Великие законы сохранения
Министерство общего и профессионального образования
Российской Федерации
Московский Государственный Строительный Университет
Кафедра физики
Курсовая работа
по теме:
ВЕЛИКИЕ ЗАКОНЫ СОХРАНЕНИЯ
Выполнила
Денисова М.В.
ЭОУС-1-7
Проверила
Фомина Г.В.
Москва 1998
СОДЕРЖАНИЕ
Сохраняющиеся величины................................................................... 3Закон сохранения импульса................................................................. 3Энергия и работа................................................................................... 6Консервативные силы........................................................................... 8Потенциальная энергия......................................................................... 8Закон сохранения энергии.....................................................................9Закон сохранения момента импульса..................................................11Список используемой литературы......................................................................16
СОХРАНЯЮЩИЕСЯ ВЕЛИЧИНЫ
Совокупность тел, выделенных для рассмотрения, называется механической системой. Тела системы могут взаимодействовать как между собой, так и с телами, не входящими в систему. В соответствии с этим силы, действующие на тела системы, подразделяются на внутренние и внешние. Внутренними называют силы, с которыми тела системы действуют друг на друга, внешними - силы, обусловленные воздействием тел, не принадлежащих системе. Система, в которой внешние силы отсутствуют, называется замкнутой.
Для замкнутых систем остаются постоянными (сохраняются) три физические величины: энергия, импульс и момент импульса. Соответственно имеются три закона сохранения: закон сохранения энергии, закон сохранения импульса и закон сохранения момента импульса. Эти законы тесно связаны со свойствами времени и пространства.
Кроме названных, есть еще ряд законов сохранения (например, закон сохранения электрического заряда). Законы сохранения являются фундаментальными законами природы.
Рассматриваемые в механике законы сохранения энергии, импульса и момента импульса оказываются точными законами и имеют всеобщий характер - они применимы не только к механическим явлениям, но и вообще ко всем явлениям природы, в частности они соблюдаются в релятивистской области и в мире элементарных частиц.
Законы сохранения не зависят от природы и характера действующих сил. Поэтому с их помощью можно делать ряд важных заключений о поведении механических систем даже в тех случаях, когда силы остаются неизвестными.
ЗАКОН СОХРАНЕНИЯ ИМПУЛЬСА
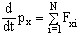
Рассмотрим систему, состоящую из N частиц (материальных точек). Обозначим через Fik силу, с которой k-я частица действует на i-ю (первый индекс указывает номер частицы, на которую действует сила, второй индекс - номер частицы, воздействием которой обусловлена эта сила). Символом Fi обозначим результирующую всех внешних сил, действующих на i-ю частицу. Напишем уравнения движения всех N частиц:
=F12 + F13 + ... + F1k + ... + F1N + F1=
,
=F21 + F23 + ... + F2k + ... + F2N + F2=
,
. . . . . . . . . . . . . . . . . . . . . . . . . . . . . . . . . . . . . . .
=Fi1 + Fi2 + ... + Fik + ... + FiN + Fi =
,
. . . . . . . . . . . . . . . . . . . . . . . . . . . . . . . . . . . . . . .
=FN1 + FN2 + ... + FNK + ... +FN,N-1 + FN =
(pi – импульс i-й частицы).
Сложим вместе эти уравнения. Слева получиться производная по времени от суммарного импульса системы:
.![]()
Справа отличной от нуля будет только сумма внешних сил Fi. Действительно, сумму внутренних сил можно представить в виде
(F12+F21) + (F13 + F31) + ... + (Fik + Fki) + ... + (FN-1,N + FN,N-1).
Согласно третьему закону Ньютона каждая из скобок равно нулю. Следовательно, сумма внутренних сил, действующих на тела системы, всегда равна нулю:
.
С учетом этого получим, что
. (1)
Таким образом, производная по времени от суммарного импульса системы равна сумме внешних сил, действующих на тела системы.
Если система замкнута, внешние силы отсутствуют и правая часть уравнения (1) равна нулю. Соответственно dp/dt=0 и, следовательно, p=const.
Итак, мы пришли к выводу, что суммарный импульс замкнутой системы материальных точек остается постоянным. Это утверждение составляет содержание закона сохранения импульса.
В основе закона сохранения импульса лежит однородность пространства, т.е. одинаковость свойств пространства во всех точках. Параллельный перенос замкнутой системы из одного места в другое без изменения взаимного расположения и скоростей частиц не изменяет механических свойств системы. Поведение системы на новом месте будет таким же, каким оно было бы на прежнем месте.
Заметим, что согласно формуле (1) импульс остается постоянным и у незамкнутой системы в том случае, если сумма всех внешних сил равна нулю.
Спроектировав все векторы, фигурирующие в уравнении (1), на некоторое направление x, получим
(2)
(
; отсюда следует, что проекция на ось x вектора p равна dpx/dt). Согласно (2) для того, чтобы сохранялась проекция суммарного импульса на некоторое направление, достаточно равенства нулю проекции на это направление суммы внешних сил; сама эта сумма может быть отличной от нуля.
Точка С, положение которой определяется радиус-вектором

называется центром масс системы материальных точек. Здесь mi – масса i-й частицы, ri – радиус-вектор, задающий положение этой частицы, m – суммарная масса системы. Отметим, что в однородном поле сил тяжести центр масс совпадает с центром тяжести системы.
Спроектировав rc на координатные оси, получим декартовы координаты центра масс:
,
,
. ![]()
Продифференцировав rc по времени, найдем скорость центра масс:
(3)
Согласно (3) суммарный импульс системы можно представить в виде произведения массы системы на скорость центра масс:
p=mVc
Подставив это выражение в формулу (1), получим уравнение движения центра масс:
![]()
![]()
(ас - ускорение центра масс). Таким образом, центр масс движется так, как двигалась бы материальная точка с массой равной массе системы, под действием результирующих всех внешних сил, приложенных к телам системы. Для замкнутой системы ас=0. Это означает, что центр масс замкнутой системы движется прямолинейно и равномерно, либо покоится.
Система отсчета, относительно которой центр масс покоится, называется системой центра масс (сокращенно ц-системой). Эта система инерциальна. Система отсчета, связанная с измерительными приборами, называется лабораторной системой (сокращенно л-системой).
Энергия и работа
Энергия - это запас работы системы. Энергия является общей количественной мерой движения и взаимодействия всех видов материи. Энергия не исчезает и не возникает из ничего, она может лишь переходить из одной формы в другую. Понятие энергии связывает воедино все явления природы. В соответствии с различными формами движения материи рассматривают различные виды энергии: механическую, внутреннюю, электромагнитную, ядерную и др.
Механическая энергия бывает двух видов: кинетическая и потенциальная. Кинетическая энергия (или энергия движения) определяется массами и скоростями рассматриваемых тел. Потенциальная энергия (или энергия положения) зависит от взаимного расположения (от конфигурации) взаимодействующих друг с другом тел.
Работа определяется как скалярное произведение векторов силы и перемещения. Скалярным произведением двух векторов называется скаляр равный произведению модулей этих векторов и косинус угла между ними.
Понятия энергии и работы тесно связаны друг с другом.
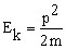
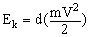
Кинетическая энергия частицы
(4)
Приняв во внимание, что произведение mV равно модулю импульса частицы р, выражению (4) можно придать вид
![]()

Если сила F , действующая на частицу, не равна нулю, кинетическая энергия получит за время dt приращение
(5)
где ds - перемещение частицы за время dt.
Величина
![]()
называется работой, совершаемой силой F на пути ds (ds - модуль перемещения ds).
Из (5) следует, что работа характеризует изменение кинетической энергии, обусловленное действием силы на движущуюся частицу
Если dA = Fds, а
, то
. (6)
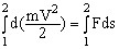
Проинтегрируем обе части равенства (6) вдоль траектории частицы от точки 1 до точки 2:
.
Левая часть полученного равенства представляет собой приращение кинетической энергии частицы:
.
Правая часть есть работа А12 силы F на пути 1-2:

Таким образом, мы пришли к соотношению
, (7)
из которого следует, что работа результирующей всех сил, действующих на частицу, идет на приращение кинетической энергии частицы.
Консервативные силыСилы, работа которых не зависит от пути, по которому двигалась частица, а зависит лишь от начального и конечного положений частицы, называются консервативными.
Легко показать, что работа сил на любом замкнутом пути равна нулю. Разобьем произвольный замкнутый путь (рис.1) точками 1 и 2 (взятыми также произвольно) на два участка, обозначенных римскими цифрами I и II. Работа на замкнутом пути слагается из работ, совершаемых на этих участках:
(8)
Рис.1
Изменение направления движения по участку II на обратное сопровождается заменой всех элементарных перемещений ds на -ds, вследствие чего
изменяет знак на обратный. Отсюда заключаем, что
. Произведя замену в (8), получим, что
![]()
Вследствие независимости работы от пути последнее выражение равно нулю. Таким образом, консервативные силы можно определить как силы, работа которых на любом замкнутом пути равна нулю.
Потенциальная энергия
Эта энергия определяется положением тела (высотой на которое оно поднято). Поэтому она называется энергией положения. Чаще ее называют потенциальной энергией.
Ep = mgh,
где h отсчитывается от произвольного уровня.
В отличие от кинетической энергии, которая всегда положительна, потенциальная энергия может быть как положительной, так и отрицательной.
Пусть частица движется в поле консервативных сил. При переходе из точки 1 в точку 2 над ней совершается работа
A12 = Ep1-Ep2 . (9)
В соответствии с формулой (7) эта работа равна приращению кинетической энергии частицы. Приняв оба выражения для работы, получим соотношение
, из которого следует, что
. (10)
Величина E, равная сумме кинетической и потенциальной энергий, называется полной механической энергией частицы. Формула (10) означает, что E1=E2, т.е. что полная энергия частицы, движущейся в поле консервативных сил. Остается постоянной. Это утверждение выражает закон сохранения механической энергии для системы, состоящей из одной частицы.
ЗАКОН СОХРАНЕНИЯ ЭНЕРГИИ
Рассмотрим систему, состоящую из N взаимодействующих друг с другом частиц, находящихся под воздействием внешних как консервативных, так и неконсервативных сил. Силы взаимодействия между частицами предполагаются консервативными. Определим работу, совершаемую над частицами при перемещении системы из одного места в другое, сопровождающимся изменением конфигурации системы.
Работа внешних консервативных сил может быть представлена как убыль потенциальной энергии системы
во внешнем силовом поле:
![]()
где
определяется формулой (9).
Работа внутренних сил равна убыли взаимной потенциальной энергии частиц:
,
где
- потенциальная энергия системы во внешнем поле сил.
Работу неконсервативных сил обозначим
.
Согласно формуле (7) суммарная работа всех сил затрачивается на приращение кинетической энергии системы Ek, которая равна сумме кинетических энергий частиц:

Следовательно,
.
Сгруппируем члены этого соотношения следующим образом:
.
Сумма кинетической и потенциальной энергий представляет собой полную механическую энергию системы E:
.
Таким образом, мы установили, что работа неконсервативных сил равна приращению полной энергии системы:
(11)
Из (11) следует, что в случае, когда неконсервативные силы отсутствуют, полная механическая энергия системы остается постоянной:
.
Мы пришли к закону сохранения механической энергии, который гласит, что полная механическая энергия системы материальных точек, находящихся под действием только консервативных сил, остается постоянной.
Если система замкнута и силы взаимодействия между частицами консервативны, то полная энергия содержит только два слагаемых:
(
- взаимная потенциальная энергия частиц). В этом случае закон сохранения механической энергии заключается в утверждении, что полная механическая энергия замкнутой системы материальных точек, между которыми действуют только консервативные силы, остается постоянной.
В основе закона сохранения энергии лежит однородность времени, т.е. равнозначность всех моментов времени, заключающаяся в том, что замена момента времени t1 моментом времени t2 без изменения значений координат и скоростей тел не изменяет механических свойств системы. Поведение системы, начиная с момента t2, будет таким же, каким оно было бы, начиная с момента t1.
Закон сохранения энергии имеет всеобщий характер. Он применим ко всем без исключения процессам, происходящим в природе. Полное количество энергии в изолированной системе тел и полей всегда остается постоянным; энергия лишь может переходить из одной формы в другую. Этот факт является проявлением неуничтожаемости материи и ее движения.
ЗАКОН СОХРАНЕИЯ МОМЕНТА ИМПУЛЬСАМоментом импульса материальной точки (частицы) относительно точки О называется векторная величина
(12)
где r - радиус-вектор, определяющий положение частицы относительно точки О, а p=mV – импульс частицы. Модуль этой величины, равный rpsinα, можно представить в виде произведения плеча
импульса на модуль вектора p:
L=
p.
Плечом импульса называется длина
перпендикуляра, опущенного из точки О на прямую, вдоль которой направлен импульс частицы.
Частица обладает моментом импульса, независимо от формы траектории, по которой она движется. Рассмотрим два частных случая.
- Частица движется вдоль прямолинейной траектории (рис.2). Модуль момента импульса L=mV
может изменяться только за счет изменения модуля скорости.
Рис.2 Рис.3
2.Частица движется по окружности радиуса r (рис.3). Модуль момента импульса относительно центра окружности равен
L=mVrи так же, как в предыдущем случае, может изменяться только за счет изменения модуля скорости. Несмотря на непрерывное изменение направления вектора p, направление вектора L остается постоянным.
Проекция вектора L на произвольную ось z, проходящую через точку О, называется моментом импульса частицы относительно этой оси:
.
Псевдовектор
M=(rF)Называется моментом силы F относительно точки О, из которой проводится радиус-вектор r точки приложения силы. Модуль момента силы можно представить в виде
M=rFsinα=
F,
где
=sinα - плечо силы относительно точки О (т.е. длина перпендикуляра, опущенного из точки О на прямую, вдоль которой действует сила).
Проекция вектора M на некоторую ось z, проходящую через точку О, относительно которой определен M, называется моментом силы относительно этой оси:
![]()
Силы взаимодействия между частицами действуют в противоположные стороны вдоль одной и той же прямой. Их моменты относительно произвольной точки О равны по величине и противоположны по направлению. Поэтому моменты внутренних сил попарно уравновешивают друг друга, и сумма моментов всех внутренних сил для любой системы частиц, в частности для твердого тела, всегда равна нулю:
(13)
Выясним, от чего зависит изменение момента импульса частицы. С этой целью продифференцируем выражение (12) по времени:
.
Согласно второму закону Ньютона
- результирующей сил, действующих на частицу; по определению
. Поэтому можно написать, что
![]()
Второе слагаемое является векторным произведением коллинеарных векторов и поэтому равно нулю. Первое слагаемое представляет собой момент силы F относительно той же точки, относительно которой взят момент импульса L. Следовательно, мы приходим к соотношению
, (14)
согласно которому скорость изменения момента импульса со временем равна суммарному моменту сил, действующих на частицу.
Спроектировав векторы, фигурирующие в уравнении (14), на произвольную ось z, проходящую через точку О, получим соотношение
.
Таким образом, производная по времени от момента импульса относительно оси равна моменту относительно той же оси сил, действующих на частицу.
Рассмотрим систему частиц, на которые действуют как внутренние, так и внешние силы. Моментом импульса L системы относительно точки О называется сумма моментов импульса Li отдельных частиц:
![]()
Дифференцирование по времени дает, что
(15)
В соответствии с (14) для каждой из частиц можно написать равенство
,
где
- момент внутренних сил, а
- момент внешних сил, действующих на i-ю частицу. Подстановка этих равенств в (15) приводит к соотношению:
.
Каждое из слагаемых в этих суммах представляет собой сумму моментов сил, действующих на i-ю частицу. Суммирование осуществляется по частицам. Если перейти к суммированию по отдельным силам, независимо от того, к какой из частиц они приложены, индекс i в суммах можно опустить.
Согласно (13)суммарный момент внутренних сил равен нулю. Поэтому получаем окончательно, что
(16)
Формула (16) сходна с формулой (1). Из сравнения этих формул заключаем, что подобно тому, как производная по времени от импульса системы равна сумме моментов внешних сил.
Спроектировав векторы, фигурирующие в формуле (16) на произвольную ось z, проходящую через точку О, придем к уравнению
(17)
Если система замкнута (т.е. внешних сил нет), правая часть равенства (16) равна нулю и, следовательно, вектор L не изменяется со временем. Отсюда вытекает закон сохранения момента импульса, который гласит, что момент импульса замкнутой системы материальных точек остается постоянным. Разумеется, будет оставаться постоянным и момент импульса замкнутой системы относительно любой оси, проходящей через точку О.
Момент импульса сохраняется и для незамкнутой системы, если сумма моментов внешних сил равна нулю. Согласно (17) сохраняется момент импульса системы относительно оси z при условии, что сумма моментов внешних сил относительно этой оси равна нулю.
В основе закона сохранения момента импульса лежит изотропия пространства, т.е. одинаковость свойств пространства по всем направлениям. Поворот замкнутой системы частиц без изменения их взаимного расположения (конфигурации) и относительных скоростей не изменяет механических свойств системы. Движение частиц друг относительно друга после поворота будет таким же, каким оно было бы, если бы поворот не был осуществлен.
СПИСОК ИСПОЛЬЗОВАННОЙ ЛИТЕРАТУРЫ- Справочник по элементарной физике, Ширкевич М.Г., Москва 1975;
- Курс общей физики, Т.1, Савельев И.В., Москва 1977;
- Курс физики, Т.1,2, Савельев И.В., Москва 1989;
- Элементарный учебник физики, Т.1, Ландсберг Г.С., Москва 1958.