Интерференция

Лекция 9

8. Интерференция

Этим словом обозначается, в общем-то, всего лишь сложение волн. Всего лишь сложение, но при этом возникает много вопросов и сложностей. Прежде всего дело в том, что волна является весьма непростым объектом, объектом более сложным, чем нам это представляется на данном этапе.

Кроме того многообразными и не очень простыми оказываются схемы наблюдения разных явлений, возникающих в результате сложения волн, их интерференции. Так что лучше всего заранее настроится на обсуждение многочисленных и достаточно непростых вопросов.

8.1. Двухлучевая интерференция. Точечные источники

X

x

S’

d 0

S” l

Собственно, эту задачу мы уже решали - при падении на экран двух волн от разнесенных на расстояние d точечных источников должны наблюдаться минимумы и максимумы интенсивности. Если расстояние до экрана l>>d, то, как мы выяснили ранее, расстояние между минимумами оказывается равным

.

Обычно расстояние между источниками составляет несколько длин волн, и расстояние между минимумами Δx оказывается не слишком маленьким.

Мы кроме того считаем, что координата точки наблюдения x<

.

Получим это выражение еще одним способом. На достаточно большом расстоянии от источников приходящие от них волны можно считать плоскими, и вблизи нуля на оси OX углы падения этих волн будут равны и . Далее, при падении плоской волны на экран, как мы в свое время выяснили, фаза электромагнитных колебаний будет зависеть от координаты:

.

Проинтегрировав эти уравнения, мы получим такие выражения для зависимости фаз колебаний от координаты:

.

Мы посчитали фазы равными нулю при x=0. В этой точке будет наблюдаться максимум колебаний. Ближайший к нему минимум будет наблюдаться на расстоянии полуширины линии Δx/2, которое определяется условием

; .

Y

l(y)

S

0

θ(y)=d/l

Мы рассматривали, как это обычно и делается, интерференцию волн от точечных источников, от которых, стало быть, исходят сферические волны. При удалении от точки наблюдения в перпендикулярном к плоскости рисунка направлении (вдоль оси OY) будет уменьшаться угловое расстояние между источниками θ, и полосы будут наблюдаться в виде расходящихся дуг.

На практике, однако, вместо точечных источников используются параллельные оси OY щели, которые освещаются некоторыми источниками света. В пределах щели происходят электромагнитные колебания и они действуют как множество непрерывно расположенных точечных источников. В этом случае интерферируют цилиндрические волны и интерференционные полосы параллельны друг другу.

8.2. Опыт Юнга. Когерентность волн

При наблюдении интерференционной картины возникают некоторые не вполне очевидные трудности. Представим себе, что в качестве источников цилиндрических волн мы попытались использовать нити двух электрических лампочек. Излучение раскаленных нитей осуществляется ускоренным движением электронов в нитях, никак друг с другом не связанных. Такие волны, естественно, не будут иметь одинаковые начальные фазы, которые при записи соответствующих выражений мы просто считали нулевыми. И эти начальные фазы не только различны у рассматриваемых двух волн, но и непостоянны во времени, изменяются случайным образом. Такие волны называют некогерентными.

В принципе нам не обязательно нужно, чтобы начальные фазы колебаний от двух источников были равны. Нам надо, чтобы постоянной во времени была разность фаз этих колебаний. Если это требование выполняется, то волны (или источники) называют когерентными. Это определение когерентности волн (источников волн).

Таким образом, возникает проблема: как добиться того, чтобы источники были когерентными?

Представим себе, что источником (приблизительно) цилиндрических волн является вертикально расположенная раскаленная полоска металла. Понятно, что она будет излучать свет по разным направлениям как в вертикальной, так и в горизонтальной плоскостях.

Мы связали направление излучения с производной фазы колебаний по координате. Из огромного числа колеблющихся электронов найдутся и такие, которые в данный момент колеблются с (примерно) одинаковой фазой. Их излучение будет направлено по нормали к полоске. Но найдутся и электроны, которые колеблются так, что для них производная фазы по направлению вдоль некоторой прямой, “нарисовано” на поверхности полоски, имеет отличное от нуля значение. Их излучение будет направлено под некоторым углом к излучающей поверхности.

Но пусть какая-то группа электронов излучает волну примерно по нормали и она попадает затем на экран. Однако, в следующий промежуток времени это будут уже другие электроны, начальная фаза падающей на экран волны будет другой. Но, разумеется, в течение некоторого времени она все же будет иметь какое-то значение, будет (примерно) постоянной. Такое постоянство фазы определяет временную (с ударением на ‘у’) когерентность.

При этом волна не будет направлена строго по одному направлению, она обязательно будет распространяться в некотором телесном угле. Значит в точках на некоторых расстояниях в поперечном направлении фаза колебаний будет одинаковой. И чем дальше от источника, тем эти расстояния, естественно, будут больше. В таком случае говорят о пространственной когерентности.

Поэтому можно, например, осветить пару щелей достаточно удаленным источником электромагнитных колебаний. Например, весьма велика пространственная когерентность у света, который приходит от звезд. Вот только сила света при этом оказывается очень малой.

X

b

dx

0

ΔL θ

Проще (при меньшем удалении от источников и с большей силой света) осветить когерентным светом одну узкую щель. Выделив на ней поперечную полоску, мы можем надеяться, что в ее пределах колебания будут когерентными. Такая полоска может рассматриваться как система непрерывно расположенных точечных источников, зависимость амплитуды волны от угла мы с Вами ранее посчитали:

.

щель

S S’

d

линза S”

экран

Чем уже щель, тем больше угол, в пределах которого происходит излучения. И в пределах этого угла излучение будет когерентным.

Эта идея реализована в классическом опыте Юнга. На экране наблюдается интерференция когерентных волн от двух щелей, которые, в свою очередь, освещаются цилиндрической волной от одиночной щели.

8.3. Длина когерентности

В опыте Юнга обеспечивается когерентность (постоянство разности фаз колебаний) двух источников света - параллельных щелей. Естественно, при некогерентных источниках интерференционная картина наблюдаться не может. Но для успешности наблюдения интерференционной картины оказывается важной и временная когерентность. При этом оказывается более удобным говорить о длине когерентности. Она определяется как характерное время, в течение которого фаза колебаний волны остается постоянной, умноженное на скорость света в вакууме.

Действительно, при удалении от центра экрана увеличивается разность хода лучей от источников S’ и S”. И если разность хода больше длины когерентности, то мы опять-таки не сможем наблюдать интерференционую картину.

Сделаем такое (достаточно очевидное) утверждение: “чисто” синусоидальных волн в природе не бывает. Ближе всего к такой волне излучение лазера, но и для него длина когерентности конечна, хотя и весьма велика. Но любая реальная волна представляет собой сумму больше или меньше отличающихся по частоте синусоидальных волн.

Интенсивность излучения, таким образом, некоторым образом распределена по оси частот (или длин волн). В этой связи говорят о ширине спектральной полосы, и в вопросе о том, как связана длина когерентности с разностью длин волн нам вновь поможет рассмотрение биений.

Предположим, что волна света при наблюдении интерференции в опыте Юнга представляет собой сумму двух синусоидальных волн. Как мы знаем, амплитуда суммарных колебаний изменяется по закону

.

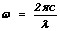
Следовательно, изменение фазы происходит через время Δt, которое определяется условием

;

и длина когерентности

.

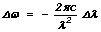
С другой стороны мы имеем:

; .

По смыслу длина когерентности - величина положительная. Беря поэтому соответствующие величины по модулю, имеем:

.

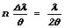
Подойдем теперь к этому вопросу с другой стороны. Предположим, мы проводим опыт Юнга с такой волной - суммой волн с близкими частотами. Для них расстояния между минимумами Δx различны:

.

На такую величину интерференционный максимум одной длины волны сдвинут по отношению к максимуму другой. Если взять достаточно большое количество максимумов n, то сдвиг равен nδx и если он окажется равным половине (средней для этих волн) ширины интерференционного максимума, картинка “смажется”. Заметив, что для максимума с номером n разность хода лучей равна nλ, мы получим:

; ; .

Таким образом, длина когерентности оказывается величиной порядка разности хода, при которой интерференционная картина уже не наблюдается.

8.4. Линии равного наклона

Рассмотрим теперь задачу об отражении световой волны от плоскопараллельной пластины (“тонкой пленке”). Часть света отражается от верхней поверхности пластины (“первая волна”), часть проникает внутрь ее. После отражения проникшей в толщу пластины волны от нижней ее поверхности и преломления на верхней поверхности (“вторая волна”) две эти волны будут распространяться в одном направлении.

Δl1 1 2

n=1

θ θ

θ′

d Δl2

n>1

Коэффициент отражения прозрачных материалов невелик - порядка нескольких процентов. Поэтому обе волны имеют примерно равную амплитуду. Амплитуда суммарных колебаний в некоторой удаленной зоне наблюдения зависит, естественно, зависит от разности фаз, а эта последняя - от разности хода, которую несложно подсчитать.

После падения на верхнюю поверхность пластины до зоны наблюдения лучи 1 и 2 проходят разные пути. При этом следует учесть такие обстоятельства. При подсчете разности путей, проходимых двумя волнами путь пройденный в веществе необходимо умножать на показатель преломления n - для подсчета разности фаз, собственно важна разность времен распространения волн, а в веществе скорость распространения в n раз меньше. Кроме того при отражении волны от верхней поверхности происходит потеря полуволны - изменение фазы на π.

Подсчитаем длину пути волны 2 в веществе:

.

Далее,

.

Таким образом, оптическая разность хода волн 1 и 2

.

При выводе этого выражения мы использовали закон преломления в виде .

При наблюдении пластины под некоторым углом мы будем видеть ее либо темной либо светлой. Светлой она будет в том случае, если оптическая разность хода равна целому числу длин волн. Иначе говоря, условие максимума отражения имеет вид

,

где k - целое число.

Если в разных точках поверхности пластины углы падения разные, вдоль линий с одинаковым углом падения, удовлетворяющем условию максимума, мы будем наблюдать светлые полосы, между ними - темные. Эти линии и называются линиями равного наклона - имеется ввиду “наклон” падающего луча света. При освещении пластины белым светом мы можем увидеть разные ее части окрашенными - для разных длин волн условие максимума выполняется при разных углах падения.

Обратим внимание - разность хода не должна быть больше длины когерентности. Вот почему (если речь не идет о лазерном излучении, длина когерентности которого велика) линии равного наклона наблюдаются лишь на тонких пленках. Потому этот тип интерференции часто так и называется - интерференция на тонких пленках.



Подобные работы:

Актуально: