Принцип относительности Эйнштейна
Средняя школа №6
Реферат по физике
на тему:
Принцип
относительности
Эйнштейна
ученика 11 класса «М»
Клина Романа
Химки — 1998 г.
Содержание
Биография Альберта Эйнштейна 3
Относительность одновременности событий 4
Преобразования Лоренца 5
Зависимость массы тела от скорости 5
Закон взаимосвязи массы и энергии 7
Значение теории относительности 8
Список использованной литературы: 9
Биография Альберта Эйнштейна(1879-1955)Выдающийся физик, создатель теории относительности, один из создателей квантовой теории и статистической физики.
Родился в Германии, в городе Ульме. С 14 лет вместе с семьей жил в Швейцарии, где в 1900 г. окончил Цюрихский политехникум. В 1902-1909 гг. служил экспертом патентного бюро в Берне. В эти годы Эйнштейн создал специальную теорию относительности, выполнил исследования по статистической физике, броуновскому движению, теории излучения и др. Работы Эйнштейна получили известность, и в 1909 г. он был избран профессором Цюрихского университета, а затем — Немецкого университета в Праге. В 1914 г. Эйнштейн был приглашен преподавать в Берлинский университет. В период своей жизни в Берлине он завершил создание общей теории относительности, развил квантовую теорию излучения. За открытие законов фотоэффекта и работы в области теоретической физики Эйнштейн получил в 1921 г. Нобелевскую премию. В 1933 г. после прихода к власти в Германии фашистов Эйнштейн эмигрировал в США, в Принстон, где он до конца жизни работал в Институте высших исследований.
В 1905 г. была опубликована специальная теория относительности — механика и электродинамика тел, движущихся со скоростями, близкими к скорости света.
Тогда же Эйнштейн открыл закон взаимосвязи массы и энергии (Е=mc2), который лежит в основе всей ядерной энергетики.
Ученый внес большой вклад в развитие квантовой теории. В его теории фотоэффекта свет рассматривается как поток квантов (фотонов). Существование фотонов было подтверждено в 1923 г. в экспериментах американского физика А. Комптона. Эйнштейн установил основной закон фотохимии (закон Эйнштейна), по которому каждый поглощенный квант света вызывает одну элементарную фотохимическую реакцию. В 1916 г. он теоретически предсказал явление индуцированного (вынужденного) излучения атомов, лежащее в основе квантовой электроники.
Вершиной научного творчества Эйнштейна стала общая теория относительности, завершенная им к 1916 г. Идеи Эйнштейна изменили господствовавшие в физике со времен Ньютона механистические взгляды на пространство, время и тяготение и привели к новой материалистической картине мира.
Ученый работал и над созданием единой теории поля, объединяющей гравитационные и электромагнитные взаимодействия. Научные труды Эйнштейна сыграли большую роль в развитии современной физики - квантовой электродинамики, атомной и ядерной физики, физики элементарных частиц, космологии, астрофизики.
А. Эйнштейн был членом многих академий мира и научных обществ. В 1926 г. его избрали почетным членом Академии наук СССР.
Относительность одновременности событийВ механике Ньютона одновременность двух событий абсолютна и не зависит от системы отсчёта. Это значит, что если два события происходят в системе K в моменты времени t и t1, а в системе K’ соответственно в моменты времени t’ и t’1 , то поскольку t=t’, промежуток времени между двумя событиями одинаков в обеих системах отсчёта
![]()
В отличие от классической механики, в специальной теории относительности одновременность двух событий, происходящих в разных точках пространства, относительна: события, одновременные в одной инерциальной системе отсчёта, не одновременны в других инерциальных системах1, движущихся относительно первой. На рисунке (см. ниже) расположена схема эксперимента, который это иллюстрирует. Система отсчета K связана с Землёй, система K’ — с вагоном, движущимся относительно Земли прямолинейно и равномерно со скоростью v. На Земле и в вагоне отмечены точки А, М, В и соответственно А’, M’ и В’, причем АМ=МВ и А’M’=M’B’. В момент, когда указанные точки совпадают, в точках А и В происходят события — ударяют две молнии. В системе К сигналы от обоих вспышек придут в точку М одновременно, так как АМ=МВ, и скорость света одинакова во всех направлениях. В системе К’, связанной с вагоном, сигнал из точки В’ придет в точку M’ раньше, чем из точки А’, ибо скорость света одинакова во всех направлениях, но М’ движется навстречу сигналу пущенному из точки B’ и удаляется от сигнала, пущенного из точки А’. Значит, события в точках А’ и B’ не одновременны: события в точке B’ произошло раньше, чем в точке A’. Если бы вагон двигался в обратном направлении, то получился бы обратный результат.

Понятие одновременности пространственно разделенных событий относительно. Из постулатов теории относительности и существования конечной скорости распространения сигналов следует, что в разных инерциальных системах отсчёта время протекает по-разному.
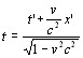
Преобразования ЛоренцаВ соответствии с двумя постулатами специальной теории относительности между координатами и временем в двух инерциальных системах К и К' существуют отношения, которые называются преобразованиями Лоренца.
В простейшем случае, когда система К’ движется относительно системы К со скоростью v так, как показано на рисунке (см ниже), преобразования Лоренца для координат и времени имеют следующий вид:
,
,
,
,
,
,
,
.
Из преобразований Лоренца вытекает тесная связь между пространственными и временными координатами в теории относительности; не только пространственные координаты зависят от времени (как в кинематике), но и время в обеих системах отсчёта зависит от пространственных координат, а также от скорости
движения системы отсчёта K’.
Формулы преобразований Лоренца переходят в формулы кинематики при v/c<<1. В этом случае
,
,
,
,
,
,
,
.
Переход формул теории относительности в формулы кинематики при условии v/c <<1 является проверкой справедливости этих формул.
Зависимость массы тела от скоростиЗависимость свойств пространства и времени от движения системы отсчета приводит к тому, что сохраняющейся при любых взаимодействиях тел является величина
,
называемая релятивистским импульсом, а не классический импульс.
Классический закон сложения скоростей и классический закон сохранения импульса являются частными случаями универсальных релятивистских законов и выполняются только при значениях скоростей, значительно меньших скорости света в вакууме.
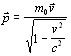
Релятивистский импульс тела можно рассматривать как произведение релятивистской массы т тела на скорость его движения. Релятивистская масса т тела возрастает с увеличением скорости по закону
,
где
— масса покоя тела,
— скорость его движения.
Возрастание массы тела с увеличением скорости приводит к тому, что ни одно тело с массой покоя, не равной нулю, не может достигнуть скорости, равной скорости света в вакууме, или превысить эту скорость. Скорость
, большая
, приводит для обычных частиц к мнимой массе и мнимому импульсу, что физически бессмысленно. Зависимость массы от скорости начинает сказываться лишь при скоростях, весьма близких к
(См рисунок №2). Приведённые в этом пункте формулы неприменимы к фотону, так как у него отсутствует масса покоя (
). Фотон всегда движется со скоростью, равной скорости света в вакууме, и является ультрарелятивистской частицей. Тем не менее, отсюда не следует постоянство скорости света во всех веществах.
При
выражение для импульса переходит в то, которое используется в механике Ньютона
, где под
понимается масса покоя (
), ибо при
различие
и
несущественно.
Рисунок №2
Полная энергия Е тела (или частицы) пропорциональна релятивистской массе
(закон взаимосвязи массы и энергии):
,
где с - скорость света в вакууме. Релятивистская масса зависит от скорости
, с которой тело (частица) движется в данной системе отсчета. Поэтому полная энергия различна в разных системах отсчета2.
Наименьшей энергией
тело (частица) обладает в системе отсчета, относительно которой оно покоится (
). Энергия
называется собственной энергией или энергией покоя тела (частицы):
.
Энергия покоя тела является его внутренней энергией Она состоит из суммы энергий покоя всех частиц тела
, кинетической энергии всех частиц относительно общего центра масс и потенциальной энергии их взаимодействия. Поэтому
и ![]()
где
— масса покоя
- й частицы.
В релятивистской механике несправедлив закон сохранения массы покоя. Например, масса покоя
атомного ядра меньше, чем сумма собственных масс частиц, входящих в ядро. Наоборот масса
покоя частицы, способной к самопроизвольному распаду, больше суммы собственных масс продуктов распада
и
:
.
Несохранение массы покоя не означает нарушения закона сохранения массы вообще. В теории относительности справедлив закон сохранения релятивистской массы. Он вытекает из формулы закона взаимосвязи массы и энергии
. В изолированной системе тел сохраняется полная энергия. Следовательно, сохраняется и релятивистская масса. В теории относительности законы сохранения энергии и релятивистской массы взаимосвязаны и представляют собой единый закон сохранения массы и энергии. Однако из этого законаотнюдь не следует возможность преобразования массы в энергию и обратно. Масса и энергия представляют собой два качественно различных свойства материи, отнюдь не «эквивалентных» друг другу. Ни один из известных опытных фактов не дает оснований для вывода о «переходе массы в энергию». Превращение энергии системы из одной формы в другую сопровождается превращением массы. Например, в явлении рождения и уничтожения пары электрон — позитрон, в полном соответствии с законом сохранения релятивистской массы и энергии, масса не переходит в энергию. Масса покоя частиц (электрона ипозитрона) преобразуется в массу фотонов, то есть в массу электромагнитного поля.
Гипотеза Эйнштейна о существовании собственной энергии тела подтверждается многочисленными экспериментами. На основе использования закона взаимосвязи массы и энергии ведутся расчеты выхода энергии в различных ядерных энергетических установках.
Значение теории относительностиСорок - пятьдесят лет назад можно было наблюдать очень большой интерес к теории относительности со стороны широких кругов несмотря на то, что тогда в книгах и статьях по теории относительности речь шла об очень далеких от повседневного опыта и очень абстрактных вещах. Широкие круги проявили удивительное чутье, они чувствовали, что теория, с такой смелостью посягнувшая на основные представления о пространстве и времени, не может не привести при своем развитии и применении к очень глубоким и широким производственно - техническим и культурным последствиям. Это предчувствие не обмануло людей. Воплощением нового релятивистского учения об энергии, а следовательно, и всей теории относительности в целом является атомная эра, которая расширяет власть человека над природой больше, чем это сделали предшествующие научные и технические революции.
Атомная эра будет эрой дальнейших коренных преобразований физической картины мира. Сейчас нельзя предвидеть, каким образом изменятся представления о пространстве, времени, движении, элементарных частицах и их взаимодействиях. Можно указать только на некоторые проблемы современной физики, которые, видимо, будут решены лишь при переходе к новой физической картине мира.
Теория относительности, созданная Эйнштейном в 1905 г., стала законченной теорией движения макроскопических тел. Её применение в теории элементарных частиц наталкивается на ряд серьезных трудностей, которые, быть может, свидетельствуют о необходимости нового понимания принципа относительности. Развитие атомной и особенно ядерной физики - блестящий триумф теории Эйнштейна - указывает вместе с тем на возможное дальнейшее развитие и обобщение этой теории.
Теория относительности ждет дальнейшего развития и обобщения и в другом направлении, помимо картины движений, взаимодействий и трансмутаций элементарных частиц в областях порядка 10-13 см, Она все в большей степени становится теорией, описывающей строение космических областей, по сравнению с которыми исчезающе малы расстояния между звездами и даже расстояния между галактиками.
Список использованной литературы:- О.Ф. Кабардин «Физика. Справочные материалы»
- Б.М. Яворский, Ю.А. Селезнёв «Справочное руководство по физике»
- Б.Г. Кузнецов «Беседы о теории относительности»
1 Системы отсчёта, в которых справедлив закон инерции (первый закон Ньютона) называют инерциальными системами отсчёта
2 Тело (или частица) не находится в силовом поле