Определение горизонтальной составляющей магнитного поля земли
ЛИПЕЦКИЙ ГОСУДАРСТВЕННЫЙ ПЕДАГОГИЧЕСКИЙ ИНСТИТУТКАФЕДРА ТЕОРЕТИЧЕСКАЙ И ОБЩЕЙ ФИЗИКИКурсовая работа по физике.ОПРЕДЕЛЕНИЕ ГОРИЗОНТАЛЬНОЙ СОСТАВЛЯЮЩЕЙ МАГНИТНОГО ПОЛЯ ЗЕМЛИ.
Выполнил студент группы фпо–3 Казанцев Н.Н.Руководитель доцент кафедры ТОФ
Грызов Ю.В.
ЛИПЕЦК2000.
- МАГНИТНОЕ ПОЛЕ.
Магнитное поле представляет собой особую форму материи, посредством которого осуществляется взаимодействие между движущимися электрически заряженными частицами.
Основные свойства магнитного поля:
- магнитное поле порождается электрическим током (движущимися зарядами).
- Магнитное поле обнаруживается по действию на электрический ток (движущиеся заряды).
Открыл магнитное поле в 1820 г. датский физик Х.К. Эрстед.
Магнитное поле имеет направленный характер и должно характеризоваться векторной величиной. Эту величину принято обозначать буквой В. Логично было бы по аналогии с напряжённостью электрического поле Е назвать В напряжённостью магнитного поля. Однако по историческим причинам основную силовую характеристику магнитного поля назвали магнитной индукцией. Название же "напряжённость магнитного поля" оказалась присвоенной вспомогательной характеристике D электрического поля.
Магнитное поле, в отличии от электрического, не оказывает действие на покоящийся заряд. Сила возникает лишь тогда, когда заряд движется.
Итак, движущиеся заряды (токи) изменяют свойства окружающего их пространства – создают в нём магнитное поле. Это проявляется в том, что на движущиеся в нём заряды (токи) действуют силы.
Опыт даёт. Что для магнитного, как и для электрического, справедлив принцип суперпозиции:
поле В, порождаемое несколькими движущимися зарядами (токами), равно векторной сумме полей BI, порождаемых каждым зарядом (током) в отдельности:
.
II. ОБЩАЯ ХАРАКТЕРИСТИКА МАГНИТНОГО ПОЛЯ ЗЕМЛИ.
Земля в целом представляет собой огромный шаровой магнит. Человечество начало использовать магнитное поле Земли давно. Уже в начале XII—XIII вв. получает широкое распространение в мореходстве компас. Однако в те времена считалось, что стрелку компаса ориентирует Полярная звезда и её магнетизм. Предположение о существовании магнитного поля Земли впервые высказал в 1600 г. английский естествоиспытатель Гильберт.
В любой точке пространства, окружающего Землю, и на её поверхности обнаруживается действие магнитных сил. Иными словами, в пространстве, окружающем Землю, создаётся магнитное поле, силовые линии которого изображены на рис.1.
Магнитные и географические полюса Земли не совпадают друг с другом. Северный магнитный полюс N лежит в южном полушарии, вблизи берегов Антарктиды, а южный магнитный полюс S находится в Северном полушарии, вблизи северного берега острова Виктория (Канада). Оба полюса непрерывно перемещаются (дрейфуют) на земной поверхности со скоростью около 5 за год из-за переменности порождающих магнитное поле процессов. Кроме того, ось магнитного поля не проходит через центр Земли, а отстаёт от него на 430 км. Магнитное поле Земли не симметрично. Благодаря тому, что ось магнитного поля проходит всего под углом в 11,5 градусов к оси вращения планеты, мы можем пользоваться компасом.
Основная часть магнитного поля Земли, по современным воззрениям, имеет внутриземное происхождение. Магнитное поле Земли создаётся её ядром. Внешнее ядро Земли жидкое и металлическое. Металл – проводящее ток вещество, и если бы существовали в жидком ядре постоянные течения, то соответствующий электрический ток создавал бы магнитное поле. Благодаря вращению Земли, такие течения в ядре существуют, т.к. Земля в некотором приближении является магнитным диполем, т.е. своеобразным магнитом с двумя полюсами: южным и северным.
Незначительная часть магнитного поля (около 1%) имеет внеземное происхождение. Возникновение этой части приписывают электрическим токам, текущим в проводящих слоях ионосферы и поверхности Земли. Эта часть магнитного поля Земли подвержена слабому изменению со временем, которое называется вековой вариацией. Причины существования электрических токов в вековой вариации неизвестны.
В идеальном и гипотетическом предположении, в котором Земля была бы одинока в космическом пространстве, силовые линии магнитного поля планеты располагались таким же образом, как и силовые линии обычного магнита из школьного учебника физики, т.е. в виде симметричных дуг, протянувшихся от южного полюса к северному. Плотность линий (напряжённость магнитного поля) падала бы с удалением от планеты. На деле, магнитное поле Земли находится во взаимодействии с магнитными полями Солнца, планет и потоков заряженных частиц, испускаемых в изобилии Солнцем. Если влиянием самого Солнца и тем более планет из-за удалённости можно пренебречь, то с потоками частиц, иначе – солнечным ветром, так не поступишь. Солнечный ветер представляет собой потоки мчащихся со скоростью около 500 км/с частиц, испускаемых солнечной атмосферой. В моменты солнечных вспышек, а также в периоды образования на Солнце группы больших пятен, резко возрастает число свободных электронов, которые бомбардируют атмосферу Земли. Это приводит к возмущению токов текущих в ионосфере Земли и, благодаря этому, происходит изменение магнитного поля Земли. Возникают магнитные бури. Такие потоки порождают сильное магнитное поле, которое и взаимодействует с полем Земли, сильно деформируя его. Благодаря своему магнитному полю, Земля удерживает в так называемых радиационных поясах захваченные частицы солнечного ветра, не позволяя им проходить в атмосферу Земли и тем более к поверхности. Частицы солнечного ветра были бы очень вредны для всего живого. При взаимодействии упоминавшихся полей образуется граница, по одну сторону которой находится возмущённое (подвергшееся изменениям из-за внешних влияний) магнитное поле частиц солнечного ветра, по другую – возмущённое поле Земли. Эту границу стоит рассматривать как предел околоземного пространства, границу магнитосферы и атмосферы. Вне этой границы преобладает влияние внешних магнитных полей. В направлении к Солнцу магнитосфера Земли сплюснута под натиском солнечного ветра и простирается всего до 10 радиусов планеты. В противоположном направлении имеет место вытянутость до 1000 радиусов Земли.
Основная часть магнитного поля Земли обнаруживает аномалии в различных районах земной поверхности. Эти аномалии, по-видимому, следует приписать присутствию в земной коре ферромагнитных масс или различию магнитных свойств горных пород. Поэтому изучение магнитных аномалий имеет практическое значение при исследовании полезных ископаемых.
Существование магнитного поля в любой точке Земли можно установить с помощью магнитной стрелки. Если подвесить магнитную стрелку NS на нити l (рис.2) так, чтобы точка подвеса совпадала с центром тяжести стрелки, то стрелка установится по направлению касательной к силовой линии магнитного поля Земли.
В северном полушарии - южный конец будет наклонён к Земле и стрелка составит с горизонтом угол наклонения Θ (на магнитном экваторе наклонение Θ равно нулю). Вертикальная плоскость, в которой расположится стрелка, называется плоскостью магнитного меридиана. Все плоскости магнитных меридианов пересекаются по прямой NS, а следы магнитных меридианов на земной поверхности сходятся в магнитных полюсах N и S. Так как магнитные полюса не совпадают с географическими полюсами, то стрелка будет отклонена от географического меридиана. Угол, который образует вертикальная плоскость, проходящая через стрелку (т.е. магнитный меридиан), с географическим меридианом, называется магнитным склонением α (рис. 2). Вектор
полей напряжёности магнитного поля Земли можно разложить на две составляющие: горизонтальную
и вертикальную
(рис. 3). Значение углов наклонения и склонения, а также горизонтальной составляющей
дают возможность определить величину и направление полной напряжённости магнитного поля Земли в данной точке. Если магнитная стрелка может свободно вращаться лишь вокруг вертикальной оси, то она будет устанавливаться под действием горизонтальной составляющей магнитного поля Земли в плоскости магнитного меридиана. Горизонтальная составляющая
, магнитное склонение α и наклонение Θ называются элементами земного магнетизма. Все элементы земного магнетизма изменяются с течением времени.
Рассмотрим круговой проводник из n витков, прилегающих достаточно плотно друг к другу, расположенных вертикально в плоскости магнитного меридиана. В центре проводника поместим магнитную стрелку, вращающуюся вокруг вертикальной оси. Если по катушке пропустить ток I, то возникает магнитное поле с напряжённостью H, направленное перпендикулярно к плоскости катушки. Т.о., на стрелку будут действовать два взаимно перпендикулярных поля: магнитное поле Земли и магнитное поле тока. Напряжённости обеих полей взаимно перпендикулярны. На рис. 4. изображено сечение катушки горизонтальной плоскостью. Здесь
– вектор напряжённости поля, созданного круговым током,
– горизонтальная составляющая магнитного поля Земли. Стрелка установится по направлению равнодействующей
, т.е. по диагонали параллелограмма, сторонами которого будут вектор напряжённости магнитного поля кругового тока ![]()
и
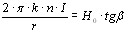
.Рассматривая рис.4 получим:
;
с другой стороны. Напряжённость магнитного поля в центре катушки тангенс–гальванометра равна:
;
где r – радиус витка. Тогда:

откуда:
; где
.
( I )
является постоянной тангенс – гальванометра, тогда:_
( 2 ).
( 3 ).
Таким образом, круговой проводник с магнитной стрелкой может быть использован для измерения силы тока, текущего по цепи. Прибор, основанный на вышеописанном принципе, носит название тангенс–гальванометра.
Тангенс–гальванометр, используемый в данной работе, состоит из катушки, в центре которой на вертикальной оси располагается магнитная стрелка. Стрелка может свободно вращаться внутри круглой коробки с прозрачной крышкой (компас). По контору дна коробки намечена круговая шкала, проградуированная в угловых градусах.
ПРАКТИЧЕСКАЯ ЧАСТЬ.
- Собрать электрическую цепь лабораторной установки по схеме. Источником напряжения служит выпрямитель ВС–24 М.С. С помощью переключателя К изменяют направление тока, текущего через тангенс–гальванометр tgθ.
- Установить tgθ так, чтобы плоскость витков катушки совпадала с плоскостью магнитного меридиана, т.е. чтобы магнитная стрелка расположилась в плоскости витков катушки, указывая при этом на С и Ю.
- Регулятор напряжения R на панели выпрямителя вывести в крайнее левое положение. Включить выпрямитель и поставить переключатель К в левое или правое положение. Регулятором напряжения R установить ток в цепи I=0,5A. зафиксировать угол отклонения магнитной стрелки. Перекинуть ключ К в противоположное положение и также зафиксировать угол отклонения стрелки. Это необходимо для плоскости нахождения среднеарифметического значения угла отклонения магнитной стрелки, т.к. всегда имеется неточность в установлении витков tgθ в плоскости магнитного меридиана.
- Выполнить пункт 3 при значениях тока I=1A и 1,5A.
- Результаты измерений занести в таблицу:
# | Ι | φ1 | φ2 | φср. | tgφ | H0 | H0ср | ΔHо | ΔH0ср |
1. | |||||||||
2. | |||||||||
3. |
Таблица 1.
При каждом значении тока определить горизонтальную составляющую магнитного поля Земли по формуле:
( 4 );
т.к. в системе СИ коэффициент пропорциональности К в формуле ( 2 ) равен
.
- Найти среднеарифметическое значение
. - Вычислить погрешность вычисления
при каждом значении тока:
( 5 ),
и затем среднее значение
.
- записать окончательно результат работы в виде:
( 6 ).
- Основные характеристики магнитного поля.
- Закон Био-Савара-Лапласа.
- Магнитное поле кругового тока.
- Магнитное поле Земли: причини существования, магнитное наклонение, горизонтальная составляющая поля, вертикальная составляющая поля.
- Калашников С.Г. "Электричество".
- Савельев И.В. "Курс общей физики", т.2.
- Детлаф А.А., Яворский Б.М. Курс физики. М.: Высшая школа,1989. Гл.22.
- Евграфова Н.Н., Каган В.Л. Руководство к лабораторным работам по физике. М.: Высшая школа, 1970. с.177.
- Кортнев А.В., Рублёв Ю.В., Куценко А.Н. Практикум по физике. М.: Высшая школа, 1965. с.331.
![]()