Свойства арсенида индия
Арсенид индия. Свойства, применение. Особенности получения эпитаксиальных пленок.
Введение.
Эпитаксиальный арсенид индия - перспективный материал электронной техники. Высокая подвижность электронов в арсениде индия прямозонная структура позволяют использовать его для изготовления высокоэффективных электронных и оптоэлектронных приборов, в частности быстродействующих транзисторов и интегральных схем, фотоприемных детекторов ИК - диапазона, инжекционных лазеров с длиной волны » 3,5 мкм.
Однако широкое использование тонкопленочных структур арсенида индия сдерживается отсутствием полуизолирующих подложек в связи с малой шириной запрещенной зоны арсенида индия. Следует также отметить недостаточную механическую прочность материала. Указанные проблемы могут быть преодолены, по крайней мере частично, при гетероэпитаксиальном выращивании арсенида индия. В этом случае, как правило, эпитаксию проводят на подложках арсенида галлия с ориентацией поверхности (001).
Значительное рассогласование параметров решеток арсенида индия и арсенида галлия 7.4% приводит при получении гетероэпитаксиальных пленок арсенида индия и арсенида галлия методами газотранспортной и жидкофазной эпитаксии к формированию переходного слоя значительной толщины и к большей плотности морфологических и структурных дефектов. Это обусловлено ограничениями как физического характера, присущим данным эпитаксиальным технологиям, так и ограничениям, связанными с “ненаблюдаемостью” процесса роста.
Электрофизические свойства объемного арсенида индия.
Зонная структура арсенида индия.
Зона проводимости.
Арсенид индия является прямозонным полупроводником, у которого зона проводимости сферически симметрична и минимум ее находится в центре зоны Бриллюэна. Вблизи минимума кривизна зоны велика, вследствие чего эффективная масса электрона очень мала и равна me» 0.026 m0.
Зона проводимости имеет не-параболичную форму, кривизна ее уменьшается с увеличением энергии. Экспериментальные результаты подтверждают непараболичность зоны проводимости. Измерение эффективной массы на поверхности уровня Ферми, приведенное для образцов с различной концентрацией электронов, показало увеличение эффективной массы с ростом n-кол-личеством носителей заряда (рис.1).

Рис.1. Зависимость эффективной массы электрона от концентрации электронов.
Валентная зона.
Расчеты зоной структуры валентной зоны показали, что зона тяжелых дырок состоит из двух подзон, сдвинутых относительно точки
=0 в направлении (111) на величину 0.008 а-1б .
В максимумах энергии не более чем на 0.006 эВ превышает энергию, соответствующую центру зоны Бриллюэна. Зона легких дырок вырождена с зоной тяжелых дырок при
=0. Имеется также третья зона, положение которой обусловлено спин-орбитальным взаимодействием. Величина эффективных масс и некоторые характеристики зонной структуры приведены ниже:
Ширина запрещенной зоны Eg=0.35 эВ (300 К)
Температурная зависимость Eg=(0.44-2.8× 10-4T)эВ
Эффективная масса электрона me*=0.026 m0
Эффективная масса тяжелой дырки mp*=0.41 m0
Эффективная масса легкой дырки mi*=0.025 m0
Эффективная масса дырки в зоне
спин-орбитального расщепления mj*=0.083 m0
Энергия спин-орбитального расщепления D Eg=0.43 эВ.
Оптические свойства арсенида индия.
Наибольший практический интерес представляет спектральный диапазон в близи края собственного поглощения. Именно в этой области длин волн (3-5 мкм) работают фотоприемники, изготовленные из эпитаксиальных структур арсенида индия.
Поглощение света в толстом полупроводника может быть описано выражением
------I=I0(1-k)× exp(-a X),------(1)
где I0 - интенсивность падающего излучения, k - коэффициент отражения, a - коэффициент поглощения, X - координата.
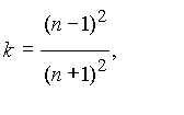
Величина коэффициента отражения в близи края собственного поглощения не превышает 30-40% и может быть оценена из выражения
------(2)
где n - показатель преломления.
В полупроводниках, как правило, одновременно работает несколько механизмов поглощения света. Основные из них:
собственное или фундаментальное поглощение;
эксионное;
поглощение свободными носителями;
решетчатое;
внутризонное.
Полный коэффициент поглощения в случае одновременного участия нескольких механизмов поглощения равен:
. ------(3)
В указанном диапазоне длин волн 3-5 мкм и обычно используемой области температур 77-300 К работает в основном два механизма: собственное поглощение и поглощение на свободных носителях. В области собственного поглощения прямозонная структура арсенида индия обуславливает резкую зависимость коэффициента поглощения от энергии:
,
(4)
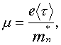
где e - заряд электрона, h - постоянная Планка, с - скорость света. В арсениде индия n-типа величина Еg=0.35 эВ при Т=300 К, а показатель степени в выражении для a =0.85 n=1, в материале р-типа Еg=0.36 эВ, а n=0.5.
В легированных образцах за счет малой эффективной массы электронов с увеличением концентрации носителей происходит быстрое заполнение зоны проводимости электронами, в следствии чего уровень Ферми находится выше дна зоны проводимости на величину энергии D En. В этом случае коэффициент поглощения описывается выражением
------(5)
т.е. происходит сдвиг края поглощения в сторону больших энергий.
Поглощение на свободных носителях в области длин волн, превышающих 3 мкм, хотя слабее, чем собственное, тем не менее может играть значительную роль в сильно легированных образцах. В этом случае a описывается выражением
------(6)
где n - показатель преломления, s - проводимость, l - длина волны, 
Оценки показывают, что при l =3 мкм и n=1018 см-3 в пластине арсенида индия толщиной 400 мкм поглотится около 80% светового потока.
Подвижность в арсениде индия.
Подвижность носителей заряда в кристаллах арсенида индия ограничивается несколькими механизмами рассеивания:
рассеянием на оптических и акустических фононах;
на ионных примесях;
на нейтральных примесях:
на дефектах кристаллической решетки (дислокациях):
на носителях заряда.
В приближении времени релаксации t подвижность вычисляется по формуле
------
------(7)
где t - вычисляется для каждого механизма рассеивания отдельно.
В монокристаллических объемных образцах арсенида индия достигнуты следующие значения подвижности:
n-тип, m =30000 см2/Вс(300К),
р-тип, m =450 см2/Вс(300К).
Сростом концентрацией примесей подвижность падает.
Методы глубокой очистки индия и мышьяка.
Для получения монокристаллов арсенида индия с высокими и стабильными электрофизическими параметрами необходимо использовать высокочистые исходные материалы.
Арсенид индия с трудом поддается очистке кристаллизационными методами в следствие высокого давления диссоциации при температуре плавления, высокой химической активности индия и мышьяка при температуре выращивания и близких к единице значений коэффициентов распределения основных примесей в исходных элементах, таких как сера, селен, цинк и др., а также из-за загрязнением кремнием из кварца при высокой температуре.
Методы глубокой очистки индия.
В индии предназначенном для синтеза полупроводниковых соединений, лимитирующими являются следующие примеси: алюминий, медь, магний, кремний, серебро, кальций, серебро и сера.
Применяемые методы очистки индия можно разделить на химические и физические. Методы первой группы - субхлоридный, экстракционный, электролитический и перекристаллизация солей из растворов. Химические методы требуют наличия сверхчистых вспомогательных материалов кислот, щелочей, органических растворителей. Методы второй группы (физические) - термообработка, ректификация, вытягивание из расплава и зонная плавка - включают воздействие на индий каких-либо вспомогательных химических реактивов.
При применении для приготовлении электролита особо чистого натрия электролитическое рафинирование индия позволяет получить индий чистотой 99,9999% (выход по току 90%).
Субхлоридный метод получения индия высокой чистоты позволяет получать индий чистотой 99,9999%.
Для успешного осуществления метода вакуумной термообработки необходимо выполнения следующих условий:
материал контейнера должен быть достаточно чистым и не взаимодействовать с расплавленном индием;
термообработка должна проводится в условиях высокого вакуума (10-6 мм рт.ст.) и в остаточной атмосфере, не содержащей углеводородов.
Термообработка индия проводится в интервале температур 500-900ОС. Верхний предел температурного интервала ограничивается взаимодействием расплавленного индия с кварцем и значительным увеличение упругости пара индия.
Вакуумная термообработка позволяет получить индий чистотой 99,9999%.
Зонная плавка электрически рафинированного индия позволяет осуществлять дальнейшую очистку его от примесей.
При вытягивании кристаллов индия по методу Чохральского эффективная очистка происходит при выращивании кристаллов с большими скоростями вращения затравки (60-100 об/мин) и скоростью роста 2см/ч. Чистота индия выращенного по методу Чохральского, выше 99,9999%. Применение только одного способа очистки индия может оказаться недостаточным, и возможно потребуется сочетание различных способов (физических и химических).
Методы получения мышьяка и его соединений высокой степени чистоты.
Общее содержание примесей в мышьяке используемом для синтеза арсенида индия, не должно превышать 1× 10-5%, суммарное содержание селена и теллура должно быть < 1× 10-6% каждого в отдельности.
Наиболее перспективными технологиями очистки мышьяка являются хлоридная и гидридная с получением промежуточных высоко чистых продуктов треххлористого мышьяка или гидрида мышьяка. Хлоридная схема получения чистого мышьяка включает:
хлорирование металлического мышьяка хлором или взаимодействие трехокиси мышьяка с соляной кислотой;
очистку трихлорида мышьяка ректификацией;
восстановление очищенного трихлорида мышьяка водородом до компактного металлического мышьяка.
Перед ректификацией треххлорида мышьяка проводят сорбционную очистку.
Для получения особо чистых гидрида мышьяка и элементарного мышьяка используется гидридная схема. Гидридная технология мышьяка имеет ряд преимуществ:
содержание мышьяка в гидриде выше, чем в любом другом соединении;
разложение гидрида мышьяка происходит при невысоких температурах и отсутствует необходимость в восстановлении;
гидриды имеют малую реакционную способность по отношению к конструкционным материалам при температурах синтеза и очистки.
Недостатками гидрида мышьяка являются высокая токсичность и взрывоопасность.
Гидридная технология очистки мышьяка состоит из следующих этапов:
синтез арсенида металла II группы;
гидролиз арсенида с получением арсина;
очистка арсина сорбцией;
вымораживание и ректификация;
разложение арсина до металлического мышьяка.
Мышьяк, полученный по приведенным схемам, с успехом используется для синтеза арсенида индия. Кроме того, треххлористый мышьяк находит широкое применение для нарашивания эпитаксиальных слоев арсенида индия.
Эпитаксиальное наращивание арсенида индия из газовой фазы.
Газотранспортные процессы, в основе которых лежат обратимые химические реакции, широко применяются для получения эпитаксиальных структур полупроводниковых соединений А3В5. Основными достоинствами процесса получения эпитаксиальных слоев арсенида индия из газовой фазы в проточной системе являются:
простота конструктивного оформления процесса;
низкое пересыщение вещества над растущим кристаллом;
сравнительно невысокие температуры кристаллизации, возможность предотвращения загрязнения материалом контейнера;
возможность управления процессом роста изменением скорости потока и концентрации транспортирующего агента;
широкие возможности легирования слоев различными примесями;
возможность автоматизации процесса;
осуществление непрерывного процесса;
возможность получение многослойных структур и заданной морфологии.
Суммарные реакции, наиболее часто используемых для осаждения эпитаксиальных слоев арсенида индия и переноса компонентов, в общем виде мощно представить следующим образом:
4InГ3+As4+6H2« 4InAs+12HГ;------(8)
3As+2InГ3+3/2H2« 3AsГ+2In+3HГ,----------(9)
3AsГ+2In« 2InAs+AsГ3;------(10)
In+As« InAs;------------(11)
2InAs+3Г2« InГ3+As2;------(12)
2InAs+H2O« In2O+As2+H2;------(13)
где Г - галоген. Арсенид индия в виде эпитаксиальных слоев получают методами транспортных реакций либо синтезом из элементов, либо пересублимацией соединения. Для переноса чаще всего используют галоиды (трихлориды элементов III и V групп, хлористый водород) и воду. Галоидные системы (хлоридные, йодидные) имеют преимущества перед системой H2O-H, поскольку хлор и йод являются нейтральными примесями для арсенида индия.
Система In-AsCl3-H2 .
Достоинствами системы можно считать:
малое число исходных компонентов в системе;
устранение предварительного получения InAs, используемого в качестве источника;
возможность глубокой очистки AsCl3 ректификацией;
получение хлористого водорода и мышьяка высокой степени чистоты восстановлением AsCl3 водородом.
Реактор имеет три зоны нагрева, причем печь сконструирована таким образом, что источник индия можно наблюдать во время процесса.
Водород барботирует через испаритель с хлористым мышьяком при температуре 20ОС, и смесь AsCl3+H2 поступает в печь.
В зоне 1 печи протекает реакция :
2AsCl3+3H2 ® 6HCl+1/2As4.------(14)
В зане 2 пары мышьяка взаимодействуют с индием. Смесь газов поступает в зону источника индия и проходят реакции:
2In+2HCl ® InCl+H2;------(15)
In+As4 ® 4InAs.------------(16)
Взаимодействие источника индия с газовой смесью происходит до насыщения индия мышьяком. Когда индий полностью насыщается мышьяком, на поверхности расплава образуется пленка арсенида индия, при этом избыточный мышьяк поступает в реактор и конденсируется на холодных стенках реактора вне печи. В течении периода насыщения индия мышьяком подложка находится вне реактора. Продолжительность насыщения определяется количеством индия, его температурой и скоростью поступления пара мышьяка к поверхности индия. При использовании не полностью насыщенного источника индия состав газовой фазы в зоне осаждения непостоянен.
При выращивании арсенида индия n-типа в системе In-AsCl3-H2 в газовый поток вводится смесь H2S+H2 . Концентрацией H2S определяется уровень легирования. Для получения пленок р-типа используется элементарный цинк и кадмий, вводимые в виде легирующей добавки из испарителя с отдельной зоной нагрева.
Система In-HCl-AsH3-H2.
Принципиальными технологическими преимуществами гидридов являются следующие:
летучие ковалентные гидриды можно получать из всех наиболее важных в полупроводниковой технике элементов;
свойства гидридов позволяют успешно применять очистку, основанную на трех фазовых переходах (жидкость- пар, твердое- пар, твердое- жидкость), а также эффективные методы газовой очистки (сорбции, ионного обмена);
содержание основного элемента в гидриде выше, чем в любом другом соединении;
гидриды имеют малую реакционную способность по отношению к конструкционным материалам.
Недостатками гидридов являются их высокая токсичность и взрывоопасность.
При выращивании эпитаксиальных слоев этой системы мышьяк при комнатной температуре находится в газообразном состоянии, что обеспечивает постоянство состава газовой фазы и гибкость процесса легирования.
xIn+HCl xInCl+(1-x)HCl+x/2H2,------(17)
где х - мольная доля HСl участвующая в реакции (сильно зависит от температуры). Следует отметить, что реакция протекает не до конца, т.е. химическое равновесие не наступает. Наиболее вероятной причиной наблюдаемого отклонения от химического равновесия является геометрия установки и значительные скорости потока газа. Гидриды элементов V группы, в том числе и AsH3, термически неустойчивы при температурах, обычно используемых при выращивании эпитаксиальных слоев. Основные реакции осаждения следующие:
3InCl+1/4As4+1/2H2 « InAs+HCl.(18)
При получении эпитаксиальных слоев арсенида индия с помощью системы In-HCl-AsH3-H2 является гибким методом наращивания. Качество слоев, полученных с помощью этой системы, обычно эквивалентно или даже превосходит качество слоев, полученных с участием других систем и методов, за исключением хлоридной системы In-AsCl3-H2.
Система InAs-SiCl4-H2.
Эпитаксиальные пленки арсенида индия высокой чистоты можно получать с использованием в качестве транспортирующего агента тетрахлорид кремния.
Водород, насыщенный тетрахлоридом кремния, при температуре -30СО, подается во внутреннюю трубку реакционной камеры. Продукты разложения (водород, хлористый водород и дихлорид кремния) вместе с остатком тетрахлорида кремния поступают во внешнюю реакционную трубу, где взаимодействуют с первым источником арсенида индия. При этом на источнике растет пористая пленка кремния и образуется хлорид индия мышьяк. На втором источнике, предназначенном для полного восстановления хлоридов кремния, также осаждается небольшое количество кремния. Эпитаксиальное наращивание пленок арсенида индия проводится на одноименные подложки, расположенные за вторым источником. Этот процесс можно представить следующим
Последовательным решением:
в реакционной камере
SiCl4 ® SiCl2+2HCl,------------(19)
с источник арсенида индия
2InAs+ SiCl4+ SiCl2® 2Si+2InCl+1/4As4,(20)
2InAs+SiCl4® 4InCl+As4,------------(21)
на подложке
2InCl+As2+H2® 2InAs+HCl.------(22)
Тетрахлорид кремния как транспортный агент в газотранспортных реакциях имеет преимущество перед другими хлоридами:
может быть получен особо высокой степени чистоты;
имеет высокое парциальное давление при относительно невысоких температурах;
не дает донорных уровней в эпитаксиальном слое.
Пиролиз МОС.
Значительный интерес представляют реакции металлоорганических соединений. Процессы такого рода проводятся при низких температурах, что существенно повышает чистоту, синтезируемого соединения, кроме того синтез многих МОС носит избирательный характер, а так как целый ряд примесей, влияющих на электрофизические параметры полупроводниковых материалов, не образуют аналогичных соединений, то уже в процессе самого синтеза МОС происходит очистка от нежелательных примесей до уровня 10-5-10-6 вес %.
Основными реакциями, приводящими к образованию арсенида индия при участии МОС, можно назвать следующие:
термическое разложение индивидуального МОС по схеме
RnInAs® InAs+nRH------(23)
разложение происходит в атмосфере водорода;
реакции элементоорганических производных, имеющими подвижный водород по схеме
(C2H5)3In+AsH3® InAs+3C2H6;------(24)
совместное разложение двух или более МОС или гидридов, приводящее к образованию твердых растворах на их основе.
В качестве источников индия и мышьяка для выращивания эпитаксиальных структур используются метил- и этил производные, эфираты триметил индия. Последние соединения в сравнении с триметилиндия более технологичны, так как менее реакционно способны и удобнее как в процессе очистки, так и при проведении процесса эпитаксиального наращивания.
Как правило, процесс осаждения термическим разложением МОС осуществляется в атмосфере водорода. Возможно проведение процесса также в смеси водорода и азота или только в азоте.
В зависимости от условий проведения процесса термического разложения арсенид индия может быть получен как в виде порошка, так и в виде эпитаксиально выращенных слоев.
Одним из преимуществ метода является легкость проведения легирования в процессе эпитаксиального наращивания. С этой целью применяют широкий ассортимент алкильных соединений элементов.
Из рассмотренных диаграмм парциальных давлений для хлоридного, хлоридно-гидридного метода и пиролиза триметилиндия с арсином в водороде следует, что максимальную область осаждения арсенида индия имеет система (CH3)3In-(CH3)3As-H2, минимальную система In-AsCl3-AsH3-H2. Из этого следует, что с учетом ограничений связанных с кинетикой, процесс получения эпитаксиальных структур арсенида индия с использованием МОС менее критичен к температуре, давлению и концентрации реагентов, а осуществление этого процесса возможно в более широком диапазоне, чем в случае хлоридного метода.
Важным вопросом с точки зрения развития метода получения эпитаксиальных структур арсенида индия с использованием МОС является возможность загрязнения слоев углеродом. Термодинамическим анализом процесса получения арсенида индия по реакции
(CH3)3In+AsH3® InAs+3CH4------(25)
показано, что переход углерода в слои арсенида индия за счет вторичных превращений углеводородов (метана, этана, этилена) в присутствии избытка арсина и водорода невозможно.
Получение эпитаксиальных полупроводниковых структур с использованием МОС открывает возможности стимулирования процессов газофазного выращивания под воздействием электромагнитного поля, лазерного и ультрафиолетового облучения.
Основными особенностями и преимуществами метода являются:
простота конструкции реактора с одной высокотемпературной зоной;
более низкая температура процесса, что уменьшает эффект самолегирования, улучшает профиль распределения концентрации по толщине слоя;
возможность независимой регулировки исходных компонентов, что обеспечивает возможность получения эпитаксиальных слоев с любым заданным профилем распределения концентрации носителей заряда по толщине слоя;
отсутствие травящих агентов (HСl) в системе позволяет осуществлять рост эпитаксиальных слоев на гетероподложках;
возможность получать субмикронные эпитаксиальные слои (0.2-0.8 мкм), величина переходной области подложка-слой составляет 0.03-0.1 мкм.
Жидкофазная эпитаксия арсенида индия.
Несмотря на то, что получение эпитаксиальных слоев из паровой фазы является основным направлением в технологии изготовления полупроводниковых приборов процесс эпитаксиального оста из жидкой фазы в ряде случаев обладает некоторыми преимуществами к примеру
при получении сильнолегированных слоев;
p-n переходов высокого качества.
Выращивание эпитаксиальных слоев арсенида индия производится с использованием легкоплавких металлов или их смесей, которые могут быть как донорными так и акцепторными примесями в получаемых слоях.
На качество и электрофизические свойства эпитаксиальных слоев, выращиваемых из жидкой фазы, влияют следующие факторы:
скорость охлаждения раствора-расплава;
начальная равновесная температура раствора-расплава;
увеличение веса растворяющего вещества сверх равновесного значения;
соотношение объема расплава и контактирующей площади поверхности подложки с расплавом;
физико-химическая природа растворителя и растворимого вещества;
металлографическое состояние поверхности подложки;
чистота используемых в процессе веществ и конструкционных материалов.
Электронографические и металлографические исследования установили, что слои выращенные в высокотемпературных областях, имеют более совершенную структуру по сравнению с теми, которые которые получены в низкотемпературных областях.
Молекулярно лучевая эпитаксия арсенида индия.
МЛЭ - один из современных и много обещающих технологических методов выращивания тонких монокристаллических полупроводниковых структур.
Для осаждения эпитаксиальных пленок в МЛЭ используются управляемое испарение из термического источника (или одновременное испарение из нескольких источников) в условиях сверхвысокого вакуума.
Держатель подложки и источники атомных или молекулярных пучков - испарительные ячейки - находятся в условиях сверхвысокого вакуума, получаемого ионной откачкой. Испарительные ячейки представляют собой небольшие нагреваемые камеры (“стаканы”), открытые в сторону подложки. С целью уменьшения теплового взаимодействия и предотвращения взаимного загрязнения испарительные ячейки разделяют экранами, охлаждаемыми жидким азотом. Такой же экран помещают позади держателя образца для уменьшения загрязнения остаточной атмосферы в камере. С этой же целью держатели источников, подложки изготавливают из материалов с низким давлением паров, таких, как алунд, тантал, графит. Рабочий вакуум в ростовой камере близок к 10-8Па.
Для контроля молекулярных или атомных пучков и выращиваемых слоев непосредственно в процессе выращивания используются дифрактометр электронов высоких энергий “на отражение”, масс-спектрометр, оже-спектрометр и ионный вакуумметр, контролирующий нейтральные атомные пучки.
Возможность контроля непосредственно в процессе выращивания - одно из значительных преимуществ МЛЭ. В случае МЛЭ температура подложки может быть сравнительно невысокой (500-600ОС), что приводит к низкой скорости роста (порядка 0.1 нм/с) и низкой скорости объемной диффузии. Основная заслонка и заслонки испарительных ячеек позволяют очень быстро перекрывать пучки. Это дает возможность изменять состав или уровень легирования выращиваемых структур буквально на межатомном расстоянии.
При выращивании слоев арсенида индия методом МЛЭ атомы индия и молекулы As2 и As4 попадают на подложку арсенида галлия (100). К поверхности прилипают практически все атомы индия. Поток атомов мышьяка является избыточным и только один атом As на каждый атом In остается на подложке, формируя стехиометрический состав выращиваемого слоя. Интенсивность молекулярных пучков и, следовательно, скорость осаждения можно варьировать, меняя температуру индиевого источника. Обычно плотность потока индия близка к 1015 атом.(см2× с), а мышьяка она в 5-10 раз выше.
В качестве доноров при выращивании арсенида индия методом МЛЭ используют элементы IV групп, такие, как Si, Ge и Sn. Они могут входить в подрешетку индия или мышьяка, и тип легирования будет зависить от соотношения вакансий индия и мышьяка. Наименее чувствительно к этому соотношению олово, введение которого дает материал n-типа. Самой распространенной донорной примесью, по-видимому, кремний, при его использовании достигается наиболее высокая подвижность при температуре жидкого азота, которая обычно считается основным параметром, характеризующим качество арсенида индия.
Концентрация электронов в слоях арсенида индия, выращенных методом МЛЭ, может превышать 5× 1018 см-3, что значительно больше той концентрации, которая достигается при использовании газофазной эпитаксии.
Еще одним преимуществом МЛЭ является сглаживание поверхности арсенида индия в процессе роста. Благодаря этому свойству метод МЛЭ особенно удобно использовать при выращивании гетеропереходов, сверхрешеток и многослойных структур. Как и в случае остальных эпитаксиальных методов, решающим для качества будущей пленки является качество приготовления подложки.