Стрела времени и необратимость, возникновение хаоса из порядка и порядока из хаоса как следствие фундаментального детерминизма
Пригожин И. в (Л-6) пишет: “Можно ли каким-то образом установить связь между столь различными пониманиями времени – временем как движением в динамике, временем, связанным с необратимостью, в термодинамике, временем как историей в биологии и социологии? Ясно, что установление такой связи – задача не из лёгких. И всё же мы живём в единой Вселенной, и, чтобы достичь согласованной картины мира, частью которого мы являемся, нам необходимо изыскать способ, позволяющий переходить от одного описания к другому”. Цель данной статьи попытаться дать единое представление о времени, применимое для всех означенных выше областей, а также показать способ, который позволит не просто переходить от одного описания к другому, а сделать единое описание всех областей классической динамики (динамики Ньютона, термодинамики, теплопередачи, гидродинамики, электродинамики токов, динамики в биологии) исходя из единых исходных постулатов. Выше перечисленные области классической динамики находятся в вопиющем противоречии. Динамика Ньютона и термодинамика уважительно отгородились друг от друга и придерживаются политики невмешательства в область описания другого. Динамика Ньютона описывает системы состоящие из малого числа частиц, элементов, а термодинамика описывает системы из несчётного числа частиц, элементов. Термодинамика же (во всяком случае классическая) и биология фактически исключают друг друга. Эволюция в термодинамике, вытекающая из её исходных постулатов, приводит к равновесному состоянию, что с точки зрения биологии означает конец развития и смерть. Эволюция по Дарвину, принятая биологией и также отвечающая реальному миру, противоречит постулатам термодинамики. Мало общего, если об этом вообще можно говорить, и между динамикой Ньютона и биологией. Необходимо обратить внимание на то, что и классическая статистическая механика применяет математический аппарат теории вероятностей, опираясь на гипотезу молекулярного хаоса (принцип элементарного беспорядка), предложенную Больцманом, и которая аккумулирует в себе нулевой и второй постулаты термодинамики. Конечно, эта гипотеза подтверждена и опытом и приложениями теории, но тем не менее теоретически не обоснована до сих пор. Сложное и запутанное становится понятным, когда во всём этом удаётся увидеть простое и главное. Таким простым, главным и объединяющим для означенной совокупности знаний является эффект вырождения результирующего импульса в многочастичной среде через нецентральное соударение. Наложение этого эффекта на законы динамики Ньютона позволяет построить классическую макро физику исходя из трёх постулатов, которые лежат в основе динамики Ньютона. Это: закон сохранения и превращения энергии; закон сохранения результирующего импульса (момента импульса); корпускулярный характер строения материи, приводящий к нецентральному соударению.
Последний постулат нигде отдельно не выделяется, но фактически также лежит в основе динамики.
Но сначала о времени.
Время в динамике процессов и в эволюции событий
Проблема времени вызывала интерес с глубокой древности. Во всяком случае с античных времён по сегодняшний день исследователи практически всех направлений уделяли понятию времени самое пристальное внимание.
“Время – фундаментальное измерение нашего бытия. … В том виде, как оно входит в фундаментальные законы физики от классической динамики до теории относительности и квантовой физики, время не содержит в себе различия между прошлым и будущим! Для многих физиков ныне это вопрос веры: до тех пор и поскольку речь идёт о фундаментальном уровне описания, “стрелы времени” не существует. Тем не менее во всех явлениях, с которыми нам приходится иметь дело, будь то явления из области макроскопической физики, химии, биологии, геологии, гуманитарных наук, будущее и прошлое играют различные роли. Существование стрелы времени здесь очевидно. Каким образом может возникнуть стрела времени из фундаментальной концептуальной схемы физики? Каким образом она может возникнуть из симметричного по времени мира? Или, быть может, воспринимаемое нами время не более чем иллюзия? Эти вопросы приводят к парадоксу времени – центральной теме нашей книги.” (Л-5).
Как представляется автору данной статьи ни какого парадокса тут нет, а есть путаница между понятием промежуток времени, используемым динамикой и понятием момент времени, используемый эволюционными теориями. Сразу хочу оговориться, несмотря на частое цитирование Пригожина и зачастую в противоречие того, о чём говорю сам, это не означает противоречия с концепцией Пригожина. Напротив, я пытаюсь дать ответы на сформулированные им вопросы, да и указываемые противоречия по большей части сформулированы именно им для обоснования его концепции.
Время в динамике процессов и в эволюции событий – совершенно разные понятия. Именно соединение вместе этих различных понятий и даёт нам стрелу времени или числовую ось времени.
Рассмотрим время в динамике процессов.
Основная задача динамики, диктуемая её основным законом, заключается в описании движения массы под действием силы. Обратим внимание, что всякий процесс связан с движением, с перемещением в пространстве. Движение характеризуется, в числе прочего, скоростью движения и именно для определения величины скорости и введено понятие времени (промежутка времени) в динамике. А вот само понятие времени (промежутка времени) в динамике возникает из сравнения скоростей различных, не зависимых друг от друга, процессов. Примеры:
Пример-1. Рассмотрим два независимых друг от друга процесса – движение автомобиля по дороге и качание маятника. В процессе движения измеряем расстояние пройденное автомобилем с помощью какой-то эталонной меры и число полных периодов качания маятника. Причём замеры обеих величин начинаем и заканчиваем одновременно. Из отношения замеренных величин, каждая из которых определяется скоростью её процесса и возникает время в динамике процессов (промежуток времени). Мы можем сказать, что на одно полное качание маятника приходится столько-то величин эталонных мер расстояния, которыми измеряется пройденный путь. То есть время выступает как кратная величина скоростей сравниваемых процессов. Здесь мы приняли в качестве эталона сравнения скоростей процессов скорость качания маятника. Можно и наоборот. Теперь принимая скорость эталонного процесса как меру промежутка времени (один период качания маятника – одна секунда, например) получаем кратную скорость любого другого сравниваемого с ним процесса. Из сравнения кратных скоростей (по отношению к маятнику) двух движущихся автомобилей мы и определяем соотношение их скоростей.
Конечно, если автомобили начинают и заканчивают движение одновременно, то для сравнения их скоростей вовсе и не нужно маятника, вовсе и не нужно эталонного процесса. Но если автомобили движутся не одновременно, то для сравнения их скоростей без маятника не обойтись.
Пример-2. Вращение Земли вокруг собственной оси (суточное вращение) и вращение Земли вокруг Солнца (годичное вращение). Здесь ситуация совершенно аналогична ситуации первого примера. Пользуясь астрономическими знаниями, определяем число суточных оборотов за один годовой оборот. Принимая скорость вращения вокруг Солнца за эталонную скорость, находим скорость вращения Земли вокруг своей оси как кратную величину по отношению к вращению Земли вокруг Солнца. Причём это стало возможным потому, что оба эти независимых процесса протекают одновременно. Как и в случае одновременного движения двух автомобилей для определения соотношения скоростей процессов здесь можно обойтись без третьего эталонного. А вот ели замеры производить раздельно, то без процесса качания маятника, например, тоже не обойтись.
Время в динамике процессов (промежуток времени) – это просто скорость какого-то процесса выбранного в качестве эталона сравнения. Параметр времени в динамике процессов введён для выявления соотношения скоростей независимых процессов. Самого времени как “нечто самостоятельное” не существует. В этом смысле время в динамике процессов действительно “иллюзия”. Причём чёткого определения времени (промежутка времени) невозможно дать без существования равномерного периодического процесса, с которого начинается сравнение кратных скоростей других процессов. Под равномерностью периодического процесса нужно понимать не равномерность его скорости, а строгую повторяемость его циклов на каждом этапе цикла. Например, маятник имеет скорость движения от нуля в верхних точках траектории до максимума в нижней, но мы имеем в виду под равномерностью скорости процесса то, что в каждом цикле движения всё строго повторяется, все характеристики процесса. Вот почему в качестве эталонных процессов выбирают качание маятника, вращение Земли вокруг своей оси или вокруг Солнца. Причём для более точного измерения вариаций скорости (кратной скорости) какого-либо процесса в качестве эталона необходимо выбирать равномерный периодический процесс с возможно большей собственной скоростью. По этой причине сегодня в качестве эталона времени выбраны атомные или квантовые часы с большой частотой и высокой степенью повторяемости периодов частот процесса излучения.
Рассмотрим время в эволюции событий.
Эволюция изучает события или иначе видоизменения, метаморфозы, бифуркации, т.е. какие-то резкие качественные изменения наблюдаемой системы, объекта и последовательность этих событий. Наблюдая за событиями, мы можем лишь сказать о том какое событие произошло раньше, а какое позже или они произошли одновременно. Причём вне зависимости то того связаны ли события между собой какой-либо причинно следственной зависимостью или нет. Из простого наблюдения за последовательностью событий возникают понятия прошлого, настоящего и будущего, возникает направление событий. Мы можем говорить о последовательности моментов возникновения этих событий. Но все эти понятия сами по себе не имеют никакого отношения к понятию промежутка времени. Причём в отличии от динамики процессов, где в качестве реальности выступают скорости процессов, а промежуток времени это “иллюзия” отражающая соотношение реальных скоростей, в эволюции событий их последовательность и момент наступления самая, что ни на есть реальность. Объединение столь различных понятий как промежуток времени в динамике процессов и моментов времени в эволюции событий в единую числовую ось времени возможно по той причине, что события наступают в результате протекания физических процессов. Пусть имеем наблюдаемую последовательность событий. Между событиями протекают процессы, порождающие эти события. Замеряя скорости этих процессов по скорости эталонного процесса, получаем промежутки времени между отдельными событиями в последовательности. Теперь осталось выбрать за начало отсчёта какое-либо событие (сотворение мира, рождение Христа или основание Рима) и числовая ось времени готова.
Далее происходит абстрагирование от конкретной последовательности событий и моменты времени на числовой оси получаются как числа, суммирующие последовательность промежутков времени эталонного хронометра. А моменты времени конкретных реальных событий привязывают к полученной абстрактной числовой оси времени и тогда мы получаем даты.
Таким образом равномерный периодический процесс лежит в основе понятия времени. Без него даже эволюционная последовательность событий (если только она сама не равномерна как верстовые столбы) не позволит определить время как аналитическое понятие. Именно по отношению к скорости эталонного равномерного периодического процесса и определяются скорости всех других процессов. Если нет такого эталонного процесса или скорости процессов равны, или при описании процессов не учитывают их скорости, то в такой ситуации параметр времени становится не востребованным. Наглядными примерами являются классическая равновесная термодинамика и преобразования Лоренца. В равновесной термодинамике скорости обратимых процессов принимаются бесконечно медленными, то есть с точки зрения численного анализа равными нулю. А если равны нулю скорости процессов, то и нет нужды во времени как таковом. Преобразования Лоренца специально сконструированы для того, чтобы не допустить скорости большие скорости света. Отсюда та же ситуация, при приближении скорости к скорости света и соответственно выравнивании скоростей время останавливается.
Время как и число – это интеллектуальная категория, служащая для количественного описания окружающего мира и не более того. Процессы и события для своего протекания и осуществления не нуждаются во времени как таковом. Им всё равно будет где-либо качаться маятник или нет. Всё определяется соотношением сил и энергий. Время необходимо человеку для анализа количественных соотношений между этими величинами, для анализа и оценки процессов и событий, реально протекающих в природе. Время – категория, введённая человеком для познания действительности. Без человека нет времени, а есть процессы и события. Объективность времени определяется не секундами и веками (т.е. промежутками времени) и не датами (т.е. моментами времени), а скоростями процессов и фактами событий, не зависящих от субъекта. Время – интеллектуальное тождество скоростям процессов и фактам событий.
Теперь нужно ответить на самый главный и интригующий вопрос, касающийся времени – это вопрос об не обратимости времени.
Эффект вырождения результирующего импульса как связующий элемент, обеспечивающий целостность и единство классической динамики
Мы уже отмечали, что события наступают в результате протекания тех или иных процессов. Даже само событие есть какой-то процесс со своей динамикой, со своими энерго превращениями. Поэтому что бы ответить на вопрос о возможности или не возможности обратной цепи событий, обратного хода времени, нужно ответить на вопрос о возможности или невозможности обратного течения процессов. Вопрос обратимости или не обратимости времени – это вопрос обратимости или не обратимости процессов в динамике. Последнее является доминантой исследований Пригожина и его коллег по данному вопросу. Обоснуем и докажем правильность этой доминанты.
Сначала о обратимости процессов в динамике Ньютона, динамике малого, счётного числа взаимодействующих частиц.
Рассмотрим один из наиболее ярких примеров обратимости процессов в динамике Ньютона – это обратимость движения математического маятника. При качании маятника в ту или иную сторону движения строго повторяются и при описании движения время можно принимать как со знаком плюс так и со знаком минус. Ни сточки зрения количества, ни с точки зрения качества оба описания не будут противоречить друг другу. Качание в одну сторону строго противоположно, обратимо качанию в другую сторону. Усложним ситуацию. Рассмотрим цепочку подвешенных на прямой линии достаточно близко друг к другу совершенно одинаковых математических маятников. Отклоним первый маятник, то есть за счёт совершения работы передадим ему потенциальную энергию, и отпустим. Взаимодействие будем описывать законами центрального абсолютно упругого удара. В системе начнётся процесс последовательного соударения и в цепочке возникнет процесс передачи импульса и энергии вдоль цепочки. При этом каждый акт взаимодействия между массами двух маятников сопровождается переходом кинетической энергии в потенциальную и наоборот и совершается работа против силы или силой. Этот процесс будет протекать до последнего маятника. После того как последний маятник отклонится и энергия системы сосредоточится в потенциальной энергии последнего маятника, весь процесс повторится, но в обратной последовательности, в обратном направлении. Мы растянули процесс во времени, но он остался обратимым. Однако если цепочку маятников предположить бесконечной длины, то процесс передачи импульса и энергии по цепочке станет необратимым. Таким образом теоретически необратимость процесса возможна и в классической динамике Ньютона, но это не локализованная в пространстве и времени, гипотетическая необратимость.
Теперь о необратимости процессов в термодинамике, динамике большого, несчётного числа частиц, которые как показывает практика локализованы и во времени и в пространстве.
Исторически сложилось так, что при рассмотрении процессов в неравновесных термодинамических системах в тени остаётся один из самых фундаментальных законов природы – закон сохранения результирующего импульса как системный закон. Похоже сознание исследователей, воспитанных на трёх законах Ньютона, с аккумулированных в законе сохранения результирующего импульса, было шокировано фактом существования равновесного состояния и неизбежности его наступления. Это привело к отгораживанию динамики Ньютона от термодинамики и в последующем независимому развитию обеих наук. В основу термодинамики был положен факт существования равновесного состояния в тепловых системах и неизбежности его наступления. Были сформулированы нулевой и второй постулаты, которые напрочь отметали закон сохранения результирующего импульса. Термодинамика как бы пренебрегала динамикой Ньютона, претендовавшей на место первой из наук. Видимо это и стало причиной жестокой травли Больцмана со стороны приверженцев классической динамики, когда Больцман делал попытки вывести гипотезу молекулярного хаоса, постулирующую равновесное состояние, из законов классической динамики. А ведь Больцман был так близок к решению этой задачи в своём первом механическом варианте H-теоремы.
На основе последовательного применения к термодинамическим системам (системам состоящим из несчётного числа частиц) закона сохранения результирующего импульса покажем единство динамики малого числа частиц (динамики Ньютона) и динамики несчётного числа частиц (термодинамики). Рассмотрим процессы возникновения кооперативных векторных потоков энергии в неравновесных многочастичных системах и условия, при которых происходит или их затухание, вплоть до равновесного состояния, или формирование диссипативных структур Пригожина.
В учении о тепле факт равновесного состояния и неизбежности его наступления для замкнутой многомолекулярной системы имеет особое, основополагающее значение. Все фундаментальные выводы термодинамики и статистической физики построены на этом факте.
Рассмотрим это наиболее общее свойство всех многомолекулярных систем, т.е. их стремление к равновесию, постараемся раскрыть механизм релаксации подобных систем. Известно, что это свойство обусловлено столкновением частиц между собой и со стенками сосуда. Так вот, возникает вопрос, а как в процессе столкновения частиц между собой и со стенками сосуда направленное движение приходит в равновесное состояние, т.е. каким образом кинетическая энергия направленного движения (кооперативная энергия общего движения частиц) переходит в кинетическую энергию хаотически движущихся частиц?
На первый взгляд покажется вполне понятным и естественным, что если одна или несколько направленно движущихся частиц высокой энергии сталкиваются с большой массой хаотически движущихся частиц, то в результате сталкивания направленные частицы перемешиваются и их направленная энергия будет рассеяна. Однако при таком подходе происходит подмена сложного на хаотическое. При ближайшем рассмотрении выясняется четкий, имеющий свои границы, механизм релаксации, механизм установления равновесия, вытекающий из законов механики.
Во первых покажем что результирующий импульс всех частиц системы, находящейся в равновесии, равен нулю как вектор.
где n-количество частиц в системе.
Обоснование данного утверждения легко провести с помощью выводов статистической физики. Известно, что в случае равновесного состояния в газе всегда реализуется Максвеловское распределение по скоростям. В статистической физике показывается, что для случая Максвеловского распределения по скоростям средняя проекция скорости хаотического движения на любое направление оказывается равной нулю. А если равна нулю проекция средней скорости, то равна нулю и проекция среднего импульса на любое направление. И результирующий импульс равен нулю как вектор.
Теперь рассмотрим замкнутую систему из 10-и частиц, находящихся в покое (для простоты будем рассматривать механическую модель газа - абсолютно упругие шары). Этой замкнутой системе извне передадим импульс
. Наиболее характерным свойством этой замкнутой системы, с точки зрения динамики, будет, наряду с сохранением полной энергии то, что этот импульс будет сохраняться постоянным по величине и направлению, сколько бы частицы не сталкивались между собой. При рассмотрении замкнутой системы из 20, 100 частиц свойство
сохраняется. Теперь же рассмотрим замкнутую систему из многих и многих миллиардов частиц. Здесь положение коренным образом меняется. Наиболее характерным свойством этой системы является стремление к равновесию, при котором как было показано выше результирующий импульс всех молекул равен нулю как вектор, т.е. направленное движение перейдет в хаотическое. Таким образом с одной стороны для замкнутой механической системы имеем
с другой, при увеличении числа частиц системы, имеем прямо противоположное свойство
, направленное движение исчезает. Попытаемся выяснить, каким образом разрешается этот парадокс, т.е. рассмотрим механизм релаксации. Каким образом кооперативная кинетическая энергия направленного движения с
переходит в кинетическую энергию хаотически движущихся частиц с
как вектор? Взаимодействие молекул (шаров) будем описывать законами абсолютно-упругого удара. Так как молекулы имеют конечные размеры, то удар будет нецентральный. Обратим на это особое внимание. Это ключ к решению поставленной задачи. Вероятность центрального удара, согласно положениям статистической физики в системе свободных частиц стремится к нулю. Если не нравятся абсолютно-упругие шары будем понимать под ними силовые поля, имеющие форму шара или круговые эффективные сечения взаимодействия. Причём шаровые силовые поля рассматриваем для упрощения модели, что бы заострить внимание на главном виновнике рассеяния кооперативной энергии – нецентральном соударении.
Пусть имеем замкнутую систему, состоящую из одинаковых шаров. Причем n шаров покоятся, а один шар движется и сталкивается с покоящимися шарами. До столкновения результирующий импульс системы:
, т.е. равен импульсу движущегося шара, а кинетическая энергия
равна кинетической энергии движущегося шара. Причем кинетическая энергия строго направлена по результирующему импульсу системы, вся переносима этим результирующим импульсом.
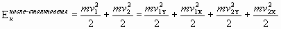
Шар 1 (см. рис.1) сталкивается с покоящимися шарами, причем должны при этом выполняться закон сохранения результирующего импульса и закон сохранения кинетической энергии. Пишу закон сохранения кинетической, а не полной энергии, т.к. принято считать что при абсолютно-упругом соударении шаров потенциальная энергия проявляется только в момент непосредственного соприкосновения. Эта схема принимается мною с тем что бы в наибольшей простоте раскрыть механизм рассеяния кооперативной кинетической энергии. При рассмотрении последовательности столкновений будем следить не за траекториями отдельных частиц, которые экспоненциально разбегаются, а за поведением результирующего импульса.
Шар 1 с импульсом
после столкновения с первым шаром 2 будет иметь импульс ![]()
, а шар 2 приобретет импульс
которые в сумме (геометрической) дадут первоначальный импульс
. Закон сохранения импульса соблюден. Разложим импульсы шаров 1 и 2 после столкновения на оси
и
. Проекции
и
дадут в сумме первоначальный импульс
, а проекции ![]()
, перпендикулярные первоначальному результирующему импульсу на его величину после столкновения не влияют и в сумме дают нуль-вектор. Равенство по абсолютной величине импульсов
и
легко видно из векторной диаграммы и вытекает из закона сохранения результирующего импульса. Однако эти два последних уравновешенных импульса (нуль-вектор) несут каждый на себе определенное количество кинетической энергии, полученной от кинетической энергии первоначального импульса
.
![]()
![]()
![]()
Так как
и ![]()

Массы шаров для простоты все равны. Если, как было показано выше, результирующий импульс после столкновения сложится из двух проекций на ось
и остался постоянным, то кинетическая энергия, переносимая этим импульсом после столкновения, т.е. проекциями
и ![]()
будет составлять только часть кинетической энергии, переносимой результирующим импульсом до столкновения. Другая часть кинетической энергии, переносимая взаимно уравновешенными импульсами
и
(нуль-вектором)
переходит в хаотическую форму. После следующего соударения теперь уже двух движущихся шаров результирующий импульс сложится из 4-х шаров и произойдет дополнительное рассеяние направленной кинетической энергии и т.д. Таким образом благодаря нецентральному соударению шаров в первоначальный направленный импульс лавинообразно вовлекается все большее и большее число шаров и происходит лавинообразный рост массы результирующего импульса. А по мере вовлечения шаров происходит все большее рассеяние первоначально направленной кинетической энергии. Это видно и из таких простых математических преобразований:
; ![]()
;
; m-масса шара ;
; (1)
Так как в результате столкновений в перенос результирующего импульса вовлекается все большее число молекул, то масса результирующего импульса постоянно растет, а скорость результирующего импульса, т.е. общего переноса падает. После рассмотренного соударения масса результирующего импульса возросла вдвое, а скорость
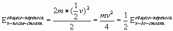
уменьшилась вдвое.
![]()
Но в кинетическую энергию скорость входит в квадрате, поэтому при увеличении массы в два раза и уменьшении в два раза скорости общего переноса кинетическая энергия общего переноса, т.е. та, которую несет результирующий импульс, уменьшилась вдвое.

Речь идет о кинетической энергии общего переноса (кооперативной энергии), связанной с результирующим импульсом, т.е. той энергии, которая совершает макроскопическую работу. Закон сохранения общей кинетической энергии системы не нарушается, т.к. адекватно увеличивается хаотическая составляющая кинетической энергии. При увеличении массы, переносящей результирующий импульс, в 10 раз кинетическая энергия, переносимая этим импульсом, и остающаяся в направленной форме, уменьшается в 10 раз. И при стремлении массы результирующего импульса к бесконечности кинетическая энергия общего переноса стремится к нулю. Таким образом при стремлении массы результирующего импульса к бесконечности, т.е. вовлечении в процесс переноса импульса огромного числа частиц, скорость результирующего импульса стремится к нулю и направленное движение затухает. Результирующий импульс, оставаясь постоянным по величине и направлению, вырождается как носитель кооперативной энергии, равносильно тому, что
и система приходит в равновесное состояние. Вся кооперативная энергия переходит к нуль-вектору хаоса.
Этим разрешается парадокс который мы выявили в начале. В случае центрального удара рассеяние вообще не происходит. В этом примере мы рассматривали столкновение шара с покоящимися шарами. Картина рассеяния и затухания не изменится, если шары будут не покоиться, а хаотически двигаться с
, т.к. причиной рассеяния является не состояние системы, а нецентральное соударение.
Теперь о самом главном – о применении закона сохранения результирующего импульса к многочастичным (термодинамическим) системам. Когда я рассматриваю механизм релаксации термодинамических систем через рассеяние направленной кинетической энергии, переносимой результирующим импульсом, то для замкнутой системы неукоснительно соблюдаю закон сохранения результирующего импульса. Если выше я пишу: “Каким образом кинетическая энергия направленного движения с
переходит в кинетическую энергию хаотически движущихся частиц с
как вектор”, то это относится не к утверждению, а к постановке задачи. Это утверждение давным давно сделал Клаузиус, когда сформулировал второй закон в форме, что направленный процесс в замкнутой термодинамической системе неизбежно приходит в равновесное состояние. Ведь если процесс направленный, то это кооперативное (совместное) движение многих частиц, а значит имеется результирующий импульс, который должен в замкнутой системе оставаться постоянным как вектор что бы не происходило. Но если система придет в равновесное состояние, т.е. реализуется Максвеловское распределение по скоростям, то легко показывается что в системе
Вот это и породило сомнение, появилась необходимость согласовать эти противоречащие друг другу фундаментальные опытные факты. Причём предпочтение отдано закону сохранения результирующего импульса как более фундаментальному закону на том основании что закон сохранения результирующего импульса сформулирован для любых замкнутых систем, а 2-й закон сформулирован только для многочастичных термодинамических замкнутых систем. Однако применяя закон сохранения импульса к диссипативным системам необходимо учитывать одну тонкость, которая и позволяет снять ранее отмеченное противоречие и примирить 2-й закон и закон сохранения результирующего импульса. Эта тонкость является важным свойством диссипативных (термодинамических) систем. Под скоростью центра масс результирующего импульса
(см. формулу (1)) нужно понимать не скорость центра масс всей замкнутой системы, которой передан импульс, а скорость центра масс частиц вовлечённых в результате не центрального соударения в перенос первоначального импульса (который относился к первоначальному шару). Это открытая система, активно взаимодействующая с остальной несоизмеримо большей частью всей замкнутой системы и вовлекающая в первоначальный импульс всё большее число молекул через не центральное соударение. Учитывая число частиц реальных термодинамических систем (достаточно вспомнить порядок числа Лошмидта), понятно что в доли времени и на минимальных расстояниях первоначальная масса частиц из которых складывался импульс возрастает в миллиарды и миллиарды раз. Хотя будет составлять малую часть всей замкнутой системы. И далее я показываю, рассматривая механизм релаксации, что кооперативная кинетическая энергия связанная с этим импульсом убывает обратно пропорционально росту массы. Кооперативная энергия разносится взаимно уравновешенными импульсами (см. рис.-1) и направленная кооперативная кинетическая энергия переходит в тепловую форму с
. Хотя первоначальный импульс остался постоянным по величине и направлению как вектор ( сложившись из огромного числа микро импульсов вовлеченных частиц), он вырождается как носитель кооперативной энергии, которая перешла к нуль вектору, складывающемуся из пар взаимно уравновешенных импульсов. Даже если будут сталкиваться одновременно три и более частиц (вероятность чего пренебрежимо мала), то и тогда импульсы, разносящие кооперативную энергию перпендикулярно первоначальному импульсу, в сумме должны дать нуль вектор. Иначе будет нарушен закон сохранения результирующего импульса. Так как скорость центра масс открытой системы стремится к нулю (
), то я и утверждаю, что с продолжающимся лавинообразным нарастанием массы открытой системы с некоторого момента следующий миллиметр пути импульс не преодолеет никогда, а это значит что перенос кооперативной энергии прекратится. Оставаясь постоянным по величине и направлению как вектор, импульса не стало как энергетического носителя кооперативной энергии. Вот что я понимаю под вырождением результирующего импульса. Он остался постоянным по величине и направлению, но без энергии. Вся его первоначальная энергия перешла к нуль вектору хаоса. Именно это я имею в виду когда пишу
. И если ещё учесть что кооперативная энергия не только уменьшается обратно пропорционально суммарной массе вовлеченных в первоначальный импульс частиц, но в процессе развития экспоненциально расширяется и площадь проходного сечения потока кооперативной энергии, то плотность потока энергии (вектор Умова-Пойтинга) убывает ещё быстрее и польза от этой кооперативной энергии с точки зрения совершения полезной работы против сил убывает быстрее убыли её величины. Это и есть механизм релаксации через диссипацию кооперативной энергии, через вырождение результирующего импульса при не центральном соударении.
Теперь рассмотрим другой пример рассеяния направленной кинетической энергии, исключающий соударение шаров (молекул) между собой. Пусть имеем адиабатную полость с отверстием. В отверстие полости влетает n шаров, причем скорости шаров строго параллельны (молекулярный пучок). После того как шары влетают в полость, отверстие за ними закрывается. Рассмотрим как будут развиваться события в этой замкнутой системе. Эта задача решается в теории бильярдов Синая. В начале результирующий импульс равен скалярной сумме всех импульсов шаров, т.к. импульсы шаров параллельны и вся кинетическая энергия переносима результирующим импульсом, находится в кооперативной форме. В следствие того что шары не зависимы друг от друга, то после соударения со стенкой они разлетаются в различных направлениях в зависимости от углов соударения каждого шара со стенкой, а так как стенка имеет кривизну, то углы различны. Строго говоря и здесь нужно вести речь не о кривизне, а о нецентральном соударении по причине корпускулярного строения стенки. Налетающая частица сталкивается со стенкой представляющей для этой частицы потенциальный барьер из суперпозиции силовых полей частиц стенки. Соударение происходит с какой-то отдельной частицей стенки по законам не центрального соударения как и в случае газа. Только частицу в стенке нужно принимать практически бесконечно большой массы, из-за её жестких связей с огромной совокупностью частиц стенки, с которыми она выступает как единое целое. После отражения от стенки результирующий импульс шаров уменьшается, т.к. скорости шаров уже не параллельны. И кинетическая энергия, переносимая результирующим импульсом, соответственно уменьшается. То есть и здесь вырождение импульса, диссипация кооперативной энергии вызывается не центральным соударением и большой массой. И если шаров в пучке мн