Законы геометрической оптики
Лекция 4
4. Законы геометрической оптики
4.1. Прямолинейность распространения света.
Принцип Ферма
Физика в разных своих разделах часто занимается вопросами весьма несхожими. В частности оптика никак не представляется логическим продолжением предыдущих разделов, которыми мы с Вами занимались. И хотя свет представляет собой электромагнитную волну, разговором о которой мы закончили предыдущий раздел “Электричество и магнетизм”, вопросами электромагнитной природы света мы будем заниматься не слишком много, нас скорее будет интересовать собственно волновая природа света, а не то, что это волна электромагнитная.
В свою очередь мы не станем подробно говорить об оптике геометрической. Но основные ее законы, видимо, обсудить необходимо. Первым из них является закон прямолинейности распространения света. Выглядит он чрезвычайно простым - между двумя точками свет распространяется вдоль прямой. И достаточно естественно возникает вопрос такого рода: “А как же иначе?”
Действительно, такой “способ” распространения света кажется более чем естественным. Но в дальнейшем возникнут достаточно серьезные трудности для понимания - когда мы встретимся с отклонениями от этого закона. Да и едва ли Вам часто приходилось наблюдать прямолинейное распространение волны - прямолинейность распространения и волновая природа, пожалуй, представляются скорее несовместимыми. Разве что такие два примера.
Примерно плоскими являются морские волны, рожденные ветром и пришедшие к нам с очень большого расстояния. Большое расстояние и плоский характер волны представляются неразрывно связанными. И еще такой пример. Возможно, в кинофильмах о войне Вам случалось обратить внимание на непривычную для современного взгляда форму “динамиков” (тогда они назывались репродукторами) - этакая плоская “тарелка”. В те времена еще не было создано мощных источников звука и достаточно хорошая слышимость достигалась за счет создания по возможности узко направленной в нужном направлении плоской звуковой волны, амплитуда колебаний которой слабо уменьшается с расстоянием.
Прежде всего следует подробнее поговорить о том, что именно мы понимаем под направлением или путем распространения света. Важным здесь оказывается понятие луча. Часто говорят, что, например, солнечный луч можно легко увидеть в слегка запыленном затемненном помещении, если свет проникает в него через небольшое отверстие. Или в тени дерева мы можем видеть отдельные солнечные “зайчики” - места падения лучей, прошедших через промежутки между листьями кроны дерева. Такой “наблюдаемый” луч оказывается прямолинейным и о его отражении и преломлении обычно идет речь при постановке экспериментов.
Но мы знаем, что свет имеет волновую природу и более строго лучем называется кривая (прямая в частном случае), проведенная перпендикулярно касательным к фронтам волны в разных точках. Это уже достаточно абстрактное понятие, то, что мы можем увидеть в слегка запыленной комнате, лишь приблизительно соответствует такому пониманию луча.
A *
* B
Итак, если нет никаких препятствий и среда однородна, то луч света прямолинеен. На рисунке мы соединяем точки A и B прямой и говорим, что свет распространяется вдоль этой прямой. Изображенные пунктирными отрезками касательные к фронтам волны перпендикулярны лучу. Сами фронты не обязательно плоские.
Заметим, что фронт волны образуют точки, в которых фазы колебаний одинаковы. (Вспомним также, что фазой называется аргумент гармонической функции.) Обычно рисуют линии пересечения плоскости рисунка фронтами, на которых достигается максимум амплитуды колебаний. В таком случае говорят о гребнях волн.
Вдоль прямой расстояние между двумя точками минимально. Оказывается, что и в других случаях, когда, например, имеется отражающая поверхность, путь распространения света оказывается таким, что вдоль него время движения волны минимально. Это утверждение называют принципом Ферма - в простейшей, можно сказать, первоначальной формулировке. Эту формулировку нам еще предстоит в дальнейшем уточнять.
4.2. Отражение света. Плоское зеркало
Отражение света происходит на границе сред с различными (фазовыми) скоростями распространения волны. Особый интерес представляет собой граница металл - вакуум. Внутри металла распространение света, вообще говоря, невозможно.
Рассмотрим процесс отражения света от зеркальной металлической поверхности подробнее.
Сложности при анализе оптических явлений возникают из-за сложности самих процессов. По мере углубления их анализа нам будет необходимо учитывать все больше разного рода тонкостей и особенностей. К таковым относится, например, поляризация света.
Мы говорили, что электромагнитная (световая) волна называется поперечной - в ней колеблющееся электрическое поле направлено перпендикулярно лучу, перпендикулярно направлению распространения света. При этом возникает достаточно много разных возможностей изменения направления вектора электрического поля вдоль луча света, типов поляризации. Простейшим является случай линейно или плоско поляризованного света, когда направление вектора
в некоторой точке или вдоль направления распространения остается неизменным. Им мы пока и ограничимся. Более того, будем считать вектор
направленным перпендикулярно плоскости чертежа, параллельно поверхности зеркала. В этом случае (согласно граничным условиям для вектора электрического поля) вблизи зеркальной поверхности
равно нулю, что существенно упрощает наши рассуждения. А рассуждения наши будут такими.
В направлении от точки A к точке B’ распространяется электромагнитная волна, встречающая на своем пути металлическое зеркало. Под действием электрического поля в металле возникает ускоренное (колебательное) движение электронов, и в результате возникает вторичное излучение. Результирующая волна (или волны) есть результат сложения (суперпозиция) волны, пришедшей от точки A, и волны, которая излучается электронами зеркала. Эта последняя такова, что справа от зеркала электрическое поле равно нулю - колебания этих двух волн противоположны по фазе, они “гасят” друг друга.
A A’
α1
α2
C
B B’
Вспомним результат, который мы получили для излучения цепочки непрерывно расположенных точечных источников - при линейном изменении фазы колебаний вдоль цепочки излучение происходит под некоторым отличном от π/2 направлении. При “косом” падении волны на поверхность зеркала фаза колебаний электронов, естественно, изменяется от точки к точке - расстояния от источника света до этих точек различны. Поэтому и вторичная волна, излучаемая колеблющимися электронами, направлена под некоторым углом к норамали к поверхности зеркала. И именно под тем, под которым она на него падает.
Можно быть уверенными, что справа и слева от зеркала излучение колеблющихся электронов симметричны. Излучаемая вправо волна гасит исходную волну, а излучаемая влево как раз и является волной отраженной. Как мы видели, фаза этой волны должна быть противоположна фазе волны падающей.
Волну, идентичную отраженной, мы могли бы получить поместив в точку A’ такой же источник света как в A, но излучающий волну с противоположной фазой. И этом случае в плоскости зеркала (в плоскости симметрии) напряженность электрического поля равна нулю - такие волны “гасят” друг друга в плоскости симметрии, в плоскости зеркала. Амплитуда электромагнитных колебаний равна нулю.
При взаимодействии электромагнитной волны с веществом с этим последним взаимодействует именно электрическое, а не магнитное поле. Поэтому, если из точки A’ происходит излучение волны с противоположной фазой и мы просто уберем зеркало, картина колебаний не изменится.
В связи с изменением фазы колебаний при отражении от зеркала на π вводится новый для нас термин - “потеря полуволны”. Он будет достаточно понятен, если вспомнить, что при распространении волны в отстоящих на λ/2 точках колебания происходят в противофазе.
Закон отражения утверждает, что при отражении света луч падающий, луч отраженный и перпендикуляр к поверхности зеркала в точке отражения лежат в одной плоскости. При этом угол падения равен углу отражения - α1 = α2. Этот закон можно считать следствием принципа Ферма: длина ломаной ACB, равная длине отрезка A’B, представляет собой минимальный путь между точками A и B для распространения света с отражением от зеркала. При смещении точки отражения C вверх или вниз длина пути увеличивается.
4.3. Сложение гармонических колебаний
E
0 x

Из всех разнообразных видов волн мы ограничиваемся здесь лишь волнами, которые представляют собой процесс распространения гармонических или почти гармонических колебаний. Нам придется достаточно много заниматься сложением большого числа колебаний и потому представляется полезным еще раз вспомнить о сущности используемого метода - метода векторных диаграмм.
Сначала посмотрим, как могут быть представлены или описаны волновой процесс и происходящие при этом колебания.
На рисунке представлен график зависимости напряженности электрического поля световой волны от координаты. Естественно, это график зависимости E(x) в некоторый момент времени. Эту картинку следует представлять себе движущейся со скоростью света вдоль оси OX. Если по оси абсцисс будет отложено времени, тот же график будет представлять собой колебания электрического поля в некоторой точке.
E0
ωt+φ
Такие способы представления волны достаточно наглядны, но неудобны для сложения колебаний или волн. Для этих целей часто используется представление колебаний в виде векторной диаграммы.
Предположим, что в некоторой точке происходят колебания по закону E = E0cos(ωt+φ). Эти колебания можно представить таким способом.
E0
φi
φ
Нарисуем некий вспомогательный вектор длины E0 таким образом, чтобы его угол с осью абсцисс при t=0 был равен φ. Если мы теперь будем вращать вектор с угловой скоростью ω, его проекция на ось абсцисс будет равна E0cos(ωt+φ), т.е. будет представлять собой наше колебание.
Предположим теперь, что в некоторой точке происходит несколько колебаний вида Ei=E0icos(ωt+φi). Для прямого нахождения их суммы нужно решить достаточно сложную тригонометрическую задачу. Но векторная диаграмма позволяет достаточно просто решить эту проблему геометрически.
Для этого достаточно нарисовать векторы длиной E0i так, как это показано на рисунке. Легко найти сумму этих векторов - обозначим длину суммарного вектора E0, его угол с осью абсцисс в начальный момент времени φ. Поскольку проекция суммы векторов равна сумме их проекций, при вращении суммарного вектора со скоростью ω его проекция на ось абсцисс будет представлять собой сумму колебаний Ei.
При практическом использовании векторной диаграммы обычно “забывают” о том, что вектора вращаются: определив длину суммарного вектора E0 и начальную фазу φ, можно записать выражение для суммарных колебаний:
.
Таким образом, тригонометрическая задача сводится к задаче геометрической, которая обычно оказывается проще, а результат - более наглядным.
Но то обстоятельство, что этот вектор вращается, в некоторых задачах неожиданно становится существенным и приходится вспоминать об этом вращении.
Применим этот метод для анализа отражения волны от плоского зеркала. Предположим, что в точке A находится некоторый источник света. В разных точках зеркала (C и C’, например) колебания электронов будут происходить с разными начальными фазами. С разными фазами будут происходить и колебания электрического поля в точке B, вызванные колебаниями расположенных в разных точках электронов.
Разность фаз этих колебаний определяется разностью длин ломаных ACB и AC’B. Обозначим их как L и L’. Тогда разность фаз колебаний
.
A Z
C’
C
B
Здесь c - скорость света, Δt - разность времен распространения света вдоль ломаных AC’B и ACB, время запаздывания одного сигнала по отношению к другому. Появление знака “минус” связано с тем, что вдоль ломаной AC’B волна проходит большее расстояние, в сложении участвуют колебания волны, излученной в более ранний момент времени.
Длина ломаной ACB минимальна. Поэтому при прохождении луча через эту точку
.
Это означает, что при малом смещении от точеи C вверх или вниз фаза колебаний в точке B из-за колебаний отдельных электронов остается примерно одинаковой, амплитуды соответствующих колебаний складываются. Но при отклонении точки от положения z = 0 (точки C) производная dt/dz и, стало быть,
будет возрастать по модулю и “скорость” изменения (модуль производной) будет тем больше, чем сильнее отличается значение координаты z от нуля. На векторной диаграмме это проявляться в быстром изменении разности фаз колебаний (в точке B), вызванных даже близко друг другу расположенных электронов. Соответствующие векторы E0i на диаграмме поворачиваются и при больших значениях z собираются в тесный “клубок”, т.е. дают все меньший вклад в суммарное колебание напряженности электрического поля в точке B.
Так вот, при рисовании векторной диаграммы необходимо решить, в какую сторону поворачивать векторы, отвечающие опережающим по фазе колебаниям. Иначе говоря, выбрать положительное направление отсчета угла, и тем самым - направление вращения вектора.
В механике и электричестве за положительное направления отсчета угла принимается направление против часовой стрелки. Но в оптике традиционно за положительное направление выбирается противоположное направление, по часовой стрелке. Это изменяет вид векторной диаграммы и будет существенно при решении некоторых задач.
В этой связи полезно запомнить такое простое правило для рисования векторных диаграмм: если путь распространения света больше, то соответствующий вектор на диаграмме оказывается повернутым на некоторый угол против часовой стрелки.
Произведем некоторые оценки для конкретного взаимного расположения зеркала, источника света A и точки наблюдения B. Будем считать, что α1 = α2 ≈ 450, а координаты точек zA = 20 см, и zB = -15 см. Нас будет интересовать, при каком смещении точки C фаза электромагнитных колебаний в точке B изменится на π/2.
При такой геометрии длина пути распространения света
![]()
и
![]()

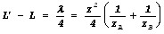
.
Изменение фазы колебаний на π/2 (и, соответственно, поворот вектора на фазовой диаграмме на такой угол) отвечает разности путей распространения света λ/4. Приняв длину волны λ = 0,5 мкм, мы получаем:
;
.
Таким образом, согласно нашей оценке заметный вклад в электромагнитные колебания в точке B дают лишь колебания электронов, расположенных на расстояниях меньше ± 0,2 мм в окрестности точки C.