Общая теория относительности Эйнштейна
Немецко-швейцарско-американский физик Альберт Эйнштейн родился в Ульме, средневековом городе королевства Вюртемберг (ныне земля Баден-Вюртенберг в Германии), в семье Германа Эйнштейна и Паулины Эйнштейн, урожденной Кох. Вырос он в Мюнхене, где у его отца и дяди был небольшой электрохимический завод. Эйнштейн был тихим, рассеянным мальчиком, который питал склонность к математике, но терпеть не мог школу с ее механической зубрежкой и казарменной дисциплиной. В унылые годы, проведенные в мюнхенской гимназии Луитпольда, Эйнштейн самостоятельно читал книги по философии, математике, научно-популярную литературу. Большое впечатление произвела на него идея о космическом порядке. После того как дела отца в 1895 г. пришли в упадок, семья переселилась в Милан. Эйнштейн остался в Мюнхене, но вскоре оставил гимназию, так и не получив аттестата, и присоединился к своим родным.
Шестнадцатилетнего Эйнштейн поразила та атмосфера свободы и культуры, которую он нашел в Италии. Несмотря на глубокие познания в математике и физике, приобретенные главным образом путем самообразования, и не по возрасту самостоятельное мышление, Эйнштейн не выбрал себе профессию. Отец настаивал на том, чтобы сын избрал инженерное поприще и в будущем смог поправить шаткое финансовое положение семьи. Эйнштейн попытался сдать вступительные экзамены в Федеральный технологический институт в Цюрихе, для поступления в который не требовалось свидетельства об окончании средней школы. Не обладая достаточной подготовкой, он провалился на экзаменах, но директор училища, оценив математические способности Эйнштейна, направил его в Аарау, в двадцати милях к западу от Цюриха, чтобы тот закончил там гимназию. Через год, летом 1896 г., Эйнштейн успешно выдержал вступительные экзамены в Федеральный технологический институт. В Аарау он расцвел, наслаждаясь тесным контактом с учителями и либеральным духом, царившим в гимназии. Все прежнее вызывало у него настолько глубокое неприятие, что он подал официальное прошение о выходе из германского подданства, на что его отец согласился весьма неохотно.
В Цюрихе Эйнштейн изучал физику, больше полагаясь на самостоятельное чтение, чем на обязательные курсы. Сначала он намеревался преподавать физику, но после окончания Федерального института в 1901 г. и получения швейцарского гражданства не смог найти постоянной работы. В 1902 г. Эйнштейн стал экспертом Швейцарского патентного бюро в Берне, в котором прослужил семь лет. Для него это были счастливые и продуктивные годы. Он опубликовал одну работу о капиллярности (о том, что может произойти с поверхностью жидкости, если ее заключить в узкую трубку). Хотя жалованья едва хватало, работа в патентном бюро не была особенно обременительной и оставляла Эйнштейну достаточно сил и времени для теоретических исследований. Его первые работы были посвящены силам взаимодействия между молекулами и приложениям статистической термодинамики. Одна из них – «Новое определение размеров молекул» ("A new Determination of Molecular Dimensions") – была принята в качестве докторской диссертации Цюрихским университетом, и в 1905 г. Эйнштейн стал доктором наук. В том же году он опубликовал небольшую серию работ, которые не только показали его силу как физика-теоретика, но и изменили лицо всей физики.
Одна из этих работ была посвящена объяснению броуновского движения – хаотического зигзагообразного движения частиц, взвешенных в жидкости. Эйнштейн связал движение частиц, наблюдаемое в микроскоп, со столкновениями этих частиц с невидимыми молекулами; кроме того, он предсказал, что наблюдение броуновского движения позволяет вычислить массу и число молекул, находящихся в данном объеме. Через несколько лет это было подтверждено Жаном Перреном. Эта работа Эйнштейна имела особое значение потому, что существование молекул, считавшихся не более чем удобной абстракцией, в то время еще ставилось под сомнение.
В другой работе предлагалось объяснение фотоэлектрического эффекта – испускания электронов металлической поверхностью под действием электромагнитного излучения в ультрафиолетовом или каком-либо другом диапазоне. Филипп де Ленард высказал предположение, что свет выбивает электроны с поверхности металла. Предположил он и то, что при освещении поверхности более ярким светом электроны должны вылетать с большей скоростью. Но эксперименты показали, что прогноз Ленарда неверен. Между тем в 1900 г. Максу Планку удалось описать излучение, испускаемое горячими телами. Он принял радикальную гипотезу о том, что энергия испускается не непрерывно, а дискретными порциями, которые получили название квантов. Физический смысл квантов оставался неясным, но величина кванта равна произведению некоторого числа (постоянной Планка) и частоты излучения.
Идея Эйнштейна состояла в том, чтобы установить соответствие между фотоном (квантом электромагнитной энергии) и энергией выбитого с поверхности металла электрона. Каждый фотон выбивает один электрон. Кинетическая энергия электрона (энергия, связанная с его скоростью) равна энергии, оставшейся от энергии фотона за вычетом той ее части, которая израсходована на то, чтобы вырвать электрон из металла. Чем ярче свет, тем больше фотонов и больше число выбитых с поверхности металла электронов, но не их скорость. Более быстрые электроны можно получить, направляя на поверхность металла излучение с большей частотой, так как фотоны такого излучения содержат больше энергии. Эйнштейн выдвинул еще одну смелую гипотезу, предположив, что свет обладает двойственной природой. Как показывают проводившиеся на протяжении веков оптические эксперименты, свет может вести себя как волна, но, как свидетельствует фотоэлектрический эффект, и как поток частиц. Правильность предложенной Эйнштейном интерпретации фотоэффекта была многократно подтверждена экспериментально, причем не только для видимого света, но и для рентгеновского и гамма-излучения. В 1924 г. Луи де Бройль сделал еще один шаг в преобразовании физики, предположив, что волновыми свойствами обладает не только свет, но и материальные объекты, например электроны. Идея де Бройля также нашла экспериментальное подтверждение и заложила основы квантовой механики. Работы Эйнштейна позволили объяснить флуоресценцию, фотоионизацию и загадочные вариации удельной теплоемкости твердых тел при различных температурах.
Третья, поистине замечательная работа Эйнштейна, опубликованная все в том же 1905 г. – специальная теория относительности, революционизировавшая все области физики. В то время большинство физиков полагало, что световые волны распространяются в эфире – загадочном веществе, которое, как принято было думать, заполняет всю Вселенную. Однако обнаружить эфир экспериментально никому не удавалось. Поставленный в 1887 г. Альбертом А. Майкельсоном и Эдвардом Морли эксперимент по обнаружению различия в скорости света, распространяющегося в гипотетическом эфире вдоль и поперек направления движения Земли, дал отрицательный результат. Если бы эфир был носителем света, который распространяется по нему в виде возмущения, как звук по воздуху, то скорость эфира должна была бы прибавляться к наблюдаемой скорости света или вычитаться из нее, подобно тому как река влияет, с точки зрения стоящего на берегу наблюдателя, на скорость лодки, идущей на веслах по течению или против течения. Нет оснований утверждать, что специальная теория относительности Эйнштейна была создана непосредственно под влиянием эксперимента Майкельсона-Морли, но в основу ее были положены два универсальных допущения, делавших излишней гипотезу о существовании эфира: все законы физики одинаково применимы для любых двух наблюдателей, независимо от того, как они движутся относительно друг друга, свет всегда распространяется в свободном пространстве с одной и той же скоростью, независимо от движения его источника.
Выводы, сделанные из этих допущений, изменили представления о пространстве и времени: ни один материальный объект не может двигаться быстрее света; с точки зрения стационарного наблюдателя, размеры движущегося объекта сокращаются в направлении движения, а масса объекта возрастает, чтобы скорость света была одинаковой для движущегося и покоящегося наблюдателей, движущиеся часы должны идти медленнее. Даже понятие стационарности подлежит тщательному пересмотру. Движение или покой определяются всегда относительно некоего наблюдателя. Наблюдатель, едущий верхом на движущемся объекте, неподвижен относительно данного объекта, но может двигаться относительно какого-либо другого наблюдателя. Поскольку время становится такой же относительной переменной, как и пространственные координаты x, y и z, понятие одновременности также становится относительным. Два события, кажущихся одновременными одному наблюдателю, могут быть разделены во времени, с точки зрения другого. Из других выводов, к которым приводит специальная теория относительности, заслуживает внимание эквивалентность массы и энергии. Масса m представляет собой своего рода «замороженную» энергию E, с которой связана соотношением E = mc2, где c – скорость света. Таким образом, испускание фотонов света происходит ценой уменьшения массы источника.
Релятивистские эффекты, как правило, пренебрежимо малые при обычных скоростях, становятся значительными только при больших, характерных для атомных и субатомных частиц. Потеря массы, связанная с испусканием света, чрезвычайно мала и обычно не поддается измерению даже с помощью самых чувствительных химических весов. Однако специальная теория относительности позволила объяснить такие особенности процессов, происходящих в атомной и ядерной физике, которые до того оставались непонятными. Почти через сорок лет после создания теории относительности физики, работавшие над созданием атомной бомбы, сумели вычислить количество выделяющейся при ее взрыве энергии на основе дефекта (уменьшения) массы при расщеплении ядер урана.
После публикации статей в 1905 г. к Эйнштейну пришло академическое признание. В 1909 г. он стал адъюнкт-профессором Цюрихского университета, в следующем году профессором Немецкого университета в Праге, а в 1912 г. – цюрихского Федерального технологического института. В 1914 г. Эйнштейн был приглашен в Германию на должность профессора Берлинского университета и одновременно директора Физического института кайзера Вильгельма (ныне Институт Макса Планка). Германское подданство Эйнштейна было восстановлено, и он был избран членом Прусской академии наук. Придерживаясь пацифистских убеждений, Эйнштейн не разделял взглядов тех, кто был на стороне Германии в бурной дискуссии о ее роли в первой мировой войне.
После напряженных усилий Эйнштейну удалось в 1915 г. создать общую теорию относительности, выходившую далеко за рамки специальной теории, в которой движения должны быть равномерными, а относительные скорости постоянными. Общая теория относительности охватывала все возможные движения, в том числе и ускоренные (т.е. происходящие с переменной скоростью). Господствовавшая ранее механика, берущая начало из работ Исаака Ньютона (XVII в.), становилась частным случаем, удобным для описания движения при относительно малых скоростях. Эйнштейну пришлось заменить многие из введенных Ньютоном понятий. Такие аспекты ньютоновской механики, как, например, отождествление гравитационной и инертной масс, вызывали у него беспокойство. По Ньютону, тела притягивают друг друга, даже если их разделяют огромные расстояния, причем сила притяжения, или гравитация, распространяется мгновенно. Гравитационная масса служит мерой силы притяжения. Что же касается движения тела под действием этой силы, то оно определяется инерциальной массой тела, которая характеризует способность тела ускоряться под действием данной силы. Эйнштейна заинтересовало, почему эти две массы совпадают.
Он произвел так называемый «мысленный эксперимент». Последуем и мы за этими мыслями ученого. Поместим нашу испытательную лабораторию в кабину лифта. Представим себе, следуя Эйнштейну «огромный лифт в башне небоскреба... Внезапно канат, поддерживающий лифт, обрывается, и лифт свободно падает по направлению к земле. Экспериментатор в свой лаборатории проводит следующий опыт: «вынимает из своего кармана платок и часы и выпускает их из рук». Относительно небоскреба падает лифт с лабораторией, экспериментатор, часы и платок.
Посмотрим, каким путем оба наблюдателя, внутренний и внешний, описывают то, что происходит в лифте.
Внутренний наблюдатель – экспериментатор. Пол лифта медленно начинает уходить из-под ног. Часы с платком медленно движутся вверх относительно экспериментатора. Платок движется вверх быстрее чем часы. Экспериментатор делает вывод: все тела к земле движутся с разным ускорением. Самое большее ускорение у лифта, затем у него самого, после следуют часы и медленнее всех падает платок. Вывод – система неинерциальная.
Внешний наблюдатель. Все четыре тела: лифт, экспериментатор, часы и платок падают с различным ускорением к земле. Его вывод также совпадает с мнением внутреннего наблюдателя – система неинерциальная.
Внутренний и внешний наблюдатель Эйнштейна рассуждает иначе: «Внешний наблюдатель замечает движение лифта и всех тел в нем, и находит его соответствующим закону тяготения Ньютона. Для него движение является не равномерным, а ускоренным, вследствие поля тяготения земли.
Однако, поколение физиков, рожденное и воспитанное в лифте, рассуждало бы совершенно иначе. Оно было бы уверено в том, что оно обладает инерциальной системой, и относило бы все законы природы к своему лифту, заявляя с уверенностью, что законы принимают особенно простую форму в их системе координат. Для них было бы естественным считать свой лифт покоящимся и свою систему координат инерциальной.
Один из друзей Эйнштейна заметил по поводу такой ситуации, что человек в лифте не мог бы отличить, находится ли он в гравитационном поле или движется с постоянным ускорением. Эйнштейновский принцип эквивалентности, утверждающий, что гравитационные и инерциальные эффекты неотличимы, объяснил совпадение гравитационной и инертной массы в механике Ньютона. Затем Эйнштейн расширил картину, распространив ее на свет. Если луч света пересекает кабину лифта «горизонтально», в то время как лифт падает, то выходное отверстие находится на большем расстоянии от пола, чем входное, так как за то время, которое требуется лучу, чтобы пройти от стенки к стенке, кабина лифта успевает продвинуться на какое-то расстояние. Наблюдатель в лифте увидел бы, что световой луч искривился. Для Эйнштейна это означало, что в реальном мире лучи света искривляются, когда проходят на достаточно малом расстоянии от массивного тела.
Общая теория относительности Эйнштейна заменила ньютоновскую теорию гравитационного притяжения тел пространственно-временным математическим описанием того, как массивные тела влияют на характеристики пространства вокруг себя. Согласно этой точке зрения, тела не притягивают друг друга, а изменяют геометрию пространства-времени, которая и определяет движение проходящих через него тел. Как однажды заметил коллега Эйнштейна, американский физик Дж. А. Уилер, «пространство говорит материи, как ей двигаться, а материя говорит пространству, как ему искривляться».
Но в тот период Эйнштейн работал не только над теорией относительности. Например, в 1916 г. он ввел в квантовую теорию понятие индуцированного излучения. В 1913 г. Нильс Бор разработал модель атома, в которой электроны вращаются вокруг центрального ядра (открытого несколькими годами ранее Эрнестом Резерфордом) по орбитам, удовлетворяющим определенным квантовым условиям. Согласно модели Бора, атом испускает излучение, когда электроны, перешедшие в результате возбуждения на более высокий уровень, возвращаются на более низкий. Разность энергии между уровнями равна энергии, поглощаемой или испускаемой фотонами. Возвращение возбужденных электронов на более низкие энергетические уровни представляет собой случайный процесс. Эйнштейн предположил, что при определенных условиях электроны в результате возбуждения могут перейти на определенный энергетический уровень, затем, подобно лавине, возвратиться на более низкий, т.е. это тот процесс, который лежит в основе действия современных лазеров.
Хотя и специальная, и общая теории относительности были слишком революционны, чтобы снискать немедленное признание, они вскоре получили ряд подтверждений. Одним из первых было объяснение прецессии орбиты Меркурия, которую не удавалось полностью понять в рамках ньютоновской механики. Во время полного солнечного затмения в 1919 г. астрономам удалось наблюдать звезду, скрытую за кромкой Солнца. Это свидетельствовало о том, что лучи света искривляются под действием гравитационного поля Солнца. Всемирная слава пришла к Эйнштейну, когда сообщения о наблюдении солнечного затмения 1919 г. облетели весь мир. Относительность стала привычным словом. В 1920 г. Эйнштейн стал приглашенным профессором Лейденского университета. Однако в самой Германии он подвергался нападкам из-за своих антимилитаристских взглядов и революционных физических теорий, которые пришлись не ко двору определенной части его коллег, среди которых было несколько антисемитов. Работы Эйнштейна они называли «еврейской физикой», утверждая, что полученные им результаты не соответствуют высоким стандартам «арийской науки». И в 20-е гг. Эйнштейн оставался убежденным пацифистом и активно поддерживал миротворческие усилия Лиги Наций. Эйнштейн был сторонником сионизма и приложил немало усилий к созданию Еврейского университета в Иерусалиме в 1925 г.
В 1922 г. Эйнштейну была вручена Нобелевская премия по физике 1921 г. «за заслуги перед теоретической физикой, и особенно за открытие закона фотоэлектрического эффекта». «Закон Эйнштейна стал основой фотохимии так же, как закон Фарадея – основой электрохимии»,– заявил на представлении нового лауреата Сванте Аррениус из Шведской королевской академии. Условившись заранее о выступлении в Японии, Эйнштейн не смог присутствовать на церемонии и свою Нобелевскую лекцию прочитал лишь через год после присуждения ему премии.
В то время как большинство физиков начало склоняться к принятию квантовой теории, Эйнштейн все более не удовлетворяли следствия, к которым она приводила. В 1927 г. он выразил свое несогласие со статистической интерпретацией квантовой механики, предложенной Бором и Максом Борном. Согласно этой интерпретации, принцип причинно-следственной связи неприменим к субатомным явлениям. Эйнштейн был глубоко убежден, что статистика является не более чем средством и что фундаментальная физическая теория не может быть статистической по своему характеру. По словам Эйнштейна, «Бог не играет в кости» со Вселенной. В то время как сторонники статистической интерпретации квантовой механики отвергали физические модели ненаблюдаемых явлений, Эйнштейн считал теорию неполной, если она не может дать нам «реальное состояние физической системы, нечто объективно существующее и допускающее (по крайней мере в принципе) описание в физических терминах». До конца жизни он стремился построить единую теорию поля, которая могла бы выводить квантовые явления из релятивистского описания природы. Осуществить эти замыслы Эйнштейну так и не удалось. Он неоднократно вступал в дискуссии с Бором по поводу квантовой механики, но они лишь укрепляли позицию Бора.
Каковы же основные постулаты Общей теории относительности? Рассмотрим их.
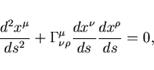
Уравнение движения в гравитационном поле
Тела в гравитационном поле движутся по геодезическим линиям, если на них не действуют другие (негравитационные) силы. Уравнение геодезической линии в искривленном пространстве-времени записывается в виде
(1)

Искривление пространства-времени характеризуется символами Кристофеля. Если все символы Кристофеля равны 0, что соответствует отсутствию гравитационного поля, то уравнение геодезической переходит в уравнение прямой,
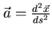
Где
![]()
ускорение тела, то есть мы получаем первый закон Ньютона. В приближении Ньютона геодезическими линиями являются прямые.
Черные дыры
![]() |
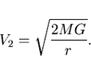
Одним из интересных следствий общей теории относительности является существование черных дыр. Решение уравнений Эйнштейна, в пустоте, в случае изолированного сферически-симметричного источника поля массы называется решением Шварцшильда. В этом случае ускорение свободного падения имеет вид: (2)
где G - гравитационная постоянная, c- скорость света, r- расстояние до источника.
Это выражение отличается от Ньютоновского выражения для ускорения корнем в знаменателе. Величина стремится к бесконечности, когда r стремится к

Эта величина называется гравитационным радиусом (гравитационный радиус Солнца прибл 3 км, гравитационный радиус Земли 0,9 см). Сфера радиуса называется сферой Шварцшильда. Вторая космическая скорость в теории Ньютона дается выражением

(4)
Следовательно, при r = rg величина становится равной скорости света. Если сферическое тело массой m сожмется до размеров, меньших rg, то свет не сможет выйти из под сферы Шварцшильда. Такие объекты получили названия черных дыр (термин "черная дыра" был введен в 1968 г. Дж. Уилером (J.A. Wheeler)).
Теоретическая астрофизика предсказывает возникновение черных дыр в конце эволюции массивных звезд; возможно существование черных дыр и другого происхождения (реликтовые черные дыры -- остатки после "большого взрыва"). На данный момент астрономы наблюдают объекты, которые представляют из себя двойные звездные системы, в состав которых (как предполагается) входят черные дыры.
На протяжении более 80 лет теория Эйнштейна демонстрирует свою необычайную стройность, экономность построения и красоту. На данный момент существует множество экспериментов и наблюдений, подтверждающих правильность общей теории относительности Эйнштейна и не наблюдается физических явлений, противоречащих ей. Следовательно, Общая теория относительности скорее верна чем нет.
Для подготовки данной работы были использованы материалы с сайта http://www.easyschool.ru/
