Характеристика запасов на промышленных предприятиях
На уровне фирм запасы относятся к числу объектов, требующих больших капиталовложений, и поэтому представляют собой один из факторов, определяющих политику предприятия и воздействующих на уровень логистического обслуживания в целом. Однако многие фирмы не уделяют ему должного внимания и постоянно недооценивают свои будущие потребности в наличных запасах. В результате этого фирмы обычно сталкиваются с тем, что им приходится вкладывать в запасы больший капитал, чем предполагалось.
Изменения объема товарно-материальных запасов в значительной степени зависят от превалирующего на данный момент отношения к ним предпринимателей, которое, безусловно, определяется конъюнктурой рынка. Когда основная масса предпринимателей настроена оптимистично относительно возможностей экономического роста, они расширяют свои операции, увеличивают объем инвестиций в создание запасов. Тем не менее колебания уровней последних не вызываются одним лишь инвестированием. Важными факторами выступают здесь качество принимаемых решений, а также то, какая конкретно технология управления запасами используется.
Уменьшение запасов сокращает расходы по их содержанию, снижает издержки, ускоряет оборачиваемость оборотных средств, что в конечном счете повышает прибыль и рентабельность производства. Поэтому очень важно оптимизировать величину запасов.
Управление производственными запасами на предприятии предполагает выполнение следующих функций:
разработку норм запасов по всей номенклатуре потребляемых предприятием материалов;
правильное размещение запасов на складах предприятия;
организацию действенного оперативного контроля за уровнем запасов и принятие необходимых мер для поддержания нормального их состояния;
создание необходимой материальной базы для размещения запасов и обеспечения количественной и качественной их сохранности.
1. Понятие и категории товарно-материальных запасов. Издержки, связанные с запасами.
1.1. Понятие производственных запасов.
Своевременное обеспечение производства материальными ресурсами зависит от величины и комплектности производственных запасов на складах предприятия.
Производственные запасы - средства производства, поступившие на склады предприятия, но еще не вовлеченные в производственный процесс. Создание таких запасов позволяет обеспечивать отпуск материалов в цехи и на рабочие места в соответствии с требованиями технологического процесса. На создание запасов отвлекается значительное количество материальных ресурсов.
Товарно-материальные запасы всегда считались фактором, обеспечивающим безопасность системы материально-технического снабжения, ее гибкое функционирование, и являлись своего рода «страховкой». Существует 3 вида товарно-материальных запасов:
сырье, материалы (в том числе комплектующие изделия и топливо);
товары, находящиеся на стадии изготовления;
3) готовая продукция для обеспечения производства продукции партиями оптимального размера; удовлетворения ожидаемого спроса; компенсации отклонений фактического спроса от прогнозируемого (гарантийного) запаса.
Таким образом, существует много причин для создания товарно-материальных запасов на фирмах, но общим для них является стремление субъектов производственной деятельности к экономической безопасности. При этом следует отметить, что стоимость создания запасов и неопределенность условий сбыта не способствуют возрастанию значимости дорогостоящей резервной сети «безопасности» в глазах руководства фирм, т.к. противоречат повышению эффективности производства.
1.2. Издержки, связанные с производственными запасами.
Одним из сильнейших стимулов к созданию запасов является стоимость их отрицательного уровня (дефицита). При наличии дефицита запасов существуют следующие виды издержек:
издержки в связи с невыполнением заказа (задержкой с отправкой заказанного товара) - дополнительные затраты на продвижение и отправку товаров того заказа, который нельзя выполнить за счет имеющихся товарно-материальных запасов;
издержки в связи с потерей сбыта - в случаях, когда постоянный заказчик обращается за данной покупкой в другую фирму (измеряются в показателях выручки, потерянной из-за неосуществления торговой сделки);
издержки в связи с потерей заказчика - когда отсутствие запасов оборачивается не только потерей той или иной торговой сделки, но и тем, что заказчик начинает постоянно искать другие источники снабжения (издержки измеряются в показателях общей выручки, которую можно было бы получить от реализации всех потенциальных сделок заказчика с фирмой).
издержки по закупкам - издержки по оформлению заказа; по оформлению договора о поставках и коммуникации с поставщиками; транспортные издержки, если стоимость транспортировки не входит в стоимость получаемого товара; издержки по складированию и получению заказа. Некоторые из них фиксируются в заказе и не зависят от его объема, другие, например, транспортные и складские издержки, находятся в прямой зависимости от величины заказа.
издержки по содержанию запаса определяются затратами на складское хранение продукции в течение известного времени и зависят от объема складируемой продукции. Сюда относятся складские издержки и рентные платежи, если помещение арендуется, или текущие затраты по содержанию складов, принадлежащих производственной единице. К данному виду издержек относятся капитальные, страховые и налоговые издержки. Страховые запасы поддерживаются как защита от потерь запасов на случай пожара и краж. Запасы облагаются налогами по состоянию на день оценки. Этот уровень не всегда отражает действительное содержание запасов. К этой же группе издержек относятся потери от разрушения и порчи запасов.
издержки в результате отсутствия продукции несет изготовитель, если он не может удовлетворить спонтанно возникший спрос из-за отсутствия продукции на складе. Эти потери могут быть 2 видов:
• стоимость потерянных продаж, когда заказчик передает свой заказ другому изготовителю. Издержки определяются как потери прибыли от предполагаемых затрат;
• когда заказчик ожидает выполнения заказа. Продажи не потеряны, а отложены. Однако ожидание может создать дополнительные затраты на оформление заказа, транспортные и складские расходы, когда заказ не может быть выполнен через обычные каналы распределения. Определить эти издержки не составляет труда.
Стоимость дефицита запасов больше, чем просто цена упущенных торговых сделок или нереализованных заказов. В нее входят и потери времени на изготовление продукции, и потери рабочего времени, и возможно, потери времени из-за дорогостоящих перерывов в производстве при переходах между сложными технологическими весами.
1.3. Категории производственных запасов.
В зависимости целевого назначения запасы подразделяются на следующие категории:
технологические (переходные) запасы;
текущие (циклические) запасы;
резервные (страховые, или «буферные»).
Технологические и переходные запасы.
В любой момент времени в системе материально-технического снабжения обычно имеются определенные запасы, движущиеся из одной части этой системы в другую. В тех случаях материально-технического снабжения, когда перемещение запасов с одного уровня на другой занимает много времени, объем переходных запасов будет велик. При длительных сроках реализации заказов (например, при больших промежутках времени между изготовлением товара и его прибытием в готовом виде на склад) общее количество технологических запасов окажется большим. Точно так же при больших временных интервалах между моментом выхода товара со склада и моментом его учения заказчиком будет накапливаться значительное количество переходных запасов. К примеру, при среднем уровне спроса на данный товар, равном 200 изделий в неделю, и сроке его поставки заказчику, равном двум неделям, общий объем переходных запасов этого товара составит 400 изделий.
Для оценки среднего количества технологических или переходных товарно-материальных запасов в системе материально-технического обеспечения используется следующая формула:
J = S T,
J - общий объем технологических или переходных (находящихся в процессе транспортировки) товарно-материальных запасов;
S - средняя норма продаж этих запасов на тот или иной период времени;
Т - среднее время транспортировки.
Запасы объемом в одну партию товара (циклические) запасы.
Товары заказываются в количествах, избыточных по отношению к необходимым на данный момент объемам. Этому есть ряд причин: задержка с получением заказанных товаров в полном объеме, что вынуждает заказчиков (в особенности посредников хранить какое-то время те или иные товары на складе; скидки, предоставляемые заказчикам при продаже им товаров крупными партиями; налогообложение торговых сделок с минимальным разном партий, делающее невыгодной отправку заказчику товаров в количествах меньше установленного размера, и некоторые другие.
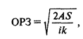
При этом существуют определенные ограничения на размер товарно-материальных запасов. Ограничителем выступают издержки их хранения. Поэтому возникает необходимость достижения баланса между преимуществами и недостатками, с одной стороны, заказывания, а с другой - хранения товаров. Этот баланс достигается выбором оптимального объема партий заказанных товаров, или определением экономического (оптимального) размера заказа (ЕОQ), который вычисляется по формуле:
![]()
А — затраты на производство,
D — средний уровень спроса,
v — удельные затраты на производство,
r — затраты на хранение.
Резервные («буферные») товарно-материальные запасы.
Служат «аварийным» источником снабжения в тех случаях, когда спрос на данный товар превышает ожидания. На практике спрос на товары удается точно спрогнозировать чрезвычайно редко. Это же относится и к точности предсказания сроков реализации заказов. Отсюда и необходимость в создании резервных товарно-материальных запасов.
В определенной степени услуги, предлагаемые той или иной компанией, представляют собой функцию ее резервных запасов, и наоборот резервные запасы компании являются функцией ее услуг. Компания будет пытаться минимизировать уровень своих резервных запасов в соответствии с декларированной ею стратегией обслуживания заказчиков. И здесь опять возникает необходимость компромисса между издержками хранения резервных запасов, предназначенных для приспособления к неожиданным колебаниям спроса, и выгодами, получаемыми компанией при поддержании такого уровня обслуживания своих клиентов.
Следовательно, определение точного уровня необходимых резервных запасов зависит от трех факторов, а именно:
1) возможного колебания сроков восстановления уровня запасов,
2) колебания спроса на соответствующие товары на протяжении срока реализации заказа,
3) осуществляемой данной компанией стратегии обслуживания заказчиков.
Определить точный уровень резервных запасов, необходимых в условиях нестабильности сроков реализации заказов и изменчивого спроса на товары и материалы нелегко. Для нахождения удовлетворительных решений проблем, связанных с резервными товарно-материальными запасами, необходимо соответствующее моделирование или имитация.
Поскольку на фирмах различных отраслей экономики создание товарно-материальных запасов определяется той специфической ролью, которую они играют в процессе выпуска продукции, объяснимы и различия в подходах к политике капиталовложений в данной области и к определению приоритетности задач, решаемых в ходе производства. На фирмах некоторых отраслей народного хозяйства основной задачей является контроль за сырьем, на предприятиях других - контроль за готовой продукцией, а на предприятиях отраслей, производящих инвестиционные товары, большая часть организационных усилий концентрируется на контроле за незавершенным производством.
Так, фирмы, выпускающие железнодорожный подвижной состав, производят эту продукцию по заказам потребителя. Никто не станет просто так создавать запасы, например, дизельных двигателей. В швейной промышленности создаются лишь минимальные запасы готовой продукции, что объясняется непостоянством вкусов и моды. В последнем случае значительная часть средств вкладывается в незавершенное производство - полуфабрикаты, которые заготовляются для того, чтобы быстро отреагировать на изменение потребностей рынка изделий.
Многие из фирм, функционирующих в различных отраслях экономики, успешно осуществляют инвестиции в товарно-материальные запасы. В то же время на большом количестве фирм бытует мнение, что управление запасами является сферой ответственности низшего уровня руководства - задачей технического порядка. Вместе с тем американские специалисты, пришли к выводу, что если бы типичная не преуспевающая фирма делала то же самое, что и преуспевающая, то ей бы удалось добиться ускорения оборачиваемости товарных запасов в два раза, т. е. при одном и том же товарообороте она смогла бы сократить запасы на 50%.
Коэффициенты оборачиваемости капитала характеризуются изменчивостью и существенно отличаются не только у преуспевающих и убыточных компаний, но и у фирм различного типа. Последнее объясняется спецификой структуры издержек в отраслях народного хозяйства, сезонными колебаниями сбыта, правилами конкурентной борьбы, принятыми в той или иной отрасли экономики, уровнем рентабельности, стилем руководства предприятиями и характером деловых операций. Таким образом, перечисленные обстоятельства следует отнести к весьма важным факторам, оказывающим серьезное влияние на эффективность политики любой фирмы в области создания и реализации запасов.
2. Виды производственных запасов.
Из определения понятия «запасы» можно сделать следующие выводы:
1. Не существует принципиального различия в процессе работы с запасами продуктов различного вида (сырье, материалы, комплектующие, готовая продукция), так как единственная функция запаса - обеспечение потребности.
2. Определяющим для размера запаса является характер потребления запаса продукта данного вида.
3. Вид запаса зависит от потребности, которую удовлетворяет запас.
Первый вывод связан с критерием классификации по месту нахождения запаса. Второй - с критерием классификации по времени, который позволяет выделить различные виды запасов в зависимости от их величины. Третий вывод позволяет добавить еще один критерий классификации - функцию запаса. Итак, критериями классификации запасов могут быть два параметра движения материальных потоков - пространство (или место нахождения) и время, а также функция запаса (рис. 6).

Рис. 1. Критерии классификации запасов.
2.1. Классификация по месту нахождения.
Один из ее вариантов приведен на рис. 2. Все запасы, имеющиеся в экономике, определены как совокупные. Они включают в себя сырье, материалы (основные и вспомогательные), полуфабрикаты, детали, готовые изделия, а также запасные части для ремонта средств производства. Основная часть совокупных запасов производства - предметы производства, входящие в материальный поток на различных стадиях его технологической переработки.
Совокупные запасы производства, как видно из рис. 2, подразделяются на 2 вида: производственные и товарные запасы. Производственные запасы формируются в организациях-потребителях. Товарные запасы находятся у организаций-изготовителей на складах готовой продукции, а также в каналах сферы обращения. Запасы в каналах сферы обращения разбиваются на запасы в пути и запасы на предприятиях торговли. Запасы в пути (транспортные) находятся на момент учета в процессе транспортировки от поставщиков к потребителям.
Каждая отдельная организация в логистической цепочке поставщиков и потребителей является, с одной стороны, организацией-поставщиком, а с другой - организацией-потребителем (рис.11). Следовательно, производственные и товарные запасы всегда имеются на предприятии.

Рис. 2. Виды запасов по месту нахождения и исполняемой функции.
2.2. Классификация по исполняемой функции.
Позволяет расчленить производственные и товарные запасы на несколько групп (рис. 7). В то же время производственные и товарные запасы имеют свои специфические функции. Производственные запасы предназначены для производственного потребления. Они должны обеспечивать бесперебойность производственного процесса. Производственные запасы учитываются в натуральных, условно-натуральных и стоимостных измерителях. К ним относятся предметы труда, поступившие к потребителю различного уровня, но еще не использованные и не подвергнутые переработке. Товарные запасы необходимы для бесперебойного обеспечения потребителей материальными ресурсами.
Производственные и товарные запасы подразделяются на текущие, подготовительные, страховые, сезонные и переходящие (рис.2). Текущие запасы обеспечивают непрерывность снабжения производственного процесса между двумя поставками, а также организаций торговли и потребителей. Текущие запасы составляют основную часть производственных и товарных запасов, их величина постоянно меняется. Подготовительные запасы (буферные) выделяются из производственных запасов при необходимости дополнительной их подготовки перед использованием в производстве (например, сушка леса). Подготовительные запасы товарных средств производства формируются при необходимости подготовить материальные ресурсы к отпуску потребителям. Гарантийные запасы (страховые) предназначены для непрерывного снабжения потребителя в случае непредвиденных обстоятельств: отклонения в периодичности и величине партий поставок от запланированных, изменения интенсивности потребления, задержки поставок в пути. В отличие от текущих запасов размер гарантийных запасов - величина постоянная. При нормальных условиях работы эти запасы неприкосновенны. Сезонные запасы образуются при сезонном характере производства продуктов, их потребления или транспортировки. Сезонные запасы должны обеспечить нормальную работу после организованного времени сезонного перерыва в производстве, потреблении или транспортировке продукции. Переходящие запасы - остатки материальных ресурсов на конец отчетного периода. Они предназначаются для обеспечения непрерывности производства и потребление в отчетном и следующем за отчетным периоде до очередной поставки.
2.3. Классификация по времени.
Позволяет выделить различные количественные уровни запасов. Их соотношение показано на рис. 3.

Рис. 3. Виды запасов по времени учёта.
Максимальный желательный запас определяет уровень запаса, экономически целесообразный в данной системе управления запасами. Этот уровень может превышаться. В различных системах управления максимальный желательный запас используется как ориентир при расчете объема заказа.
Пороговый уровень запаса используется для определения момента времени выдачи очередного заказа.
Текущий запас соответствует уровню запаса в любой момент учета. Он может совпасть с максимальным желательным запасом, пороговым уровнем или гарантийным запасом.
Гарантийный запас аналогичен гарантийному запасу в классификации по исполняемой функции и предназначен для непрерывного снабжения потребителя в случае непредвиденных обстоятельств.
Можно также выделить неликвидные запасы - длительно неиспользуемые производственные и товарные запасы. Они образуются вследствие ухудшения качества товаров во время хранения, а также морального износа. Это единственный вид запаса, который не соответствует определенным выше критериям.
3. Нормирование производственных запасов.
Нормирование производственных запасов - определение их минимального размера по видам материальных ресурсов для бесперебойного обеспечения производства. При нормировании производственных запасов сначала определяются нормы производственных запасов в днях, а затем в натуральном и денежном выражении.
Норма запаса в днях устанавливается на основе следующих данных.
1. Нахождение материалов в пути (транспортный запас Нтр). Определяется как разница между временем пробега груза от поставщика к потребителю и временем оборота платежных документов.
2. Приемка, разгрузка, складирование и анализ качества поступающих материалов (подготовительный запас Нп). Определяется на основе расчетного или фактического времени за отчетный период, скорректированного с учетом организационно-технических мероприятий по механизации погрузо-разгрузочных работ.
3. Технологическая подготовка материалов к производству (технологический запас Нт). Образуется в том случае, если до начала производства требуется предварительная обработка материалов (сушка древесины на мебельных фабриках). Определяется на основе нормативов времени для данных операций.
4. Пребывание материалов на складе (текущий запас Нтек). Удовлетворяет текущую потребность производства, обеспечивает ритмичную работу между очередными поставками материалов. Определяется умножением среднесуточной нормы потребления материала на плановый кратный интервал между двумя очередными поставками.
5. Резерв на случай перебоев в снабжении и увеличения выпуска продукции (страховой или гарантийный запас Нс). Характеризуется относительно постоянной величиной и восстанавливается после получения очередной партии материалов. Норматив страхового запаса материалов определяется по интервалу отставания поставок или по фактическим данным о поступлении материалов.
Общая норма производственных запасов по видам материальных ресурсов в днях определяется суммированием указанных видов запасов:
![]()
Норматив производственных запасов в натуральном выражении по каждому виду материальных ресурсов Ннат. определяет произведение норматива в днях на их однодневный расход Мдн в натуральном выражении:
![]()
Норматив в денежном выражении Ндн., т.е. норматив собственных оборотных средств на сырье, основные материалы, покупные полуфабрикаты, определяется произведением стоимости однодневного расхода сырья, основных материалов я полуфабрикатов (См) на норматив в днях.
![]()
Стоимость однодневного расхода См определяется путем умножения среднедневного расхода в натуральном выражении на цену материальных ресурсов, включая заготовительные расходы и стоимость отходов Ц по плановым нормам.
4. Основные системы управления запасами.
Логистическая система управления запасами проектируется с целью непрерывного обеспечения потребителя каким-либо видом материального ресурса. Реализация этой цели достигается решением следующих задач:
учет текущего уровня запаса на складах различных уровней, (рис. 12, 13)
определение размера гарантийного (страхового) запаса (рис.12),
расчет размера заказа,
определение интервала времени между заказами.
Когда отсутствуют отклонения от запланированных показателей и запасы потребляются равномерно, в теории управления запасами разработаны 2 основные системы управления, которые решают поставленные задачи, соответствуя цели непрерывного обеспечения потребителя материальными ресурсами. Такими системами являются:
1) система управления запасами с фиксированным размером заказа;
2) система управления запасами с фиксированным интервалом времени между заказами.
4.1. Система с фиксированным размером заказа.
Основополагающий параметр системы - размер заказа. Он зафиксирован и не меняется ни при каких условиях работы системы. Определение размера заказа является первой задачей, которая решается при работе с данной системой управления запасами.
В отечественной практике зачастую возникает ситуация, когда размер заказа определяется по каким-либо частным организационным соображениям. Например, удобство транспортировки или возможность загрузки складских помещений. Между тем в системе с фиксированным размером заказа объем закупки должен быть не только рациональным, но и оптимальным, т.е. самым лучшим. Поскольку мы рассматриваем проблему управления запасами в логистической системе отдельной организации или экономики в целом, то критерием оптимизации должен быть минимум совокупных затрат на хранение запасов и повторение заказа. Данный критерий учитывает три фактора, действующих на величину названных совокупных затрат:
• используемая площадь складских помещений;
• издержки на хранение запасов;
• стоимость оформления заказа.
Эти факторы взаимосвязаны между собой, направление их взаимодействия неодинаково в разных случаях. Желание максимально сэкономить затраты на хранение запасов вызывает рост затрат на оформление заказов. Экономия затрат на повторение заказа приводит к потерям, связанным с содержанием излишних складских помещений, и снижает уровень обслуживания потребителя. При максимальной загрузке складских помещений увеличиваются затраты на хранение запасов, более вероятен риск появления неликвидных запасов.
Использование критерия минимизации совокупных затрат на хранение запасов и повторный заказ не имеют смысла, если время исполнения заказа чересчур продолжительно, спрос испытывает существенные колебания, а цены на заказываемые сырье, материалы, полуфабрикаты сильно колеблются. В таком случае нецелесообразно экономить на содержании запасов. Это приведет к невозможности непрерывного обслуживания потребителя, что не соответствует цели функционирования логистической системы управления запасами. Во всех других ситуациях определение оптимального размера заказа обеспечивает уменьшение издержек на хранение запасов без потери качества обслуживания.
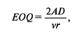
4.2. Оптимальный размер заказа.
Оптимальный размер заказа по критерию минимизации совокупных затрат на хранение запаса и повторение заказа рассчитывается по формуле Вильсона:
![]()
ОРЗ - оптимальный размер заказа, шт.;
А — затраты на поставку единицы заказываемого продукта, руб.;
S - потребность в заказываемом продукте, шт;
i — затраты на хранение единицы заказываемого продукта, руб./шт.
Затраты на поставку единицы заказываемого продукта включают элементы:
• стоимость транспортировки заказа;
• затраты на разработку условий поставки;
• стоимость контроля исполнения заказа;
• затраты на выпуск каталогов;
• стоимость форм документов.
Формула представляет собой первый вариант формулы Вильсона. Он ориентирован на мгновенное пополнение запаса на складе. В случае если пополнение запаса на складе производится за некоторый промежуток времени, то формула корректируется на коэффициент, учитывающий скорость этого пополнения:

k - коэффициент, учитывающий скорость пополнения запаса на складе.
Исходные данные для расчета параметров системы следующие:
• потребность в заказываемом продукте, шт.;
• оптимальный размер заказа, шт.;
• возможная задержка поставки, дни.
• время поставки, дни.
Гарантийный (страховой) запас позволяет обеспечивать потребность на время предполагаемой задержки поставки. При этом под возможной задержкой поставки подразумевается максимально возможная задержка. Восполнение гарантийного запаса производится в ходе последующих поставок через использование второго расчетного параметра данной системы - порогового уровня запаса.
Пороговый уровень запаса определяет уровень запаса, при достижении которого производится очередной заказ. Величина порогового уровня рассчитывается таким образом, что поступление заказа на склад происходит в момент снижения текущего запаса до гарантийного уровня. При расчете порогового уровня задержка поставки не учитывается.
Третий основной параметр системы управления запасами с фиксированным размером заказа - максимальный желательный запас. В отличие от предыдущих параметров он не оказывает непосредственного воздействия на функционирование системы в целом. Этот уровень запаса определяется для отслеживания целесообразной загрузки площадей с точки зрения критерия минимизации совокупных затрат. Графическая иллюстрация функционирования системы с фиксированным размером заказа приведена на рис. 4.

Рис. 4. График движения запасов в системе управления запасами с фиксированным размером заказа.
4.3. Система с фиксированным интервалом времени между заказами.
Система с фиксированным интервалом времени между заказами - последняя система управления запасами, которая относится к основным системам. Классификация систем на основные и прочие вызвана тем, что 2 рассматриваемые системы лежат в основе всевозможных иных систем управления запасами. В системе фиксированным интервалом времени между заказами заказы делаются в строго определенные моменты времени, которые отстоят друг от друга на равные интервалы, например один раз в месяц, один раз в неделю.
Определить интервал времени между заказами можно с учетом оптимального размера заказа. Оптимальный размер заказа позволяет минимизировать совокупные затраты на хранение запаса и повторение заказа, а также достичь наилучшего сочетания взаимодействующих факторов, таких, как используемая площадь складских помещений, издержки на хранение запасов и стоимость заказа. Расчет интервала времени между заказами можно производить следующим образом:
![]()
N — количество рабочих дней в году, дни;
S — потребность в заказываемом продукте, шт.;
ОРЗ — оптимальный размер заказа, шт.
Полученный с помощью формулы интервал времени между заказами не может рассматриваться как обязательный к применено. Он может быть скорректирован на основе экспертных оценок. Например, при полученном расчетном результате (4 дня), возможно, использовать интервал в 5 дней, чтобы производить заказы один раз в неделю.
Исходные данные для расчета параметров системы следующие:
потребность в заказываемом продукте, шт.;
интервал времени между заказами, дни;
время поставки, дни;
возможная задержка поставки, дни.
Гарантийный (страховой) запас, позволяет обеспечивать потребность на время предполагаемой задержки поставки (под возможной задержкой поставки также подразумевается максимально возможная задержка). Восполнение гарантийного запаса производится в ходе последующих поставок через пересчет размера заказа таким образом, чтобы его поставка увеличила запас до максимального желательного уровня. Графическая иллюстрация функционирования системы управления запасами с фиксированным интервалом времени между заказами представлена на рис. 5.
Так как в рассматриваемой системе момент заказа заранее определен и не меняется ни при каких обстоятельствах, постоянно пересчитываемым параметром является именно размер заказа. Его вычисление основывается на прогнозируемом уровне потребления до момента поступления заказа на склад организации. Расчет размера заказа в системе с фиксированным интервалом времени между заказами производится по формуле:
РЗ = МЖЗ – ТЗ + ОП,
РЗ — размер заказа, шт.;
МЖЗ — максимальный желательный запас, шт.;
ТЗ — текущий запас, шт.;
ОП — ожидаемое потребление за время поставки, шт.

Рис. 5. График движения запасов в системе управления запасами с фиксированным интервалом времени между заказами.
Как видно из формулы, размер заказа рассчитывается таким образом, что при условии точного соответствия фактического потребления за время поставки ожидаемому поставка пополняет запас на складе до максимального желательного уровня. Разница между максимальным желательным и текущим запасом определяет величину заказа, необходимую для восполнения запаса до максимального желательного уровня на момент расчета, а ожидаемое потребление за время поставки обеспечивает это восполнение в момент осуществления поставки.
5. Сравнение основных систем управления запасами.
Можно предположить идеальную ситуацию, в которой исполнение заказа происходит мгновенно (другими словами, время поставки равно нулю). Тогда заказ можно производить в момент, когда запасы материальных ресурсов на складе равны нулю. При постоянной скорости потребления обе рассмотренные системы управления запасами (с фиксированным размером заказа и фиксированным интервалом времени между заказами) становятся одинаковыми, так как заказы будут производиться через равные интервалы времени, а размеры заказов всегда будут равны друг другу. Гарантийные запасы каждой из 2 систем сведутся к нулю. Такая ситуация проиллюстрирована на рис. 6.

Рис. 6. График движения запасов в основных системах управления запасами при мгновенном исполнении заказа.
Сравнение рассмотренных систем управления запасами приводит к выводу о наличии у них взаимных недостатков и преимуществ. Система с фиксированным размером заказа требует непрерывного учета текущего запаса на складе. Напротив, система с фиксированным интервалом времени между заказами требует лишь периодического контроля количества запаса. Необходимость постоянного учета запаса в системе с фиксированным размером заказа можно рассматривать как основной ее недостаток. Напротив, отсутствие постоянного контроля за текущим запасом в системе с фиксированным интервалом времени между заказами является ее основным преимуществом перед первой системой.
Следствием преимущества системы с фиксированным интервалом времени между заказами является то, что в системе с фиксированным размером заказа максимальный желательный запас всегда имеет меньший размер, чем в первой системе. Это приводит к экономии на затратах по содержанию запасов на складе за счет сокращения площадей, занимаемых запасами, что составляет преимущество системы с фиксированным размером заказа перед системой с фиксированным интервалом времени между заказами Преимущества и недостатки рассмотренных систем управления запасами сведены в табл. 1.
Таблица 1
Сравнение основных систем управления запасами.
| Система | Преимущества | Недостатки |
| С фиксированным размером заказа | Меньший уровень максимального желательного запаса Экономия затрат на содержание запасов на складе за счет сокращения площадей под запасы | Ведение постоянного контроля наличия запасов на складе |
| С фиксированным интервалом времени между заказами | Отсутствие постоянного контроля наличия запасов на складе | Высокий уровень максимального желательного запаса Повышение затрат на содержание запасов на складе за счет увеличения площадей под запасы |
Использование той или иной системы зависит от следующих обстоятельств:
Если издержки управления запасами значительные и их можно вычислить, то следует применять систему с фиксированным размером заказа.
Если издержки управления запасами незначительные, то более предпочтительной оказывается система с постоянным уровнем запасов.
При заказе товаров поставщик налагает ограничения на минимальный размер партии. В этом случае желательно использовать систему с фиксированным размером заказа, поскольку легче один раз скорректировать фиксированный размер партии, чем непрерывно регулировать его переменный заказ.
Однако если налагаются ограничения, связанные с грузоподъемностью транспортных средств, то более пред