Распределение Больцмана
Идеальный газ. Распределение Больцмана.Под идеальным газом будем понимать газ, между частицами которого взаимодействие настолько мало, что им можно пренебречь. Это предположение может быть обеспечено малостью взаимодействия частиц при любых расстояниях между ними, либо при достаточной разрежённости газа. Отсутствие взаимодействия между молекулами позволяет свести задачу об определении уровней энергии En всего газа в целом к определению уровней энергии отдельной молекулы (будем их обозначать εk, где индекс k представляет собой совокупность квантовых чисел, определяющих состояние молекулы, энергии En выразятся, как суммы энергий по молекулам).
Обозначим через nk число частиц, находящихся в k-том квантовом состоянии (это так называемые числа заполнения различных квантовых состояний) и поставим задачу вычислить средние значения nk этих чисел, причём будем рассматривать случай, когда nk << 1.
То есть мы рассматриваем достаточно разрежённый газ. (фактически это выполняется для всех обычных молекулярных или атомных газов).
Условие nk << 1 означает, что в каждый момент времени в каждом квантовом состоянии реально находится не более одной частицы, в связи с этим можно пренебрегать не только непосредственным силовым взаимодействием частиц, но и их косвенным квантомеханическим взаимным влиянием. А это обстоятельство, в свою очередь, позволяет нам применить к отдельным молекулам формулу распределения Гиббса.
Итак, применив к молекулам формулу Гиббса, мы утверждаем, что:
, где a – константа, определяемая из условия нормировки: ![]()
(N – полное число частиц в газе). Это и есть распределение Больцмана (L.Boltzmann, 1877).
Константа a может также быть выражена через термодинамические величины газа.
Применим распределение Гиббса к совокупности всех частиц, находящихся в данном квантовом состоянии. Мы можем это сделать (даже если nk не малы), поскольку непосредственного силового взаимодействия между этими и остальными частицами нет, а квантомеханические эффекты имеют место лишь для частиц, находящихся в одном и том же состоянии. Положим в общей форме распределения Гиббса с переменным числом частиц E = nkεk, N = nk и, приписывая индекс k величине Ω, получим распределение вероятностей различных значений nk в виде: 
В частности,
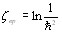
есть вероятность полного отсутствия частицы в данном состоянии. В интересующем нас случае, когда nk << 1, вероятность ω0 близка к единице; поэтому в выражении ω1 для вероятности наличия одной частицы в k-том состоянии можно положить, опуская члены высшего порядка малости, exp(Ωk / T) = 1. Тогда 
Что же касается вероятностей значений nk > 1, то они в этом приближении должны быть положены равными нулю. Поэтому
И мы получаем распределение Больцмана в виде: 
Таким образом, коэффициент a в законе распределения Больцмана оказывается выраженным через химический потенциал газа.
Свободная энергия больцмановского идеального газаПрименим общую формулу:
для вычисления свободной энергии газа, описываемого статистикой Больцмана:

всем состояниям газа к суммированию по всем состояниям отдельной молекулы. Каждое состояние газа будет определяться набором N (число молекул в газе) значений εk, которые в больцмановском случае можно считать различными между собой (в каждом молекулярном состоянии – не более одной молекулы). Напишем exp(-En/T) в виде произведения множителей exp(-εk/T) для каждой из молекул и суммируя независимо по всем состояниям каждой молекулы, мы получим 
![]()
Набор возможных значений εk для всех молекул газа одинаков, а потому одинаковы и суммы
Σ exp(-εk/T).
Учтём, однако, что все наборы N различных значений εk, отличающиеся лишь распределением одинаковых молекул газа по уровням εk соответствуют одному и тому же квантовому состоянию газа. В статсумме же каждое из состояний должно учитываться один раз. Поэтому мы должны ещё разделить выражение (*) на число возможных перестановок N молекул друг с другом, т.е. на N!.
Таким образом: 
Подставляя в общую формулу, получаем:

Поскольку N – очень большое число, то для ln(N!) можно воспользоваться приближением ln(N!) ≈ N⋅ln(N/e). В результате
получим следующее: 
Эта формула позволяет нам вычислить свободную энергию любого газа, состоящего из одинаковых частиц и подчиняющегося статистике Больцмана.
В классической статистике это может быть переписано как: 
Двухатомные молекулы из одинаковых атомов обладают специфическими особенностями, которые мы рассмотрим на примере пара- и ортоводорода.
Параводород
![]()


Множитель (2К+1) во вращательной сумме учитывает вырождение вращательных уровней по направлениям момента К. Свободная энергия, в конечном итоге выражается из трёх частей: 
Первый член связан со степенями свободы поступательного движения молекул, назовём его поступательной частью
.
Вращательная и колебательные части:
![]()
, с постоянной теплоёмкостью
и химической постоянной
.
Полная теплоёмкость будет выражаться в виде суммы
,
.
Займёмся вращательной свободной энергией. Если температура настолько велика, что
, то вращательная статсумма может быть заменена интегралом ![]()
Здесь ε(M) – выражение кинетической энергии вращения как функции момента вращения М.
![]()
Отсюда свободная энергия 
Таким образом, при рассматриваемых не слишком низких температурах вращательная часть теплоёмкости оказывается постоянной и равной
в соответствии с общими результатами классического рассмотрения. Вращательная часть химической постоянной равна
. Существует значительная область температур, в которой выполняется ![]()
и в то же время колебательная часть свободной энергии, а вместе с нею и колебательная часть теплоёмкости отсутствуют. В этой области теплоёмкость двухатомного газа равна
, т.е.
,
, а химическая постоянная
.
первых члена суммы: ![]()
В том же приближении для свободной энергии: ![]()
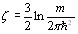
Энтропия: 
И, наконец, теплоёмкость: 
Двухатомный газ с молекулами из
одинаковых атомов. Вращение молекул.
Двухатомные молекулы, состоящие из одинаковых атомов, обладают специфическими особенностями, что приводит к необходимости изменить полученные выше формулы.
Прежде всего, остановимся на высокотемпературном случае в классическом рассмотрении. Благодаря тому, что ядра одинаковы, две взаимно противоположные ориентации оси молекулы соответствуют теперь одному и тому же физическому состоянию молекулы. Поэтому классический статистический интеграл (**) должен быть разделён пополам, и приведёт к изменению химической постоянной, которая теперь равна
.
Исчезнет также и множитель 2 в аргументе логарифма (***).
Фактически этот вопрос нас интересует в применении к изотопам водорода (
и
), и ниже везде будем иметь в виду именно эти газы. Требование квантовомеханической симметрии по ядрам приводит к тому, что у электронного терма
(нормальный терм молекулы водорода) вращательные уровни с чётными и нечётными значениями К обладают различными ядерными кратностями вырождения: уровни с чётными (нечётными) К осуществляются лишь при чётном (нечётном) суммарном спине обоих ядер и имеют относительные кратности вырождения
![]()
при полуцелом спине ядер i , или
![]()
при целом i.
Для водорода принята терминология, согласно которой молекулы, находящиеся в состояниях с большим ядерным статистическим весом , называют молекулами ортоводорода, а в состояниях с меньшим весом – молекулами параводорода. Таким образом, для молекул
и
имеем следующие значения статистических весов:
(орто
,
)
(
,
)
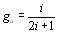
В то время как у молекул с различными ядрами ядерные кратности вырождения у всех вращательных уровней одинаковы и потому учёт этого вырождения привёл бы нас к малоинтересному изменению химической постоянной, здесь оно приводит к изменению самого вида статсуммы, которая теперь выглядит так:
,
где


Соответствующим образом изменится свободная энергия
![]()
и остальные термодинамические величины.
При высоких температурах
, так что для свободной энергии получается, как и следовало ожидаемое классическое выражение.
При Т→0 сумма
, а
(экспоненциально); т.е. при низких температурах газ будет вести себя как одноатомный (теплоёмкость
), к химической постоянной которого надо только добавить ядерную часть
.
Написанные формулы относятся к газу в полном тепловом равновесии. В таком газе отношение чисел молекул пара- и ортоводорода есть функция температуры:
