуальных индексов будут слагаемые знаменателя агрегатного индекса. Только в этом случае величина индекса, рассчитанного по формуле средней арифметической, будет равна агрегатному индексу.

Средний арифметический индекс физического объема продукции вычисляется по формуле:

Индексные системы и их логическая основа.

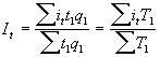
Средний арифметический индекс производительности труда определяется следующим образом:

Индексные системы и их логическая основа.

В статистике широко известен и другой средний арифметический индекс, который используется при анализе производительности труда. Он носит название индекса Струмилина и определяется следующим образом:

Индексные системы и их логическая основа.

Индекс показывает, во сколько раз возросла (уменьшилась) производительность труда, или сколько процентов составил рост (снижение) производительности труда в среднем по всем единицам исследуемой совокупности.

Средние арифметические индексы чаще всего применяются на практике для расчета сводных индексов количественных показателей, а из качественных показателей - для исчисления двух приведенных выше индексов.

Индексы других качественных показателей (цен, себестоимости и т.д.) определяется по формуле средней гармонической взвешенной величины.

Средний гармонический индекс тождествен агрегатному, если индивидуальные индексы будут взвешены с помощью слагаемых числителя агрегатного индекса. Например, индекс себестоимости можно исчислить так:

Индексные системы и их логическая основа,

а индекс цен:

Индексные системы и их логическая основа.

Таким образом, весами при определении среднего гармонического индекса себестоимости являются издержки производства текущего периода, а индекса цен - стоимость продукции этого периода.

Средние индексы широко используются при расчете агрегатных индексов. Наиболее известными являются индексы Доу-Джонса, Стэндарда и Пура.

Индекс Доу-Джонса (Dow Jones Industrial Average Index) определяется как средний арифметический индекс значений курсов акций, котирующихся на Нью-йоркской фондовой бирже. Один сводный и три групповых индекса рассчитываются каждые полчаса, и ежедневно публикуется их значение на момент закрытия биржи. Групповые индексы определяются по ценам акций 30 промышленных, 20 транспортных и 15 компаний сферы услуг. Общий индекс рассчитывается по всем 65 компаниям. Их перечень был составлен в 1928г. в качестве базисного выбран 1920г. первоначальная методика исчисления индекса была разработана основателем и редактором крупнейшей в США газеты “Уолл-Стрит джорнел” Чарльзом Доу.

Индекс Стэндарда и Пура (Standard and Poor’s 500 Stock Index) - индекс, рассчитываемый по курсам акций 500 крупнейших компаний Нью-йоркской фондовой биржи как средний взвешенный показатель, учитывающий общее число выпущенных компанией акций. В число компаний, акции которых включены в индекс, входят 400 промышленных корпораций, 40 - финансовых, 20 - транспортных и 40 - сферы услуг.

5. Выбор базы и весов индексов

Выбор базы сравнения и весов индексов - это два важнейших методологических вопроса построения социально-экономических явлений за некоторый интервал времени, включающий более двух периодов времени.

Системой индексов называется ряд последовательно построенных индексов. Такие системы характеризуют изменения, происходящие в изучаемом явлении в течение исследуемого периода времени.

В зависимости от базы сравнения системы индексов бывают базисными и цепными.

Система базисных индексов - это ряд последовательно вычисленных индексов одного и того же явления с постоянной базой сравнения, т.е. в знаменателе всех индексов находится индексируемая величина базисного периода.

Система цепных индексов - это ряд индексов одного и того же явления, вычисленных с меняющейся от индекса к индексу базой сравнения.

В экономико-статистических исследованиях выбор системы индексов (базисные или цепные) проводится в зависимости от цели анализа. Базисные индексы дают более наглядную характеристику общей тенденции развития исследуемого явления, а цепные - четче отражают последовательность изменения уровней во времени.

Системы цепных и базисных индексов могут быть построены для индивидуальных и общих индексов. Системы индивидуальных индексов стоимости продукции, физического объема продукции и цен просты по построению. Аналогично им строятся системы индивидуальных индексов и для других показателей.

Системой индексов с постоянными весами называется система сводных индексов одного и того же явления, вычисленных с весами, не меняющимися при переходе от одного индекса к другому. Постоянные веса позволяют исключить влияние изменения структуры на величину индекса.

Система индексов с переменными весами представляет собой систему сводных индексов одного и того же явления, вычисленных с весами, последовательно меняющихся от одного индекса к другому. Переменные веса - это веса отчетного периода.

6. Индексы структурных сдвигов

При изучении динамики качественных показателей приходится определять изменение средней величины индексируемого показателя, которое обусловлено взаимодействием двух факторов - изменением значения индексируемого показателя у отдельных групп единиц и изменением структуры явления. Под изменением структуры явления понимается изменение доли отдельных групп единиц совокупности в общей из численности. Так, средняя заработная плата на предприятии может вырасти в результате роста оплаты труда работников или увеличения доли высокооплачиваемых сотрудников. Снижение трудоемкости производства единицы продукции по совокупности предприятий отрасли может быть обусловлено повышением производительности труда на предприятиях или концентрацией производства продукции на заводах с низкой трудоемкостью. Так как на изменение среднего значения показателя оказывают воздействие два фактора, возникает задача определить степень влияния каждого из факторов на общую динамику средней.

Эта задача решается с помощью индексного метода, т.е. путем построения системы взаимосвязанных индексов, в которую включаются три индекса: переменного состава, постоянного состава и структурных сдвигов.

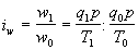
Индексом переменного состава называется индекс, выражающий соотношение средних уровней изучаемого явления, относящихся к разным периодам времени. Например, индекс переменного состава себестоимости продукции одного и того же вида рассчитывается по формуле:

Индексные системы и их логическая основа,

где Индексные системы и их логическая основа - индекс переменного состава.

Индекс переменного состава отражает изменение не только индексируемой величины (в данном случае себестоимости), но и структуры совокупности (весов).

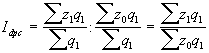
Индекс постоянного (фиксированного) состава - это индекс, исчисленный с весами, зафиксированными на уровне одного какого-либо периода, и показывающий изменение только индексируемой величины. Индекс фиксированного состава определяется как агрегатный индекс. Так, индекс фиксированного состава себестоимости продукции рассчитывают по формуле:

Индексные системы и их логическая основа,

где Индексные системы и их логическая основа - индекс фиксированного состава.

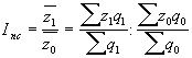
Под индексом структурных сдвигов понимают индекс, характеризующий влияние изменения структуры изучаемого явления на динамику среднего уровня этого явления. Индекс определяется по формуле (при изучении изменения среднего уровня этого явления. Индекс определяется по формуле (при изучении изменения среднего уровня себестоимости):

Индексные системы и их логическая основа,

где Индексные системы и их логическая основа - индекс структурных сдвигов.

7. Важнейшие экономические индексы и их взаимосвязи

Между важнейшими индексами существуют взаимосвязи, позволяющие на основе одних индексов получать другие. Зная, например, значение цепных индексов за какой-либо период времени можно рассчитать базисные индексы. И наоборот, если известны базисные индексы, то путем деления одного из них на другой можно получить цепные индексы.

Существующие взаимосвязи между важнейшими индексами позволяют выявить влияние различных факторов на изменение изучаемого явления, например связь между индексом стоимости продукции, физического объема продукции и цен. Другие индексы также связаны между собой. Так, индекс издержек производства - это произведение индекса себестоимости продукции и индекса физического объема продукции:

Индексные системы и их логическая основа.

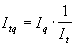
Индекс затрат времени на производство продукции может быть получен в результате умножения индекса физического объема продукции и величины, обратной величине индекса трудоемкости, т.е. индекс производительности труда:

Индексные системы и их логическая основа.

Существует важная взаимосвязь между индексами физического объема продукции и индексом производительности труда.

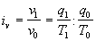
Индекс производительности труда рассчитывается на основе следующей формулы:

Индексные системы и их логическая основа,

т.е. представляет собой отношение средней выработки продукции (в сопоставимых ценах) в единицу времени (или на одного занятого) в текущем и базисном периодах.

Индекс физического объема продукции равен произведению индекса производительности труда на индекс затрат рабочего времени (или численности занятых):

Индексные системы и их логическая основа.

Взаимосвязь между отдельными индексами может быть использована для выявления отдельных факторов, оказывающих воздействие на изучаемое явление.

8. Свойства индексов Ласпейреса и Пааше

В рыночном хозяйстве особое место среди индексов качественных показателей отводится индексам цен.

Основным назначением индекса цен является оценка динамики цен на товары производственного и непроизводственного потребления. Помимо этого индекс цен выполняет роль общего измерителя инфляции при макроэкономических исследованиях; используется при корректировке законодательно устанавливаемого минимального размера оплаты труда, установлении ставок налогов.

Индексы цен нужны при разработке технико-экономических обоснований и проектов строительства новых предприятий. Без них нельзя обойтись при пересчете основных показателей системы национальных счетов (совокупного общественного продукта, национального дохода, капитальных вложений и т.д.) из фактически действовавших (текущих) цен в сопоставимые.

Таким образом, индексы цен необходимы для решения двух задач:

отражения динамики инфляционных процессов в народном хозяйстве страны; пересчета важнейших стоимостных показателей СНС из фактических цен в сопоставимые при изучении динамики социально-экономических явлений.

Для реализации этих различных по содержанию задач служат два типа индексов:

собственно индекс цен; индекс-дефлятор.

Одним из важнейших показателей статистики цен, широко используемым в экономической и социальной политике государства, является индекс потребительских цен (ИПЦ). Он применяется для пересмотра правительственных социальных программ, служит основой для повышения минимального размера заработной платы, отражает реальную покупательную способность денег, которыми различные слои населения располагают для удовлетворения своих материальных, культурных и духовных потребностей.

9. Идеальный индекс Фишера

Индекс цен американского экономиста И. Фишера представляет собой среднее геометрическое из произведения двух агрегатных индексов цен Ласпейреса и Пааше:

Индексные системы и их логическая основа.

Формула, предложенная Фишером, может быть использована и для определения индекса физического объема:

Индексные системы и их логическая основа.

Геометрическая форма индексов имеет принципиальный недостаток: она лишена конкретного экономического содержания. Так, в отличие от агрегатного индекса Ласпейреса или Пааше разность между числителем и знаменателем не покажет никакой реальной экономии (или потерь) из-за изменения цен или физического объема продукции.

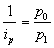
И Фишер назвал эту формулу расчета индекса идеальной формулой. Идеальность формулы заключается прежде всего в том, что индекс является обратимым во времени, т.е. при перестановке базисного и отчетного периодов полученный “обратный” индекс - это обратная величина величины первоначального индекса. Этому условию отвечает любой индивидуальный индекс. Например, индекс цен равен:

Индексные системы и их логическая основа,

тогда обратный индекс цен определяется следующим образом:

Индексные системы и их логическая основа.

Если перемножить эти два индекса, то получится 1:

Индексные системы и их логическая основа.

Этому условию удовлетворяет идеальный индекс Фишера:

Индексные системы и их логическая основа.

Индекс Фишера в силу сложности расчета и трудности экономической интерпретации на практике используется довольно редко. Чаще всего он применяется при исчислении индексов цен за длительный период времени для сглаживания тенденций в структуре и составе объема продукции, в которых происходят значительные изменения.

10. Индексы-дефляторы

Пересчет важнейших стоимостных показателей системы национальных счетов (национальный доход, валовой национальный продукт и т.д.) из фактических цен в сопоставимые осуществляется с помощью индекса-дефлятора. Дефлятор - это коэффициент, переводящий значение стоимостного показателя за отчетный период в стоимостные измерители базисного. Например, индекс-дефлятор валового внутреннего продукта (ВВП) представляет собой индекс цен, применяемый для корректировки номинального объема ВВП с учетом инфляции и получения на этой основе реального его объема.

Индекс-дефлятор рассчитывается как отношение фактической стоимости продукции отчетного периода к стоимости объема продукции, структура которого аналогична структуре отчетного года, но определенного в ценах базисного года. В основе расчета индекса-дефлятора лежит формула Пааше - агрегатная формула индекса с текущими весами.

Реальный ВВП за 1998г. определяется по формуле:

Индексные системы и их логическая основа,

где Индексные системы и их логическая основа - номинальный ВВП.

Таким образом, индекс-дефлятор - это самостоятельный показатель.

В статистической практике индексы-дефляторы определяются не только в целом по народному хозяйству; они исчисляются по отдельным регионам, различным товарным группам, каналам реализации потребительских благ, отраслям экономики и т.д.

Выводы

Индексы относятся к важнейшим обобщающим показателям. С помощью экономических индексов можно измерить динамику социально-экономического явления за два и более периодов времени, динамику среднего экономического показателя и сопоставить уровни явления в пространстве: по странам, экономическим районам, областям и т.д. Индексы широко используются также для определения степени влияния измерений значений одних показателей из фактических цен в сопоставимые.

В практике статистики индексы наряду со средними величинами являются наиболее распространенными статистическими показателями. С их помощью характеризуется развитие национальной экономики в целом и ее отдельных отраслей, анализируются результаты производственно-хозяйственной деятельности предприятий и организации, исследуется роль отдельных факторов в формировании важнейших экономических показателей, выявляются резервы производства, индексы используются также в международных сопоставлениях экономических показателей, определения уровня жизни, мониторинге деловой активности в экономике и т.д.

Обычно сопоставляемые показатели характеризуют явления, состоящие из разнородных элементов, непосредственное суммирование которых невозможно в силу их несоизмеримости. Например, промышленные предприятия выпускают, как правило, разнообразные виды продукции. Получить общий объем продукции предприятия в таком случае нельзя суммированием количества различных видов продукции в натуральном выражении. Здесь возникает проблема соизмерения разнородных элементов. В качестве меры соизмерения разнородных продуктов можно использовать цену, себестоимость или трудоемкость единицы продукции.

С помощью индексных показателей решаются следующие основные задачи:

характеристика общего изменения сложного экономического показателя (например, затрат на производство продукции, стоимости произведенной продукции и т.д.) или формирующих его отдельных показателей-факторов; выделение в изменении сложного показателя влияния одного из факторов путем элиминирования влияния других факторов (например, увеличение выручки от реализации продукции, связанное с ростом цен или выпуска продукции в натуральном выражении). В качестве самостоятельной выделяется задача обособления влияния изменения структуры явления на индексируемую величину. Например, при изучении динамики среднеотраслевой себестоимости продукции исследуется влияние измерения в распределении объемов выпуска продукции по предприятиям отрасли.

Способы построения индексов зависят от содержания изучаемых показателей, методологии расчета исходных статистических показателей, имеющихся в распоряжении исследователя статистических данных и целей исследования.

Индексные показатели в статистике вычисляются на высшей ступени статистического обобщения и опираются на результаты сводки и обработки данных статистического наблюдения.

СПИСОК ИСПОЛЬЗОВАННОЙ ЛИТЕРАТУРЫ

1. “Теория статистики”: учебник. Под редакцией проф. Р.А. Шмойловой, Москва, изд. “Финансы и статистика”, 1998.

2. “Общая теория статистики”: учебник. Под редакцией проф. М.Р. Ефимовой, Москва, изд. ИНФРА-М, 1997.

3. Статистический словарь/Под ред. М.А. Королева. 2-е изд. - М.: Финансы и статистика, 1989.

4. “Индексы потребительских цен”, методологическое руководство, Торвей Р./Международная организация труда. Пер. с англ. - М.: Финансы и статистика, 1993.


Подобные работы:

Актуально: