Физика подкритического ядерного реактора

Введение

Основным прикладным результатом фундаментальных исследований в ядерной физике явилось становление атомной энергетики. Производимая в ядерных реакторах энергия составляет около 6% всего мирового производства энергии. В некоторых странах ( Франция, Швеция ) атомные электростанции дают более половины всей электроэнергии. Однако развитие атомной энергетики породило и общественные проблемы, которые наиболее ярко проявились в трагической Чернобыльской катастрофе. После Чернобыля опасность для здоровья людей и окружающей среды, связанная с ядерной энергетикой, вызвала обоснованная негативную реакцию общественного мнения. Возникшие при этом вопросы относились не только к промышленникам и политикам, но и к научному сообществу физиков, работающих в области ядерной физики и физики элементарных частиц. В конце концов выяснилось, что физики разработали ядерный реактор, который, как оказалось, может выйти из-под контроля. Поэтому задача развития безопасной ядерной энергетики, проведение фундаментальных исследований по этой тематике в последние годы привлекают повышенное внимание.

Ядерным (или атомным) реактором называется устройство, в котором осуществляется управляемая реакция деления ядер. Ядра урана, особенно ядра изотопа 235U, наиболее эффективно захватывают медленные нейтроны. Вероятность захвата медленных нейтронов с последующим делением ядер в сотни раз больше, чем быстрых. Поэтому в ядерных реакторах, работающих на естественном уране, используются замедлители нейтронов для повышения коэффициента размножения нейтронов. Эти реакторы получили название гетерогенных реакторов. Уже давно известен возможный вариант безопасной ядерной энергетики - освоение управляемого термоядерного синтеза. Однако, несмотря на принципиальную осуществимость этой программы, до сих пор перед исследователями стоят ещё не преодолённые технологические трудности. Для завершения программы исследований по управляемому термоядерному синтезу необходимы большие материальные вложения и значительное время. В то же время также достаточно давно известен и другой вариант безопасной энергетики, основанный на работе ядерного реактора в подкритическом режиме, для чего требуется облучение реактора потоком нейтронов. Эти нейтроны могут быть получены с помощью интенсивных пучков протонов или более тяжелых ядер. В последние годы работа в этом направлении значительно активизировалась как в область фундаментальных исследований, так и в разработке конкретных проектов установок, производящих энергию.

Атомный реактор.

Источником энергии реактора служит процесс деления тяжелых ядер. Напомним, что ядра состоят из нуклонов, то есть протонов и нейтронов. При этом количество протонов Z определяет заряд ядра Ze: оно равно номеру элемента из таблицы Менделеева, а атомный вес ядра А - суммарному количеству протонов и нейтронов. Ядра, имеющие одинаковое число протонов, но различное число нейтронов, являются различными изотопами одного и того же элемента и обозначается символом элемента с атомным весом слева вверху. Например, существуют следующие изотопы урана: 238U, 235U, 233U,...

Масса ядра М не просто равна сумме масс составляющих его протонов и нейтронов, а меньше её на величину М, определяющую энергию связи

(в соответствии с соотношением ) М=Zmp+(A-Z)mn-(A)A, где(А)с - энергия связи, приходящаяся на один нуклон. Величина (А) зависит от деталей строения соответствующего ядра... Однако наблюдается общая тенденция зависимости её от атомного веса. А именно, пренебрегая мелкими деталями, можно описать эту зависимость плавной кривой, возрастающей при малых. А, достигающей максимума в середине таблицы Менделеева и убывающей после максимума к большим значениям А. Представим себе, что тяжелое ядро с атомным весом А и массой М разделилось на два ядра А1 и А2 с массами соответственно М1 и М2, причем А1 + А2 равно А либо несколько меньше его, так как в процессе деления могут вылететь несколько нейтронов. Возьмем для наглядности случай А1 + А2 = А. Рассмотрим величину разности масс начального ядра и двух конечных ядер, причем будем считать что А1 = А2, так, что (А1)=(А2), М=М-М1-М2=-(А)А+ (А1)(А1 +А2) =А((А1)- (А1)). Если А соответствует тяжелому ядру в конце Периодической системы, то А1 находится в середине и имеет максимальное значение(А2). Значит, М>0 и, следовательно, в процессе деления выделяется энергия Ед=Мс2. Для тяжелых ядер, например для ядер урана, ((А1)- (А))с2=1 МэВ. Так что при А=200 имеем оценку Ед = 200 МэВ. Напомним, что электрон-вольт (эВ) внесистемная единица энергии, равная энергии, приобретаемой элементарным зарядом под действием разности потенциалов 1В ( 1эВ = 1,6*10-19 Дж). Например, средняя энергия, выделяемая при делении ядра 235U

Ед = 180 МэВ = 180 106 эВ.

Таким образом, тяжелые ядра являются потенциональными источниками энергии. Однако самопроизвольное деление ядер происходит исключительно редко и практически значения не имеет. Если же в тяжелое ядро попадает нейтрон, то процесс деления может резко убыстриться. Это явление происходит с различной интенсивностью для различных ядер, и мерой его служит эффективное поперечное сечение процесса. Напомним, как определяются эффективные сечения и как они связаны с вероятностями тех или иных процессов. Представим себе пучок частиц, (например, нейтронов), падающих на мишень, состоящую из определённых объектов, скажем ядер. Пусть N0 - число нейтронов в пучке, n-плотность ядер, приходящаяся на единицу объема (1 см3 ). Пусть нас интересуют события определённого сорта, например деление ядер мишени. Тогда число таких событий N будет определяться формулой N=N0nlэф, где l- длинна мишени и эф называется поперечным сечением процесса деления (или любого другого процесса) заданной энергией Е, соответствующей энергии налетающих нейтронов. Как видно из предыдущей формулы, эффективное сечение имеет размерность площади(см2). Оно имеет вполне понятный геометрический смысл: это площадка, при попадании в которую происходит интересующий нас процесс. Очевидно, если сечение большое, процесс идёт интенсивно, а маленькое сечение соответствует малой вероятности попадания в эту площадку, следовательно, в этом случае процесс происходит редко.

Итак, пусть для некоторого ядра мы имеем достаточно большое эффективное сечение процесса деления при этом, при делении наряду с двумя большими осколками А1 и А2 могут вылететь несколько нейтронов. Средне число дополнительных нейтронов называется коэффициентом размножения и обозначается символом k. Тогда реакция идёт по схеме

n+A A1+A2+kn.

Родившиеся в этом процессе нейтроны, в свою очередь, реагируют с ядрами А, что даёт новые реакции деления и новое, ещё большее число нейтронов. Если k > 1, такой цепной процесс происходит с нарастающей интенсивностью и приводит к взрыву с выделением огромного кол-ва энергии. Но процесс этот можно контролировать. Не все нейтроны обязательно попадут в ядро А: они могут выйти наружу через внешнюю границу реактора, могут поглотиться в веществах, которые специально вводятся в реактор. Таким образом, величину k, можно уменьшить до некоторой kэф, которая равна 1 и лишь незначительно её превышает. Тогда можно успевать отводить производимую энергию и работа реактора становится устойчивой. Тем не менее в этом случае реактор работает в критическом режиме. Неполадки с отводом энергии привели бы к нарастающей цепной реакции и катастрофе. Во всех действующих системах предусмотрены меры безопасности, однако аварии, с очень малой вероятностью, могут происходить и, к сожалению происходят.

Как выбирается рабочее вещество для атомного реактора? Необходимо, чтобы в топливных элементах присутствовали ядра изотопа с большим эффективным сечением деления. Единица измерения сечения 1 барн = 10-24 см2. Мы видим две группы значений сечений: ( 233U, 235U, 239Pu ) и малые(232Th,238U). Для того, чтобы представить себе разницу, вычислим, какое расстояние должен пролететь нейтрон, чтобы произошло событие деления. Воспользуемся для этого формулой N=N0nlэф. Для N=N0=1 имеем Здесь n- плотность ядер, , где p- обычная плотность и m =1,66*10-24г- атомная единица массы. Для урана и тория n = 4,8.1022 см3. Тогда для 235U имеем l = 10см, а для 232Th l = 35 м. Таким образом, для реального осуществления процесса деления следует использовать такие изотопы как 233U, 235U, 239Pu. Изотоп 235U в небольшом кол-ве содержится в природном уране состоящем в основном из 238U, поэтому в качестве ядерного топлива обычно используют уран, обогащённый изотопом 235U. При этом в процессе работы реактора вырабатывается значительное кол-во ещё одного расщепляющегося изотопа- 239Pu. Плутоний получается в результате цепочки реакций

238U + n ()239U ()239Np ()239Pu,

где означает излучение фотона, а -- распад по схеме

Z (Z+1)+e +v.

Здесь Z определяет заряд ядра, так что при распаде происходит к следующему элементу таблицы Менделеева с тем же А, е- электрон и v-электронное антинейтрино. Необходимо отметить также, что изотопы А1, А2, получающиеся в процессе деления, как правило, являются радиоактивными с временами полураспада от года до сотен тысяч лет, так что отходы атомных электростанций, представляющие собой выгоревшее топливо, очень опасны и требуют специальных мер для хранения. Здесь возникает проблема геологического хранения, которое должно обеспечить надёжность на миллионы лет вперёд. Несмотря на очевидную пользу атомной энергетики, основанной на работе ядерных реакторов в критическом режиме, она имеет и серьезные недостатки. Это, во-первых, риск аварий, аналогичных Чернобыльской, и, во-вторых, проблема радиоактивных отходов. Предложение использовать для атомной энергетики реакторы, работающие в подкритическом режиме, полностью разрешает первую проблему и в значительной степени облегчает решение второй.

Ядерный реактор в подкритическом режиме как усилитель энергии.

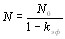
Представим себе, что мы собрали атомный реактор, имеющий эффективный коэффициент размножения нейтронов kэф немного меньше единицы. Облучим это устройство постоянным внешним потоком нейтронов N0. Тогда каждый нейтрон (за вычетом вылетевших наружу и поглощённых, что учтено в kэф) вызовет деление, которое даст дополнительный поток N0k2эф. Каждый нейтрон из этого числа снова произведёт в среднем kэф нейтронов, что даст дополнительный поток N0kэф и т.д. Таким образом, суммарный поток нейтронов, дающих процессы деления, оказывается равным

N = N0 ( 1 + kэф + k2эф + k3эф + ...) = N0kn эф .

Если kэф > 1, ряд в этой формуле расходится, что и является отражением критического поведения процесса в этом случае. Если же kэф < 1, ряд благополучно сходится и по формуле суммы геометрической прогрессии имеем

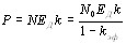
Выделение энергии в единицу времени ( мощность ) тогда определяется выделением энергии в процессе деления,

где к <1 - коэффициент, равный отношению числа нейтронов, вызвавших деление, к полному их числу. Этот коэффициент зависит от конструкции установки, используемых материалов и т.д. Он надёжно вычисляется. В примерах k=0,6. Осталось выяснить, как можно получить первоначальный поток нейтронов N0. Для этого можно использовать ускоритель, дающий достаточно интенсивный поток протонов или других частиц, которые, реагируя с некоторой мишенью, порождают большое кол-во нейтронов. Действительно, например, при столкновении с массивной свинцовой мишенью каждый протон, ускоренный до энергии 1ГэВ ( 109 эВ ), производит в результате развития ядерного каскада в среднем n = 22 нейтрона. Энергии их составляют несколько мега электрон -вольт, что как раз соответствует работе реактора на быстрых

нейтронах. Удобно представить поток нейтронов через ток ускорителя

где е- заряд протонов, равный элементарному электрическому заряду. Когда мы выражаем энергию в электрон-вольт, это значит, что мы берём представление Е = еV, где V- соответствующий этой энергии потенциал, содержащий столько вольт, сколько электрон-вольт содержит энергия. Это значит, что с учётом предыдущей формулы можно переписать формулу выделения энергии в виде

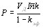
Наконец удобно представить мощность установки в виде

где V- потенциал, соответствующий энергии ускорителя, так что VI по известной формуле есть мощность пучка ускорителя: P0 = VI, а R0 в предыдущей формуле есть коэффициент для kэф = 0,98,что обеспечивает надёжный запас подкритичности. Все остальные величины известны, и для энергии протонного ускорителя 1 ГэВ имеем . Мы получили коэффициент усиления 120, что, разумеется, очень хорошо. Однако коэффициент предыдущей формулы соответствует идеальному случаю, когда полностью отсутствуют потери энергии и в ускорителе, и при производстве электроэнергии. Для получения реального коэффициента нужно умножить предыдущую формулу на эффективность ускорителя rу и КПД тепловой электростанции rэ. Тогда R=ryrэR0. Эффективность ускорения может быть достаточно высокой, например в реальном проекте сильноточного циклотрона на энергию 1ГэВ ry = 0,43. Эффективность производства электроэнергии может составлять 0,42. Окончательно реальный коэффициент усиления R = ry rэ R0 = 21,8, что по-прежнему вполне хорошо, потому что всего 4,6% производимой установкой энергии нужно возвращать для поддержания работы ускорителя. При этом реактор работает только при включенном ускорителе и никакой опасности неконтролируемой цепной реакции не существует.

Воспроизводство топлива.

Для производства энергии в подкритическом режиме требуется хорошо делящийся изотоп. Обычно рассматриваются три возможности 239Pu,235U,233U. Очень интересным оказывается последний вариант, связанный с 233U. Этот изотоп может воспроизводиться в реакторе при облучении интенсивным потоком нейтронов, а это и есть непременное условие роботы реактора в подкритическом режиме. Действительно, представим себе, что реактор заполнен природного тория 232Th и 233U. Тогда при облучения реактора нейтронами, полученными с помощью ускорителя, как описано в предыдущем разделе, идут два основных процесса: во-первых, при попадании нейтронов в 233U происходит деление, которое и является источником энергии, и, во-вторых, при захвате нейтрона ядром 232Th идёт цепочка реакций.

232Th+n ()233Th ()233Pa ()233U

Каждая реакция деления приводит к убыли одного ядра 233U, а каждая предыдущая реакция приводит к появлению такого ядра. Если сравниваются вероятности процесса деления и предыдущего процесса, то кол-во 233U при работе реактора остаётся постоянной, то есть топливо воспроизводится автоматически. Вероятности процесса определяются их эффективными сечениями согласно формуле определения числа событий N. Из этой формулы мы получаем условия стабильной работы реактора с постоянным содержанием 233U: n(232Th)(232Th)=n(233U)(233U)

где n(.) - плотность ядер соответствующего изотопа. Сечение деления (233U) = 2,784 барн приведено выше, а сечение захвата нейтрона торием при тех же энергиях (232Th) = 0,387 барн. Отсюда получаем отношение концентраций 233U и 232Th

Таким образом, если мы в качестве рабочего вещества выберем смесь из 88% природного тория и 12% изотопа 233U, то такой состав, будет длительное время сохраняться при работе реактора. Положение изменится после, того как будет выработано достаточно большое кол-во тория. После этого нужно производить смену рабочего вещества, но 233U следует выделить из отработанного вещества и использовать в следующей загрузке. Оценим время, которое может проработать реактор при одной загрузке. Возьмём в качестве примера параметры установки, предлагаемые группой проф. К. Руббиа Здесь ток ускорителя 12,5 мА при энергии 1 ГэВ и исходная масса топлива 28,41 т. Топливо состоит из Окислов ThO2 и 233UO2. Исходное кол-во ядер 232Th 5,58 1028. При приведённом значении тока производится 1,72 1018 нейтронов в секунду. В силу соотношения N=N0nl эф половина нейтронов захватывается торием, это соответствует 2,7 1025 захватов в год. Отсюда делается заключение, что при времени работы на одной загрузке порядка нескольких лет будет выработано менее 1% всего кол-ва тория. В проекте принята периодичность замены топлива 5 лет.

Необходимо отметить, что продукты деления 233U, представляющие большую радиационную опасность, с большой вероятностью участвуют в

реакциях с нейтронами, в результате которых наиболее опасные продукты

деления со средним временем жизни пережигаются, то есть либо переходят в устойчивые изотопы, либо, наоборот, в очень нестабильные, которые быстро распадаются. Таким образом, отпадает необходимость геологического хранения отходов работы атомной электростанции. Это ещё одно несомненное преимущество подкритического режима работы ядерного реактора. При этом, разумеется, часть потока нейтронов расходуется на пережигание отходов, что несколько понижает коэффициент усиления R = ryrэR0= 21,8. Однако эти затраты, вне всякого сомнения, оправданны.

О выборе сорта частиц в ускорителе.

В проекте, разрабатываемом группой К.Руббиа, а так же в ряде других проектов для получения пучка нейтронов предлагается использовать ускоритель протонов. Действительно, технология сооружения сильноточных ускорителей протонов хорошо разработана, изучены процессы рождения нейтронов при взаимодействии пучка протонов с массивными мишенями.

Однако отметим, что в последние годы развиваются исследования с использованием пучков более тяжелых ядер высоких энергий, в том числе и в применении к проблеме создания интенсивных пучков нейтронов. В этом случае при столкновении ускоренного ядра с ядром мишени рождается некоторое кол-во нейтронов и ядерные фрагменты, которые, будучи достаточно энергичными, сами вступают в реакции, порождающие нейтроны и новые ядерные фрагменты, вновь вступающие в реакции, и т.д. Такой процесс называется ядерным каскадом. В результате развития ядерного каскада рождается значительное число нейтронов. Проблема заключается в выборе частицы, дающей максимальное число нейтронов на единицу затраченной на ее ускорение энергии.

Для анализа процессов, вызываемых ускоренными ядрами, удобно ввести удельную энергию, то есть энергию, приходящуюся на один нуклон. Это величина Е* = Е/А. В первом приближении ядро, летящее в пучке с энергией Е, можно рассматривать как совокупность А нуклонов с энергией Е* каждый. Тогда действие пучка ядер представляется эквивалентным действию пучка протонов, в А раз более интенсивного и в А раз менее энергичного, что даст то же число нейтронов на единицу затраченной на ускорение энергии (при этом ускорение ядер - процесс технологически несколько более сложный, чем ускорение протонов).

Однако этот вывод справедлив лишь в первом приближении. Величина n в выражении N0 = , является функцией двух переменных: Е и А, а не только их отношения А*. С одной стороны, эту зависимость можно рассчитать из теоретической модели, а с другой - изучить на опыте. Теоретический расчёт даёт максимальное число нейтронов на единицу затраченной энергии для пучка дейтронов 2Н, а далее с ростом А эффективность ядерного пучка медленно убывает. В эксперименте проявился неожиданный эффект. Эти экспериментальные результаты были получены двумя группами физиков в опытах на синхрофазотроне Объединённого института ядерных исследований в Дубне (Россия), который в последние годы, работает в режиме ускорения пучков ядер. Одна группа представляла физиков ОИЯИ, другая объединяла в рамках сотрудничества физиков из ОИЯИ, Германии (Марбург), Франция

(Страсбург), Греции (Салоники). Обе группы получили согласующиеся между собой результаты: измеренный поток нейтронов, порождённый пучком ядер 12С с полной энергией 44 ГэВ (Е* = 3,65 Гэв), в полтора раза превышает расчётный, теоретический. При этом отклонение результатов наблюдений от расчётных предсказаний начинается при достаточно большом значении энергии Е, превышающей согласно данным второй группы энергию 22 ГэВ.

С большой степенью вероятности причиной такого рассогласования можно считать коллективные эффекты в ядрах. Дело в том, что при столкновении двух ядер наряду с взаимодействием отдельных составляющих их нуклонов между собой может происходить обмен энергией между взаимодействующими ядрами как целыми, то есть в игру вступают сразу все 44 ГэВ, запасённые ядром 12С. В результате образуется сильно возбуждённое ядерное состояние, дающее при развале большое кол-во так же возбуждённых ядерных фрагментов По - видимому, эти процессы с заметной интенсивностью происходят при энергиях Е порядка 40 ГэВ и более. Например, для ядер аргона 40Ar это происходит уже при удельной энергии Е* = 1 ГэВ. Для коллективных эффектов в ядре важным является действие вязкости ядерной материи, что приводит к эффективному трению при движении частиц в ядре. Трение приводит к тому, что область взаимодействия налетающего ядра с ядром мишени как бы расширяется. Вследствие этого увеличивается вероятность вылета возбужденных ядерных фрагментов, что ведёт к увеличению выхода нейтронов. Справедливость такой интерпретации составляет предмет теоретических и экспериментальных исследований.

Изучение этой проблемы даст возможность выбрать оптимальный пучок для поддержания работы подкритического реактора. В самом деле, усиление ядерных каскадов при реакциях тяжелых ядер с достаточно высокой энергией может привести к выводу о преимуществе использования тяжелых ядер вместо протонов для работы установок, которые описанные выше. Таким образом, вопрос о выборе пучка для генерации потока нейтронов оказывается связанным с фундаментальными проблемами физики ядра и элементарных частиц.

Список используемой литературы:

  1. Вальтер А.К., Залюбовский И.И. Ядерная физика. Харьков: Основа, 1991.
  2. Воронько В.А. и др. // Атомная энергия. 1990. Т.68.С.449; 1991 Т.71.С.563.
  3. Соросовский общеобразовательный журнал. №1, 1997. Арбузов Б.А. Физика подкритического ядерного реактора.
  4. Мякишев Г.Я., Буховцев Б.Б. «Физика 11»


Подобные работы:

Актуально: