Термодинамические функции
ТЕРМОДИНАМИЧЕСКИЕ ФУНКЦИИ
1. Определение термодинамической функции
Все расчеты в термодинамике основываются на использовании функций состояния, называемых термодинамическими функциями. Каждому набору независимых параметров соответствует своя термодинамическая функция. Изменения функций, происходящие в ходе каких-либо процессов, определяют либо совершаемую системой работу, либо получаемую системой теплоту
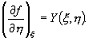
Термодинамические функции являются функциями состояния. Поэтому приращение любой из функции равно полному дифференциалу функции, которой она выражается. Полный дифференциал функции f(x,у ) переменных х и у определяется выражением
(1)
Поэтому, если в ходе преобразований мы получим для приращёния некоторой величины f выражение вида
(2)
можно утверждать, что эта величина является функцией параметров
и
, причем функции
и
представляют собой частные производные функции
:

(3)
При рассмотрении термодинамических функций мы будем пользоваться неравенством Клаузиуса, представив его в виде
(4)
Знак равенства относится к обратимым, знак неравенства - к необратимым процессам
2. Внутренняя энергия
С одним из термодинамических потенциалов мы уже хорошо знакомы. Это внутренняя энергия системы. Выражение первого начала для обратимого процесса можно представить в виде
(5)
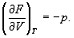
Сравнение с (2) показывает, что в качестве так называемых естественных переменных для потенциала U выступают переменные S и V. Из (3) следует, что
![]()
(6)
Из соотношения
![]()
следует, что в случае, когда тело не обменивается теплотой с внешней средой, совершаемая им работа равна
![]()
или в интегральной форме
(нет теплообмена)
Таким образом, при отсутствии теплообмена с внешней средой работа равна убыли внутренней энергии тела
При постоянном объеме
![]()
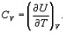
Следовательно, теплоемкость при постоянном объеме равна
(7)
3. Свободная энергия
В цикле Карно рабочее тело совершает работу в первой половине цикла — в процессах сначала изотермического, а затем адиабатного расширения
При адиабатном процессе работа, как известно, совершается за счет внутренней энергии, и равна эта работа как раз убыли внутренней энергии:
![]()
Иначе обстоит дело в случае изотермического процесса. При таком процессе температура тела остается постоянной, и поэтому та часть внутренней энергии, которая связана с кинетической энергией молекулярных движений, не может быть использована для преобразования в механическую энергию. Это обстоятельство побуждает нас отличать общую энергию, которой обладает тело или система тел, от той ее части, которую при данных условиях можно использовать для получения работы
Представим себе некоторое тело, например газ, в котором могут происходить изотермические обратимые процессы расширения и сжатия. Для этого газ необходимо поместить в термостат т. е. привести его в контакт с телом большой теплоемкости, температура которого постоянна. Расширяясь, газ может произвести механическую работу, следовательно, наша система, состоящая из термостата и газа, обладает некоторой энергией. Та часть энергии системы, которая при данных условиях может быть использована для преобразования в механическую работу, называется свободной энергией
Система, значит, не может совершить работу, превышающую значение ее свободной энергии
В этом смысле мы здесь имеем ситуацию, несколько отличную от механической системы. В механике, как известно, энергия тела или системы тел равна сумме потенциальной и кинетической энергий. Оба эти вида энергии макроскопических тел (а только такие тела и рассматриваются в механике) могут быть целиком преобразованы в механическую работу. Внутренняя же энергия молекулярной системы в интересующем нас случае не может быть целиком превращена в работу
Поэтому если мы интересуемся величиной работы, которую система в данном состоянии может произвести при изотермическом процессе, то внутренняя энергия не является подходящей характеристикой этого состояния. Внутренняя энергия характеризует состояние системы, если мы интересуемся работой, которую способна эта система произвести при адиабатном процессе. Именно: работа, произведенная при адиабатном процессе, равна изменению (убыли) внутренней энергии. Свободная же энергия должна характеризовать систему с точки зрения ее “работоспособности” при изотермическом изменении ее состояния (изменении объема)
Для того чтобы каждому состоянию можно было приписать определенное численное значение свободной энергии, необходимо какое-то состояние принять за начало отсчета, так же как это делается при определении потенциальной энергии в механике. Эта неопределенность абсолютного значения свободной энергии не создает никаких трудностей, так как существенно не само значение свободной энергии системы, а ее изменение, которым и определяется работа. Напомним еще, что работа расширения или сжатия тела имеет определенное значение, если этот процесс протекает равновесным образом, т. е. квазистатически
Таким образом, свободная энергия системы измеряемся работой, которую можем произвести система (например, идеальный газ), изменяя свое состояние изотермически и обратимо от состояния, в котором она находимся, до выбранного нами начального состояния, при котором свободная энергия принимаемся равной нулю (начало отсчета)
Если обозначить свободную энергию системы через F, то бесконечно малая работа dA, совершаемая системой при обратимом изотермическом процессе,
(8)
Если, например, изменение состояния системы сводится к изотермическому расширению тела (увеличению его объема), при котором работа положительна, то знак минус означает, что при этом свободная энергия уменьшается. Наоборот, при сжатии тела (работа отрицательна) свободная энергия возрастает за счет внешних сил, сжимающих тело (газ). В частности, для идеального газа при его изотермическом расширении от объема V 2 до объема V 2 работа, как известно, выражается уравнением (для одного моля)
(9)
Правая часть (9) представляет собой убыль свободной энергии 1 моля газа при таком расширении. Это значит, что приданной температуре свободная энергия данной массы газа тем больше, чем меньше занимаемый им объем, т. е. чем сильнее он сжат
Напомним, что внутренняя энергия идеального газа не зависит от занимаемого им объема; один моль газа, сжатый в баллоне, имеет такую же внутреннюю энергию, как и несжатый газ при той же температуре. Но сжатый газ имеет большую свободную энергию потому, что он при изотермическом расширении может совершить большую работу
Когда этот сжатый газ действительно совершает работу, изотермически расширяясь (поднимая, например, поршень с грузом), то эта работа совершается за счет тепла, которое нужно подводить к газу от термостата или от другого тела очень большой теплоемкости (иначе газ охладится и процесс не будет изотермическим). Но мы, тем не менее, говорим о свободной энергии газа, имея в виду подчеркнуть, что именно газ является телом, благодаря которому создается возможность совершить работу
Если процесс изотермического изменения объема протекает необратимо, то, поскольку совершаемая при этом работа меньше, чем при обратимом процессе, изменение свободной энергии будет больше, чем совершенная работа, так что формулу (8) следует писать в виде:
(10)
Знак неравенства относится к необратимому, а знак равенства — к обратимому процессу
Возможны также случаи, когда изменение свободной энергии вообще не сопровождается совершением работы
В частности, если идеальный газ расширяется в пустоту, то никакой работы при этом не совершаётся. Температура, а значит и внутренняя энергия газа остаются неизменными. Между тем свободная энергия газа уменьшилась, так как уменьшилась работа, которую газ можем совершить. Это связано с тем, что процесс расширения газа в пустоту хотя и является изотермическим, но он полностью необратимый
В начале этого параграфа подчеркивалось, что свободная энергия характеризует состояние тела. Нам остается теперь доказать, что она действительно является функцией состояния, т. е. нужно доказать, что при переходе тела из одного состояния в другое изотермически и обратимо совершенная работа, равная разности свободных энергий тела в этих состояниях, не зависит от пути перехода. Это непосредственно вытекает из того, что при изотермическом обратимом круговом процессе работа равна нулю
Действительно, положим, что тело может перейти из состояния 1 в состояние 2 двумя различными путями (изотермическими), совершив на первом пути работу А 1 и на втором А 2 . Но в таком случае мы можем перевести наше тело из состояния 1 в состояние 2 по одному пути и вернуть его обратно, совершив круговой процесс, по другому пути. Общая работа, совершенная при этом,
и, следовательно,
![]()
Это значит, что работа, совершенная телом, зависит только от начального и конечного состояний тела. Следовательно, свободная энергия есть функция состояния
Очевидно, что при ![]()
С другой стороны работа, производимая телом при обратимом изотермическом процессе, может быть представима в виде
![]()
Следовательно,
(11)
Возьмем дифференциал от функции (11)
(12)
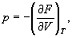
Из сравнения с (2) заключаем, что естественными переменными для свободной энергии являются Т и V. В соответствии с (3)
![]()
(13)
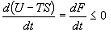
Заменим в (4)
на dU + рdV и разделим получившееся соотношение на dt (t - время). В результате получим, что
(14)
Если температура и объем остаются постоянными, то соотношение (14) может быть преобразовано к виду
![]()
(15)
Из этой формулы следует, что необратимый процесс, протекающий при постоянных температуре и объеме, сопровождается уменьшением свободной энергии тела. По достижении равновесия F перестает меняться со временем. Таким образом, при неизменных Т и V равновесным является состояние, для которого свободная энергия минимальна
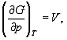
4. Термодинамический потенциал Гиббса
Термодинамическим потенциалом Гиббса называется функция состояния, определяемая следующим образом:
(16)
Ее полный дифференциал равен
(17)
Следовательно, естественными переменными для функции G являются р и Т. Частные производные этой функции равны
![]()
(18)
Если температура и давление остаются постоянными, соотношение (14) можно записать в виде
![]()
(19)
Из этой формулы следует, что необратимый процесс, протекающий при постоянных температуре и давлении, сопровождается уменьшением термодинамического потенциала Гиббса. По достижении равновесия G перестает изменяться со временем. Таким образом, при неизменных Т и р равновесным является состояние, для которого термодинамический потенциал Гиббса минимален
5.Энтальпия
Если процесс происходит при постоянном давлении, то количество получаемой телом теплоты можно представить следующим образом:
(20)
Функцию состояния
(21)
называют энтальпией или тепловой функцией. Из (20) и (21) вытекает, что количество теплоты, получаемой телом в ходе изобарического процесса, равно
(22)
или в интегральной форме
(23)
Следовательно, в случае, когда давление остается постоянным, количество получаемой телом теплоты равно приращению энтальпии
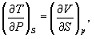
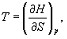
Дифференцирование выражения (21) с учетом (5) дает
(24)
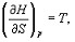
Отсюда заключаем, что энтальпия есть термодинамическая функция в переменных S и р. Её частные производные равны
![]()
(25)
В соответствии с (22) теплоемкость при постоянном давлении
(26)
Таким образом, если объем системы остается постоянным, то тепло Q равно приращению внутренней энергии системы. Если же постоянно давление, то оно выражается приращением энтальпии. В обоих случаях величина Q не зависит от пути перехода, а только от начального и конечного состояний системы. Поэтому на основании опытов при постоянном объеме или при постоянном давлении и могло сложиться представление о какой-то величине Q , содержащейся в теле и не зависящей от способа приведения его из нулевого состояния в рассматриваемое. Величина Q имеет различный смысл в зависимости от того, что остается постоянным: объем или давление. В первом случае под Q следует понимать внутреннюю энергию, во втором — энтальпию. Но в ранних опытах это различие ускользало от наблюдений, так как опыты производились с твердыми и жидкими телами, для которых оно незначительно благодаря малости коэффициентов теплового расширения твердых и жидких тел. В обоих случаях имеет место сохранение величины Q , но оно сводится к закону сохранения энергии
В таблице приведены основные свойства термодинамических функций
Название и обозначение термодинамической функции | Свойства | |
Внутренняя энергия
|
| при адиабатическом процессе |
| при | |
Свободная энергия
|
| при обратимом изотермическом процессе |
| для равновесного состояния при | |
Энтальпия
|
| при |
Термодинамический потенциал Гиббса
|
| для равновесного состояния при |
6. Некоторые термодинамические соотношения
Итак, мы получили соотношения
(27)
(28)
(29)
(30)
Отсюда
![]()
(31)
![]()
(32)
![]()
(33)
![]()
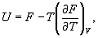
(34)
Отметим два следствия выведенных уравнений. Из определения функций F и G следует ![]()
. Подставив сюда выражения для энтропии из формул (33) и (34), получим
(35)
(36)
Эти уравнения называются уравнениями Гиббса — Гельмгольца . Сразу можно отметить пользу, которую можно извлечь из этих уравнений. Часто бывает легко найти свободную энергию F с точностью до слагаемого, зависящего только от температуры. Это можно сделать, вычислив изотермическую работу, совершаемую системой. Тогда формула (35) позволяет с той же неопределенностью найти и внутреннюю энергию системы
Если известна функция
, то дифференцированием ее по S и V можно найти температуру и давление системы, т. е. получить полные сведения о ее термических свойствах. Затем по формуле
можно найти
и соответствующие теплоемкости, т. е. получить полные сведения также и о калорических свойствах системы. То же самое можно сделать с помощью любого из оставшихся трех канонических уравнений состояния
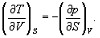
Далее, вторичным дифференцированием из соотношений (31) находим
![]()
![]()
Отсюда на основании известной теоремы анализа о перемене порядка дифференцирования следует
(37)
Аналогично,
(38)
(39)
(40)
Эти и подобные им соотношения называются соотношениями взаимности или соотношениями Максвелла . Они постоянно используются для вывода различных соотношений между величинами, характеризующими термодинамически равновесные состояния системы. Такой метод вывода называется методом термодинамических функций или термодинамических потенциалов
7. Общие критерии термодинамической устойчивости
Допустим, что адиабатически изолированная система находится в термодинамическом равновесии, причем ее энтропия S в рассматриваемом состоянии максимальна, т. е. больше энтропий всех возможных бесконечно близких состояний, в которые система может перейти без подвода или отвода тепла. Тогда можно утверждать, что самопроизвольный адиабатический переход системы во все эти состояния невозможен, т. е. система находится в устойчивом термодинамическом равновесии. Действительно, если бы такой переход был возможен, то энтропии начального 1 и конечного 2 состояний были бы связаны соотношением
. Но это соотношение находится в противоречии с принципом возрастания энтропии, согласно которому при адиабатических переходах должно быть
. Таким образом, мы приходим к следующему критерию термодинамической устойчивости
Если система адиабатически изолирована и ее энтропия в некотором равновесном состоянии максимальна, то это состояние являемся термодинамически устойчивым. Это значит, что система, оставаясь адиабатически изолированной, не может самопроизвольно перейти ни в какое другое состояние
В приложениях термодинамики к конкретным вопросам часто бывает удобно вместо адиабатической изоляции системы накладывать на ее поведение другие ограничения. Тогда критерии термодинамической устойчивости изменятся. Особенно удобны следующие критерии
Критерий устойчивости для системы с постоянными объемом и энтропией
Принимая во внимание соотношение (4) и первое начало термодинамики, можно написать:
(41)
При постоянстве энтропии и объема это дает
(42)
т.е. в системе могут самопроизвольно происходить лишь процессы с уменьшением внутренней энергии. Следовательно, устойчивым является состояние при минимуме внутренней энергии
Критерий устойчивости для системы с постоянными давлением и энтропией. В этом случае условие (41) имеет вид
(43)
т.е. в системе могут самопроизвольно происходить лишь процессы с уменьшением энтальпии
Следовательно, устойчивым является состояние при минимуме энтальпии
Критерий устойчивости для системы с постоянными объемом и температурой. При
и
неравенство (41) записывается в виде
(44)
т.е. в системе могут самопроизвольно происходить лишь процессы с уменьшением свободной энергии
Следовательно, устойчивым является лишь состояние при минимуме свободной энергии
Критерий устойчивости для системы с постоянными температурой и давлением. С помощью выражения (17) для термодинамического потенциала неравенство (41) преобразуется к виду
(45)
При постоянных температуре и давлении дифференциалы
и (45) сводятся к неравенству
(46)
т.е. в системе могут самопроизвольно происходить лишь процессы с уменьшением термодинамического потенциала. Следовательно, устойчивым является состояние при минимуме термодинамического потенциала Гиббса
8. Принцип Ле-Шателье – Брауна
Рассмотрим принцип, сформулированный французским ученым Ле-Шателье (1850—1936) в 1884 г. и, в расширенном виде, немецким физиком Брауном (185О—1918) в 1887 г. Этот принцип позволяет предвидеть направление течения процесса в системе, когда она выведена внешним воздействием из состояния устойчивого равновесия. Принцип Ле-Шателье — Брауна не является столь всеобъемлющим, как второе начало термодинамики. В частности, он не позволяет высказывать никаких количественных заключений о поведении системы. Необходимым условием применимости принципа Ле-Шателье — Брауна является наличие устойчивости равновесия, из которого система выводится внешним воздействием. Он неприменим к процессам, переводящим систему в более устойчивое состояние, например, к взрывам. Принцип Ле-Шателье — Брауна был сформулирован как обобщение знаменитого и всем хорошо известного электродинамического правила ленца (1804—1865), определяющего направление индукционного тока. Он гласит:
Если система находимся в устойчивом равновесии, то всякий процесс, вызванный в ней внешним воздействием или другим первичным процессом, всегда бывает направлен таким образом, что он стремится уничтожишь изменения, произведенные внешним воздействием или первичным процессом
Ле-Шателье и Браун применяли главным образом индуктивный метод, рассмотрев большое число примеров, которые, по их мнению, являются частными случаями сформулированного ими общего правила. Данная ими формулировка была, однако, столь туманной, что не допускала в каждом конкретном случае однозначного применения правила. Неопределенность можно устранить и получить точные математические формулы, выражающие принцип Ле-Шателье —Брауна, если к рассматриваемой проблеме привлечь критерии устойчивости термодинамического равновесия, сформулированные в предыдущем параграфе
Список использованной литературы
- И.В. Савельев. Курс общей физики. книга 3. М.: Физматлит, 1998
- Д.В. Сивухин. Общий курс физики. т.II. М.: Наука, 1975
- А. К. Кикоин, И.К.Кикоин. Молекулярная физика. М.: Наука, 1976
- А.Н. Матвеев. Молекулярная физика. М.: Высшая школа, 1981