Математика в живых организмах
Кандидат биологических наук М. БЕРКИНБЛИТ,
кандидат педагогических наук Е. ГЛАГОЛЕВА
Живая природа сделала множество “изобретений”, которые люди поняли и смогли повторить лишь при соответствующем уровне развития науки и техники. Например, принцип эхолокации эффективно используют и дельфины, и летучие мыши, а в технике он появился только в XX веке; поиск добычи по инфракрасному излучению используют многие виды змей, в то время как очки для ночного видения созданы лишь недавно и т. д. До последнего времени бытовало убеждение, что природа не изобрела колеса, что здесь техника пошла своим оригинальным путем. Но оказалось, что жгутики бактерий вращаются в специальных “подшипниках” и, значит, колесо тоже “изобретено” природой еще на самых ранних этапах эволюции. Существует специальная наука — бионика, которая изучает “патенты природы”. Оказывается, что их можно иногда использовать и в “человеческой” технике.
Менее известно, что в живых организмах происходят явления, которые позволяют считать, что природе принадлежит “приоритет” и в создании своеобразных ЭВМ — устройств, производящих операции, весьма сходные с математическими операциями, которые мы склонны считать достижением человеческой науки. Похоже, что здесь повторяется история с изобретением колеса.
О некоторых таких операциях мы и расскажем в этой статье: о том как “считают” нервные клетки, как “логарифмирует” глаз (и зачем ему это понадобилось), как оперирует с векторами и тригонометрическими функциями мозг кошки и обезьяны (и наш с вами тоже). Может быть, кто-нибудь решит, что и изучать эти вещи не надо, раз это дано от природы. А, может быть, некоторые — мы надеемся, что таких будет больше,— захотят узнать о математической и биологической стороне дела.
Как считают нейроны
Первое знакомство с математикой — это счет: “Раз, два, три, четыре, пять, вышел зайчик погулять”. И самым простым кажется и считается натуральное число. Уже отрицательные числа очень медленно входили в математику. Появившись в раннем средневековье у математиков Индии, они лишь в XIII—XIV веках проникают в европейскую науку, встречая там поначалу весьма сдержанное, отношение. Их называют “ложными”, “абсурдными” числами. Но постепенно отрицательные числа доказали свое право на существование и стали привычными не только для специалистов — то, что было “на переднем крае науки” в средние века, сегодня спокойно воспринимают пятиклассники.
А вот в живых организмах, оказывается “все наоборот”: нервной клетке (нейрону) естественно и просто осуществлять операции с положительными и отрицательными действительными “числами”, а для того чтобы “считать” даже до двух, требуется система из нескольких нейронов — примитивный “мозг”.
Как же работает нейрон? Как всякая клетка, нейрон отделен от наружной межклеточной среды особой оболочкой — мембраной. Между внутренним содержимым клетки и наружной средой существует разность потенциалов. Если клетка находится в покое, разность потенциалов на ее мембране не меняется. Эту разность потенциалов в покое естественно принять за нулевой уровень (подобно тому, как приняли за нулевую температуру таяния льда).
На нейрон могут действовать другие нервные клетки — возбуждающие и тормозные. Сигналы, полученные от этих клеток, вызывают изменения разности потенциалов на мембране в двух противоположных направлениях. Когда разные сигналы приходят к нейрону одновременно, они складываются, причем, естественно, с учетом знака, т. е. нейрон суммирует приходящие к нему положительные и отрицательные сигналы; эта сумма может быть положительной или отрицательной.
Интересная особенность работы нейрона состоит в том, что в отличие от технических сумматоров — от древнего абака до ЭВМ — полученную сумму он “помнит” недолго: если внешние воздействия прекратились, то накопленная сумма начинает убывать по абсолютной величине, чтобы нейрон возвратился в состояние покоя (потенциал на мембране стремится к значению, которое мы приняли за нуль).
Такая вроде бы “ненадежность” нейрона связана с тем, что он предназначен не для хранения, а для передачи и преобразования информации : полученный сигнал нейрон передает другим клеткам нервной сети (клеткам-“мишеням” или “адресатам”). По способу передачи сигнала существуют два разных типа нейронов с разными принципами работы: “аналоговые” и “пороговые” нейроны.
Нейрон первого типа действует на клетки-мишени с силой, пропорциональной накопленной сумме, - но только в том случае, когда эта сумма положительна. Когда же сумма отрицательна, то она дальше не передается — нейрон заторможен. Правило преобразования сигналов аналоговыми нейронами описывается формулой
, где х — накопленный потенциал, у — величина переданного сигнала, a k — коэффициент пропорциональности.
Нейроны второго типа работают иначе. Такой нейрон “молчит”, пока сумма воздействий не достигнет некоторой определенной положительной величины — “порога”. Тогда нейрон возбуждается и посылает по своему выходному отростку — аксону — электрический импульс (всегда одной и той же величины), который и действует на клетки-мишени. После возбуждения нейрон некоторое время “отдыхает” — молчит, независимо от того, действуют на него другие клетки или нет, а затем, если к концу отдыха накопленная сумма выше порога, посылает новый импульс. В результате в зависимости от величины входного сигнала, его длительности и в зависимости от характеристик нейрона на выходе получается сигнал в виде серии импульсов постоянной величины, но разной частоты. Таким образом, пороговые нейроны используют совершенно нетривиальный принцип кодирования информации частотой сигнала.
Однако, как и непрерывный выходной сигнал нейронов аналогового типа, изменение частоты несет информацию только о величине входного сигнала, меняющейся непрерывно. В то же время известно, что животные умеют считать (например, выдавать реакцию только на каждый третий стимул). Естественно предположить, что в нервной системе имеются устройства, которые по-разному реагируют, например, на двукратное воздействие и на однократное. То, что известно о принципах работы нейронов, позволяет утверждать: одиночной нервной клетке такая “простая” с человеческой точки зрения операция, как счет, не под силу. Недостаток места не позволяет нам описать устройство из нескольких нейронов, способное выдавать ответ, например, на каждый второй стимул.
Глаза и логарифмы
Зрительные рецепторы, так же, как и другие — слуховые, температурные и т. д., получают сигналы из внешнего мира; они должны передать зрительную информацию в мозг точно и своевременно. Передача сигналов от глаза к мозгу осуществляется нейронами “порогового” типа — аналоговый способ оказывается неприменимым при передаче сигналов на достаточно большие расстояния. А у пороговых нейронов, как уже говорилось, все импульсы совершенно одинаковы, и сведения о величине входного сигнала эти нейроны передают меняя частоту импульсации.
Тут возникает вот какая проблема. Освещенность в сумерках, когда предметы еле видны, отличается от освещенности при ярком солнечном свете примерно в миллиард (т. е. в 109) раз. Максимальная же частота, с которой может работать нейрон — 1000 импульсов в секунду. Легко сообразить, что нельзя передавать информацию, меняя частоту работы нейрона пропорционально освещенности: если при ярком свете частота импульсов будет максимальной (1000 имп/с), то при уменьшении освещенности в миллион раз сигнал будет поступать всего один раз в 15 минут. Но за это время он совершенно потеряет свою актуальность!
Но может быть, разумно такое устройство зрительной системы, когда разные ее элементы, разные нейроны работают каждый в своем диапазоне освещенности: одни в сумерки, другие в пасмурный день, третьи на ярком солнце. Простой подсчет показывает, что если принять за нижнюю границу частоты работы нейрона, необходимой для достаточно своевременной передачи информации, 1 имп/с, то для охвата диапазона изменения освещенности в миллиард раз потребуется миллион нейронов — и это без всякого “запаса” прочности, без дублирования их работы! Но главное вот что: в каждый момент будет работать только одна клетка из миллиона, а остальные 999 999 будут “даром есть хлеб”: ведь в отличие от технических, живые “механизмы” потребляют энергию (свой “бензин”) не только во время работы. А экономия энергии в живой природе — одно из главных условий выживания.
Итак, линейная зависимость между входными и выходными сигналами в случае глаза оказывается нецелесообразной. И действительно, в природе в этом случае используется другая функция, по школьным меркам довольно сложная.
Экспериментально это было установлено в 1932 году английским ученым X.Харлайном. На рисунке 1 приведены результаты его исследования. Он регистрировал нервные импульсы, идущие по одиночному нервному волокну от глаза к мозгу, у мечехвоста (морского членистоногого, похожего на вымерших трилобитов). На графике показана зависимость частоты импульсации от яркости света.
“Но позвольте! — скажете вы.— На графике прямая линия — значит, это линейная функция”. Не торопитесь, вглядитесь в шкалу на горизонтальной оси, она ведь неравномерна, нелинейна: при сдвиге на одно деление аргумент (яркость) меняется не на одну и ту же величину, а в одно и то же число раз.
При линейной зависимости равным приращениям аргумента соответствуют равные приращения функции, или, что то же самое, линейная зависимость переводит арифметическую прогрессию значений аргумента в арифметическую же прогрессию значений функции. Когда мы имеем дело с показательной функцией у=ах, то равным приращениям аргумента соответствует равномерный относительный прирост функции. Например, при постоянных условиях обитания и неограниченных ресурсах так растет численность какой-либо популяции: число особей за каждый год увеличивается на 10%, т. е. в 1,1 раза. Другими словами, показательная функция “переводит” арифметическую прогрессию в геометрическую. На нашем графике ситуация обратная: частота импульсации нейрона меняется на одну и ту же величину, когда воздействие меняется в одно и то же число раз. Значит, мы имеем дело с функцией, обратной к показательной, т.е. с логарифмической; иными словами, нейроны глаза мечехвоста превращают геометрическую прогрессию раздражений в арифметическую прогрессию сигналов.
Это свойство зрительных рецепторов, выработавшееся в ходе эволюции, позволяет глазу работать эффективно и экономно, обеспечивает возможность хорошо воспринимать контраст. Пусть светлый и темный предметы различаются по способности отражать свет в десять раз. Тогда и на ярком солнце, и в сумерках светлый предмет будет отражать в десять раз больше света, чем темный. Поэтому сравнительная яркость этих предметов не меняется; не меняется и расстояние между соответствующими точками на оси абсцисс. А это означает, что разница частот работы рецепторов, на которые падает свет от этих двух предметов, будет оставаться неизменной при разных освещенностях. Так что “умение логарифмировать” позволяет глазу не только работать в широком диапазоне освещенностей, но и при малой освещенности различать предметы, абсолютная разность освещенностей которых очень мала.
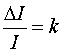
Интересно, что описанная зависимость между внешним сигналом (раздражением) и сигналом, воспринимаемым мозгом (ощущением), первоначально была обнаружена психологами. Сделал это французский ученый П. Бугер еще в XVIII веке. В начале XIX века немецкий физиолог и психолог Э. Вебер детально изучил связь между раздражением и ощущением. Он выяснял, как нужно изменить какой-то раздражитель, чтобы человек заметил это изменение. Оказалось, отношение изменения величины раздражителя к его первоначальному значению есть величина постоянная:
, где I — мера раздражителя,
— прирост раздражителя, a k — константа Вебера.
Константа Вебера зависит от того, какой рецептор раздражается. Например, при восприятии веса k=1/30. Это значит, что, когда человек держит груз в 100 г, он замечает его изменение при увеличении веса на 3,4 г, а для груза в 200 г требуется прибавка в 6,7 г. Для высоты звука константа Вебера равна 0,003, для громкости звука — 0,09 и т. д.
Исходя из экспериментов Вебера, другой немецкий физиолог и психолог Г. Фехнер сформулировал знаменитый закон Вебера — Фехнера:
Ощущения растут в арифметической прогрессии, когда раздражение растет в геометрической прогрессии.
Этот закон был опубликован в книге Фехнера “Элементы психофизики” в 1859 году. Там же было приведено и математическое выражение закона:
,
где Е — мера ощущения, а и b — константы, I — мера раздражения.
Зачем кошке векторы?
Слово “вектор”, можно сказать, совсем “младенец” — по-видимому, оно появилось впервые в работе английского математика У. Гамильтона в 1845 году. Но соответствующее понятие использовалось в физике еще за несколько столетий до этого в связи с рассмотрением закона сложения сил (“правила параллелограмма”). Про векторы же в организме животных мы узнали только в самые последние годы.

Началось с кошек. В 1988 году канадский ученый Дж. Макферсон выполнила интересную работу. Она ставила кошку на специальную платформу, толкала эту платформу в каком-нибудь направлении и смотрела, каким образом кошка сохраняет равновесие. Допустим, она толкнула платформу вперед. Ноги кошки вместе с платформой стали уходить вперед, а тело остается на месте. Тогда кошка, чтобы возвратить центр тяжести в правильное положение над точками опоры активирует мышцы лап и, отталкиваясь от платформы, двигает тело вперед. Если платформу толкнуть вправо, центр тяжести отклонится влево по отношению к опоре и лапы должны создать силу, направленную вправо, и т.д.
Как же происходит эта работа лап при сохранении равновесия
Самое естественное — это предположить, что каждая из двух задних лап при толчке вперед создает силу, направленную вперед; сумма этих двух сил и восстанавливает правильное положение тела (рис. 2, а). Если платформу толкнули вправо, каждая лапа создает силу, направленную вправо, и т. д. Такая гипотеза согласуется с тем, что у кошки есть мощные мышцы, которые двигают лапу вперед или назад — они используются для ходьбы и прыжков, а также мышцы, отводящие лапу наружу или по направлению к оси тела. Однако, когда Макферсон стала выяснять, что происходит на самом деле, оказалось, что картина совершенно другая: при толчке платформы, независимо от направления движения, задние лапы кошки создают силы, направленные вдоль двух прямых (каждая лапа — вдоль своей), расположенных примерно под углом 45° к оси тела. Даже в простейшем случае, когда платформу толкают прямо вперед, силы, создаваемые лапами, направлены не вперед, а тоже под углом 45° к оси тела (снова см. рис. 2, а). И только их сумма имеет нужное направление и величину. На рисунке 2, б показано, как получается сила, направленная перпендикулярно телу, а на рисунке 2, в — сила, направленная под углом 30° к оси тела.
Значит, нервная система кошки решает следующую задачу. При толчке платформы по информации, полученной от разных рецепторов, определяется, какой вектор (силу) нужно получить, затем этот вектор раскладывается по фиксированным осям координат. При таком способе получается, что каждой из двух задних лап нужно передать всего одно число — координату вектора силы (положительную или отрицательную), которую должна создать эта лапа вдоль своей фиксированной оси.
Получается очень экономная схема. Но жизнь так полна неожиданностей! Разбираясь в том, какими мышцами создается это фиксированное направление (казалось бы, чего проще: использовать для единичного вектора одного направления мышцы, двигающие ногу вперед и внутрь, а для создания другого — назад и наружу, а дальше менять пропорционально силу, развиваемую этими мышцами,— “умножать на число”, и все в порядке), Макферсон получила еще один неожиданный результат. Оказалось, что в создании “единичного” вектора могут участвовать разные мышцы, их сочетание меняется в зависимости от направления толчка. В чем смысл такого, с нашей точки зрения, усложненного решения, еще выяснять и выяснять. Однако здесь проявляется общий принцип живого: избегать жестких схем, иметь всегда избыток “степеней свободы”, словом, плюрализм.
Векторы в мозгу обезьяны и человека
Трудности в выяснении вопроса о том, как на самом деле происходит решение той или иной задачи, связаны с тем, что заглянуть в “управляющий центр” — в мозг — очень трудно. В этом смысле мозг пока что во многом “черный ящик”: можно видеть, какая задача ему предложена, можно видеть, какой он выдает результат,— а вот что происходит внутри, об этом сведений еще очень и очень мало.
Тем более интересна и важна работа, которая позволила почти непосредственно увидеть, как идет работа мозговых нейронов при решении некоторых задач. Эту работу совсем недавно выполнил американский ученый А. Георгопулос. Он экспериментировал с дрессированными обезьянами. Лапа обезьяны помещалась в некоторой точке стола, а в различных точках стола помещались электрические лампочки. Обезьяну научили при вспышке какой-нибудь лампочки двигать лапу по направлению к этой лампочке. В это время экспериментатор регистрировал с помощью вживленных электродов активность (частоту импульсации) нервных клеток коры больших полушарий в той ее зоне, которая управляет движениями этой лапы.
Оказалось, что активность большинства клеток этой зоны мозга зависит от направления движения лапы; и эта зависимость достаточно четкая: для каждой из клеток существует такое направление движения, при котором активность максимальна; при других направлениях активность уменьшается примерно как косинус угла между данным направлением максимальной активности. Для тех направлений, для которых косинус отрицателен, клетка вообще перестаёт импульсировать.
Получается, что с каждой клеткой коры связан определенный вектор максимальной активности Аmax (рис. 3). Когда нужно двигать лапу по другому направлению, т. е. задан некоторый единичный вектор направления e, клетка находит проекцию Аmax на это направление, т. е. “вычисляет” скалярное произведение Аmax.е. Выяснив это, Георгопулос поставил обратную задачу: нельзя ли, регистрируя работу нервных клеток, определить направление движения лапы. Математически эта задача может быть сформулирована как вопрос о существовании функции, обратной к заданной. Ясно, что по активности одной клетки направление движения определить нельзя: во-первых, косинус — функция четная, и в том промежутке, который нас интересует, не имеет обратной. Действительно, если, например, направление максимальной активности — это прямо вперед, а активность нейрона составляет половину максимальной, то известно, что лапа движется под углом 60° к преимущественному направлению, но вправо или влево от него — определить невозможно. Во-вторых, у одной клетки слишком велика “мертвая зона” — зона, когда она вообще молчит. Но если регистрировать несколько клеток, то можно успешно определить направление, в котором движется лапа (и даже предсказать, в каком направлении она будет двигаться, так как клетки начинают работать за десятую долю секунды до того, как лапа начинает двигаться). Представляем читателю самостоятельно решить такую задачу: какое минимальное число клеток требуется для того, чтобы уверенно определять направление движения во всех случаях? (Конечно, мы даем эту задачу, так сказать, в математической формулировке, которая, как всегда, упрощает ситуацию — как и мы ее упрощаем в нашем рассказе.)
То, что по активности нейронов можно не только установить, куда движется лапа, но и предсказать, куда обезьяна еще только собирается двигать ее, т. е. как бы подсмотреть мысль о движении, позволило Георгопулосу сделать еще одну, очень красивую работу.
Еще в 1971 году американские психологи Р. Шепард и Дж. Метцлер обнаружили явление, которое они назвали “мысленным вращением”. В экспериментах испытуемым показывали две фигуры и спрашивали: это разные фигуры или одна и та же, но повернутая на некоторый угол? Время ответа оказалось линейной функцией величины угла поворота одной фигуры относительно другой.
В другом варианте эксперимента попеременно показывали букву R или ее зеркальное отражение — букву Я; надо быстро определить, какая это буква. При этом букву показывали в разных положениях. И здесь время ответа было пропорционально углу поворота буквы относительно “нормального” положения.
Ученые предположили, что человек в таком эксперименте мысленно вращает образ воспринимаемой фигуры (а по ряду психологических экспериментов, скорее, эталон фигуры, хранимый в памяти) с постоянной угловой скоростью и даже определили эту скорость. Получилось 450o/с. Однако такими экспериментами невозможно доказать гипотезу “мысленного вращения”, так как остается неизвестным, что же происходит в действительности в головах испытуемых.
Георгопулос, обретя возможность “подглядывать” за работой нейронов мозга обезьяны, получил в 1989 году данные, которые делают гипотезу о мысленном вращении более обоснованной.
Теперь обезьяну научили тянуть лапу не к той лампочке, которая горит, а к той, которая находится под углом 90° к ней. Экспериментаторы смогли узнать, что происходит в мозгу обезьяны от момента, когда зажглась лампа, до начала движения лапы. Оказалось, что после вспышки вектор направлен прямо на лампочку, затем начинает вращаться и, когда повернется на 90°, начинается движение лапы. Скорость вращения вектора оказалась равной примерно 730°/с, т. е. была того же порядка, что и в психологических опытах с человеком.
Таким образом, как показывают эти эксперименты, мозг может производить и геометрические преобразования (на самом деле, не только повороты, но, видимо, и многие другие, например преобразования подобия).
Сделаем еще один намек на математические способности мозга. Сейчас бурно развивается параллельное программирование. Но когда человек берет предмет, он одновременно управляет работой и плеча, и локтя, и пальцев, осуществляя самое настоящее параллельное программирование.
Заключение
Итак, в живых организмах идут процессы переработки, передачи информации и использование ее в целях управления. Эволюция постепенно находит удачные формы обработки информации, и эти формы имеют немалое сходство с математическими операциями. Такие ухищрения эволюции мы и назвали “математикой в живых организмах”.
Это действительно ЭВМ, так как действия этих устройств основаны на электрических явлениях в организме.
Как возникают эти сдвиги потенциала, вы можете прочитать в книге "Электричество в живых организмах" ("Библиотечка "Квант" выпуск 69).
Кстати, у мечехвоста нет зрачка, и, значит, нет диафрагмы. Впрочем, даже учёт эффекти диафрагмы не спасает положения, изменяя освещённость всего на 1-2 порядка.
Выяснилось, что при восстановлении положения центра тяжести у кошки передние лапы используются как пассивные подпорки. Активно работают именно задние лапы.
Пропорциональность частоты работы нервных клеток косинусу того или иного угла была известна и до работы Георгопулоса. Например, еще в 1981 году в стволе мозга были обнаружены нейроны, связанные со “скачками” глаз: их активность менялась в зависимости от направления скачка глаза по закону косинуса.
Для подготовки данной работы были использованы материалы с сайта http://www.promeco.h1.ru/l