Движение в центральном симметричном поле
ДВИЖЕНИЕ В ЦЕНТРАЛЬНОМ СИММЕТРИЧНОМ ПОЛЕ
Немного теории
Центральным называют такое силовое поле, в котором потенциальная энергия частицы является функцией только от расстояния r до определенной точки - центра поля: U=U(r) . Сила, действующая на частицу в таком поле, тоже зависит лишь от расстояния r и направлена в каждой точке пространства вдоль радиуса, проведенного в эту точку из центра поля
Хотя частица, движущаяся в таком поле, и не представляет собой замкнутую систему, тем не менее для нее выполняется закон сохранения момента импульса, если определять момент по отношению к центру поля. Действительно, поскольку направление действующей на частицу силы проходит через центр поля, то равно нулю плечо силы относительно этой точки, а потому равен нулю и момент силы. Согласно уравнению отсюда следует, что L = const
(где L – вектор момента импульса, а K момент силы K = ( rF ). Уравнение
получается из уравнения L = ( p ). Определим производную по времени от момента импульса частицы. Согласно правилу дифференцирования произведения имеем
![]()
Так как
- есть скорость v частицы, а p = m v , то первый член есть m ( vv ) и равен нулю, поскольку равно нулю векторное произведение любого вектора самого на себя. Во втором члене производная
- есть, как мы знаем, действующая на частицу сила F . Таким образом,
.)
Поскольку момент L = m ( rv ) перпендикулярен направлению радиуса-вектора r , то из постоянства направления L следует, что при движении частицы ее радиус-вектор должен оставаться все время в одной плоскости - плоскости, перпендикулярной направлению L . Таким образом, в центральном поле частицы движутся по плоским орбитам - орбитам, лежащим в плоскостях, проходящих через центр поля
Данное уравнение можно записать в виде:
![]()
где d s - вектор перемещения материальной точки за время dt. Величина векторного про и з в еде шь двух векторов геометрически представляет собой лощадь построенного на них параллелограмма. Площадь же параллелограмма, построенного на векторах d s и r , есть удвоенная площадь бесконечно узкого сектора , описанного радиусом-вектором дв и жущейся точки за время dt . Обозначив эту площадь через dS, можно записать велич и ну момента в виде
![]()
Величина
называет ся секториальной ско ростью
Задача о движении в центральном поле в особенности важна потому, что к ней свод и тся задача об относительном движении двух взаимодействующих друг с другом материальных точек - так называемая задача двух тел
Если рассмотреть это движение в системе центра инерции обеих частиц. В этой системе отсчета суммарный импульс частиц равен нулю:
m 1 v 1 +m 2 v 2 =0,
где v 1 , v 2 - скорости част и ц. Введем также относ и тельную скорость частиц
v = v 1 - v 2
Из этих двух равенств получаются следующие формулы формулы
![]()
![]()
в ы ражающие скорости каждой из частиц через их относит е льную скор о сть
Подставив эти формулы в выражение полной энергии частиц получим

где U(r) - взаимная потенциальная энергия частиц как функция их относительного расстояния r . После простого приведения членов получим
,
где m обозначает величину

называемую приведенной массой частиц
Мы видим, что энергия относительного движения двух частиц такая же, как если бы одна частица с массой m дви галась со скоростью
в центральном внешнем поле с потенциальной энергией U(r) . Другими словами, задача о движении двух частиц сводится к задаче о движении одной “приведенной” частицы во внешнем поле
Постановка задачи
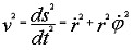
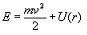
Рассмотрим энергию материальной точки в центральном поле сил
, представим
(скорость) в полярных координатах

Рассмотрим треугольник ABD:
ds~AB, следовательно
![]()
,
откуда получаем

Выразим 
(*)
Осталось выразить характер траектории
![]()
![]()
![]()
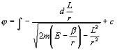
(**)
Подставим выражение (*) в (**)

Проинтегрируем


Эта формула представляет собой траекторию движения частицы в центральном симметричном поле
Рассмотрим уравнение движения для случая кулоновского поля
, где ![]()

Попробуем найти этот интеграл предварительно сделав замену ![]()

Сделаем замену
,
тогда

Далее применим формулу ![]()

В итоге получаем
,
где
; ![]()

![]()
Это уравнение конического сечения с фокусом в центре поля
При e >1 – гипербола;
e =1 – парабола;
0< e <1 – эллипс;
e =0 – окружность;
Литература:
1. Л. Д. Ландау, А. И. Ахиезер, Е. М. Лифшиц “Курс общей физики. Механика и молекулярная физика” Москва 1965 г
2. Конспект по механике за первый триместр. Лектор Гурачевский В. Л.