Приближенное вычисление определенного интеграла при помощи квадратурной формулы Чебышева
Требуется найти определенный интеграл
I = 
по квадратурной формуле Чебышева.
Рассмотрим, что представляет из себя вообще квадратурная формула, и как можно с ее помощью вычислить приближенно интеграл.
Известно,
что определенный интеграл функции
типа
численно представляет собой площадь криволинейной трапеции ограниченной кривыми x=0, y=a, y=b и y=
(Рис.1).

Рис. 1. Криволинейная трапеция.
Если f(x) непрерывна на отрезке (a, b), и известна ее первообразная F(x), то определенный интеграл от этой функции в пределах от а до b может быть вычислен по, известной всем, формуле Ньютона - Лейбница
= F(b) - F(a)
где
F’(x) = f(x)
Однако во многих случаях F(x) не может быть найдена, или первообразная получается очень сложной для вычисления.
Кроме того, функция часто задается таблично. Поэтому большое значение приобретает приближенное и в первую очередь численное интегрирование.
Задача численного интегрирования состоит в нахождении приближенного значения интеграла
по заданным или вычисленным значениям подинтегральной функции f(x) в некоторых точках ( узлах ) отрезка ( a, b).
Численное определение однократного интеграла называется механической квадратурой, а соответствующие формулы численного интегрирования - квадратурными .
Заменяя подинтегральную функцию каким-либо интерполционным многочленом, мы получим квадратурные формулы вида

где
xk - выбранные узлы интерполяции;
Ak - коэффициенты, зависящие только от выбора узлов, но
не от вида функции (k=0,1,2,........, n).
R - остаточный член, или погрешность квадратурной формулы.
Отбрасывая остаточный член R, мы совершаем погрешность усечения.
При расчете к ней добавляются еще различные погрешности округления.
Разобьем отрезок интегрирования (a, b) на n равных частей системой точек
xi= xo+ i..h; ( i = 0,1,2,......,n)
xo= a; xn= b;
h= (b-a)/n ;
и вычислим подинтегральную функцию в полученных узлах
yi= f(xi) ; ( i = 0,1,2,......,n)
1.2. Вывод формул численного интегрирования с использованием интерполяционного полинома Лагранжа
Пусть для y=f(x) известны в n+1 точках X0,X1,X2..Xn промежутка (a,b) соответствующие значения f(xi)=yi (i=0,1,2..n). Требуется приближенно найти

По заданным значениям Yi построим полином Лагранжа. Заменим f(x) полиномом Ln(x). Тогда
![]()
где Rn(f) – ошибка квадратурной формулы. Отсюда, воспользовавшись выражением для Ln(x), получаем приближенную квадратурную формулу:

Для вычисления коэффициентов Аi заметим что:
1.коэффициенты Ai при данном расположении узлов не зависит от выбора функции f(x);
2.для полинома степени n последняя формула точная.
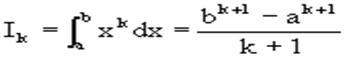
Пологая y=xK (k=0,1,2..,n), получим линейную систему из n+1 уравнений:

где

(k=0,1,..,n), из которой можно определить коэффициенты А0,А1,..,АN.
Определитель системы есть определитель Вандермонда

Заметим, что при применении этого метода фактическое построение полинома Лагранжа Ln(x) является излишним. Простой метод подсчета погрешности квадратурных формул разработан С.М. Никольским.
Теперь рассмотрим несколько простейших квадратурных формул :
1.3 Формула трапеций и средних прямоугольников.
Заменим дугу АВ стягивающей ее хордой, получим прямолинейную трапецию аАВb, площадь которой примем за приближенное значение интеграла

|