Материалы ядерной энергетики

МОРДОВСКИЙ ГОСУДАРСТВЕННЫЙ УНИВЕРСИТЕТ.

ФИЗИЧЕСКИЙ ФАКУЛЬТЕТ.

БАШЛЫКОВ Н.А.

МАТЕРИАЛЫ ЯДЕРНОЙ ЭНЕРГЕТИКИ.

СОДЕРЖАНИЕ:

  1. ВВЕДЕНИЕ . . . . . . . . . . . . . . . . . . . . . . . . . . . . . . . . . . . . . . . 2.
  1. ФИЗИЧЕСКИЕ ПРОЦЕССЫ В ОБЛУЧАЕМЫХ

МАТЕРИАЛАХ . . . . . . . . . . . . . . . . . . . . . . . . . . . . . . . . . . . .3.

3. СМЕЩЕНИЕ АТОМОВ В КРИСТАЛЛИЧЕС-

КОЙ РЕШЁТКЕ ПОД ДЕЙСТВИЕИОНИЗИРУЮ-

ЩЕГО ИЗЛУЧЕНИЯ . . . . . . . . . . . . . . . . . . . . . . . . . . . . . . .5.

4. МАТЕРИАЛЫ ДЛЯ ХРАНЕНИЯ РАДИОАКТИВ-

НЫХ ОТХОДОВ . . . . . . . . . . . . . . . . . . . . . . . . . . . . . . . . . . .8.

  1. ИСПОЛЬЗУЕМАЯ ЛИТЕРАТУРА . . . . . . . . . . . . . . . . . .10.

ВВЕДЕНИЕ.

В настоящее время, в связи сростом производства и возрастанием потребностей человечества происходит рост потребляемой энергии. Однако путь беспощадной эксплуатации внутреземных источников энергии неэкологичен. Безусловно, перспективны поиски и разработки новых источников энергии. К ним в первую очередь относится ядерная энергетика. Использование ядерной энергии сдерживается не столько по соображениям надёжности ядерных реакторов, сколько из-за проблемы создания материалов, подходящих для использования в реакторах. Эти материалы должны удовлетворять следующим требованиям:

  1. Стойкость к высоким температурам.
  2. Стойкость к разрушающему воздействию ионизирующего излучения.

Различные виды излучения, воздействуя на твердые тела, вызывают специфические радиационные дефекты. В настоящее время имеются многочисленные доказательства не только образования дефектов, но и изменения их вида, формы, скорости движения в процессе облучения.

ФИЗИЧЕСКИЕ ПРОЦЕССЫ В ОЛУЧАЕМЫХ МАТЕРИАЛАХ.

Изучая результаты радиационного повреждения в металлах, следует различать первичные и вторичные эффекты, в результате которых в облучённых материалах образуются дефекты, наблюдаемые экспериментально.

Первичным эффектом повреждения кристаллической решётки металлов радиацией следует считать передачу одному из атомов решётки достаточно большой кинетической энергии и одновременную передачу дополнительной энергии системе свободных и связанных электронов.

Возбуждённый атом (атом, получивший дополнительную кинетическую энергию) движется сквозь решётку, расталкивая атомы и, оставляет за собой след – область повреждения, которая состоит из смещённых атомов, окружённых облаком возбуждённых электронов. Таким образом, одним из результатов первичного эффекта взаимодействия ионизирующего излучения с веществом является образование вакантных мест в решётке и междоузельных атомов.

Ко вторичным эффектам облучения, приводящим к наблюдаемым на практике радиационным дефектам определённой конфигурации, следует отнести движение и образование ассоциаций точечных дефектов. Этот процесс зависит от реальной структуры кристаллов (наличия нарушений кристаллической решётки, системы дислокаций, примесей и т. п.) и энергии, переданной системе свободных и связанных электронов.

С этой точки зрения, нет никакой разницы в воздействии на вещество, например, быстрых нейтронов и - излучения. Оба вида излучения воздействуют на весь объём материала, так как проникающая способность нейтронов и - квантов достаточно высока.

В случае нейтронных потоков смещение атомов вызывают сами нейтроны, в случае - излучения – вторичные электроны. Разница в том, что электроны, образованные - квантами, вызывают единичные смещения, а нейтроны – каскады вторичных и более высокого порядка смещений. Расчеты показывают, что нейтрон вызывает на два-три порядка больше точечных дефектов, чем электрон или - квант, рождающий быстрый электрон. Одновременно с генерацией точечных дефектов нейтроны и - кванты передают определённую часть своей энергии электронам кристаллической решётки. Свободная энергия металлической системы повышается, и при этом понижается энергия активации процессов, связанных с перемещением атомов и дефектов. В результате увеличения подвижности атомов и дефектов, а также в зависимости от физических и атомных параметров вещества и некоторых внешних факторов, может образоваться многообразие наблюдаемых методами электронной микроскопии радиационных дефектов: ассоциации вакансий и междоузельных атомов; дискообразные скопления точечных дефектов, захлопывающихся в определённых условиях в петли дислокаций, и многие другие дефекты.

Увеличению подвижности точечных дефектов и атомов может способствовать и перераспределение относительной плотности свободных и локализованных электронов в микрообластях кристалла, возникающие как в результате образования радиационных дефектов, так и вследствие возникновения динамической дополнительной подвижности элементов системы. Как свидетельствуют опыты, значительно увеличивается подвижность атомов в зонах радиационных повреждений, создаваемых быстрыми заряженными частицами, осколками деления, либо ионизированными смещёнными атомами.

Динамика образования определённого сложного радиационного дефекта зависит от параметров подвижности атомов и дефектов в металлическом твёрдом теле в процессе облучения. Немаловажное значение в увеличении подвижности дефектов, вероятно, играет и наведённое излучением электронное возбуждение, так как в области низких температур термодинамика предсказывает чрезвычайно низкие диффузионные характеристики атомов и дефектов, в то время как при облучении даже в области низких температур иногда наблюдаются ассоциации дефектов, которые могут образоваться только в результате диффузионного перемещения атомов либо дефектов.

При достаточно высокой температуре, дефекты претерпевают ряд превращений: взаимно уничтожаются; часть дефектов может выходить на поверхность металла или границы зёрен. Если дефекты адсорбируются дислокацией, то это приводит к закреплению последних. Если поглощённых дефектов много, они перемещаются вдоль линии дислокации и, собираясь вместе, образуют зубцы, тормозящие движение дислокаций. В результате поглощения дефектов дислокация закрепляется, упрочняется материал.

Точечные дефекты могут не только адсорбироваться дислокациями, но и объединяться, образуя дивакансии, тройные вакансии и комплексы вакансий. На дальних расстояниях вакансии не взаимодействуют, но при встрече они могут объединяться в прочный комплекс (его образование происходит с понижением энергии всей системы). Образованные поливакансии испытывают рост. Отдельные вакансии, непосредственно сливаясь в плоскости слоя или образуя сначала сферические полости, которые в дальнейшем сплющиваются, переходят в своеобразные кольцевые дислокации. Кольцевая дислокация может поворачиваться, подвижность её ограничена и носит диффузионный характер (дислокация может расти и уменьшаться в результате механизма переползания). Существенно важно, что кольцевая дислокация препятствует движению дислокаций обычного типа – краевых и винтовых. Появление кольцевых дислокаций упрочняет металл. Такие кольцевые дислокации действительно наблюдаются с помощью электронного микроскопа.

СМЕЩЕНИЕ АТОМОВ В КРИСТАЛЛИЧЕСКОЙ РЕШЁТКЕ ПОД ДЕЙСТВИЕМ ИОНИЗИРУЮЩЕГО ИЗЛУЧЕНИЯ.

Рассмотрим теперь некоторые вопросы теории смещения атомов в результате воздействия радиации на кристаллическую решётку твёрдых тел.

При упругом столкновении бомбардирующей частицы с атомом, последний в некоторых случаях приобретает энергию , превышающую некоторую энергию, которая называется пороговой энергией смещения . В таком случае возбуждённый атом покидает своё место в решётке. При этом он может пройти одно или несколько межатомных расстояний, пока не остановится в междоузлии. В момент перемещения такой атом теряет связь с решёткой, но оказывает возбуждающее влияние на электронные связи атомов окружения. Образуется пара типа Френкеля: вакансия – междоузельный атом. для обычных металлов находится в пределах 20 – 40 эВ. Если ~, то образуется одна пара Френкеля; при >> создаётся два, три или целый каскад дефектов такого же типа.

Если кристаллическая решётка облучается потоком тяжёлых частиц, то энергия, получаемая атомом вещества, достигает больших значений, и вблизи конца пути первично выбитого атома среднее расстояние между соударениями в плотноупакованных кристаллических решётках должно быть приблизительно равно среднему межатомному расстоянию. В этом случае атом на пути первично выбитого атома смещается со своего места и образуется область сильного искажения, интерпретируемая как пик смещения.

При облучении материалов нейтронами спектра реактора либо тяжёлыми частицами с большой энергией кристаллическая решётка испытывает огромное число элементарных повреждений.

Несмотря на отсутствие корректной теории, учитывающей коллективные процессы и совокупность взаимодействий в решётке, усреднённое число смещённых атомов можно оценить довольно точно с помощью очень простой модели, основанной на представлении о парных столкновениях.

Одной из характеристик столкновения является энергия, передаваемая бомбардируемому атому. В зависимости от геометрических параметров столкновения (взаимного направления движения частицы и колебания атома) она может меняться от нуля, при

столкновениях под очень малым углом, до максимальной величины , при лобовом столкновении. Из законов сохранения энергии и импульса при упругом столкновении определяется соотношением

,

где Е и m – энергия и масса взаимодействующей быстрой частицы; М – масса атома вещества.

Для электронов с высокой энергией (Е >> 1 МэВ) следует учитывать релятивистские эффекты. В этом случае предыдущее выражение превращается в

.

В случае столкновения с тяжёлой частицей высокой энергии можно ожидать возникновение каскада смещений. Среднее число атомных смещений рассчитывается в простейшем случае по формуле

,

где - плотность потока ионизирующего излучения; t – время облучения; - число атомов в единице объема; σd1 – сечение столкновений, вызывающих смещения;- среднее число смещений на один первично смещенный атом.

- средняя энергия, передаваемая атому быстрой частицей. Величина Еd зависит от направления смещения относительно кристаллографических осей кристалла, что связано с анизотропией сил связи, а также от природы сил связи атомов в решетке.

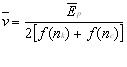
Среднее число вторичных смещений

,

где

f(nk) – функция относительного числа электронов, участвующих в ковалентной связи, на один атом, f(nc) – функция относительной концентрации свободных электронов на один атом.

Скорость возникновения радиационных дефектов

,

где

- сечение смещения.

Помимо точечных дефектов и их конфигураций, в электронном газе кристаллической решетки металла возникают локальные возбуждения (наводимые как самими дефектами, так и излучением), которые гипотетически могут оказать влияние на термодинамические контакты системы, либо ее нескольких участков. Это, в свою очередь, может привести к увеличению наблюдаемой подвижности вновь образованных радиационных точечных дефектов и существовавших до облучения дефектов кристаллического строения. Этим, отчасти, можно объяснить образование ассоциаций точечных дефектов в виде петель дислокации и кластеров под воздействием облучения даже в области низких температур.

Весь спектр дефектов, наблюдаемых в металлических твердых телах после облучения с помощью методов электронной и ионной микроскопии, образуется из первичных радиационных дефектов – пар Френнеля – в результате их взаимодействия между собой и с существующими в материале дефектами кристаллического строения, а также под воздействием локальных возбуждений в электронной подсистеме кристаллической решетки, инициируемых после радиации.

Рассмотренные эффекты, возникающие при смещении атомов в каскаде столкновений обычно называют нарушения смещения. Совершенно иной тип нарушений связан с примесными атомами, введенными или в результате превращений ядер мишени, или вследствие того, что бомбардирующий ион тормозится в образце. Такие дефекты называются примесными нарушениями.

Впервые практические проблемы примесного нарушения возникли при изучении материалов для ядерных реакторов. Было обнаружено, например, что металлический уран, облученный при температуре, несколько большей 500 оС,

существенно увеличивает свой объем. Металлографическое исследование выявило в этом случае наличие в металле мелких пор, заполненных инертными газами. Инертные газы в большом количестве образуются в реакторе при делении урана.

Все эти нарушения очень сильно влияют на свойства материалов.

МАТЕРИАЛЫ ДЛЯ ХРАНЕНИЯ РАДИОАКТИВНЫХ ОТХОДОВ.

Немалые трудности возникают также и с захоронением радиоактивных отходов. Общепринятый подход к разработке материалов для этих целей состоит из трех стадий:

  1. Отходы вводятся в относительно нерастворимое химически стойкое вещество.
  2. Это вещество заключают в герметичный контейнер.
  3. Контейнеры захоранивают в сухой и стабильной геологической структуре.

Для первой стадии применялись и применяются боросиликатное стекло и боросиликатная керамика. Главное требование, предъявляемое к такой керамике – сильная поглощающая способность по отношению к ядерным частицам – нейтронам и - квантам. Из всех веществ наибольшей поглощающей способностью нейтронов обладают легкие элементы H, Li, B, но при поглощении нейтронов происходят ядерные реакции, результатом которых является вторичное излучение. По этой причине защитный материал должен содержать, наоборот, тяжелые элементы, главным образом свинец, поскольку поглощение - квантов подчиняется экспоненциальному закону

N=N0e-2dα,

где

N и N0 – плотность - квантов до и после поглощения соответственно;

d – плотность ослабляющего вещества;

α - коэффициент поглощения.

Применение чистого свинца оказывается нецелесообразным из-за его значительной текучести под влиянием даже собственного веса защитной кладки, состоящей из свинцовых кирпичей. Более эффективными - защитными материалами являются PbO и более сложные оксиды типа 2PbO, PbSO4. Они обладают высокими плотностями, достаточно высокими рабочими температурами и технологичны в процессах изготовления порошка, при прессовании и спекании. До прессования эти оксиды смешивают с борсодержащими веществами, например с В2О3, с карбидом бора В4С или с боратидами МеВО3 и боридами типа МеВ или МеВ2 какого-либо металла Ме, дающего, в свою очередь, низкий уровень вторичного - излучения. После спекания подобные смеси образуют плотную керамику малой пористости.

Но керамика из боро - и свинцово-содержащих веществ имеет много недостатков. Основной из них – пониженная химическая стойкость. Следует отметить еще более низкую стойкость остальных известных и широко применяемых материалов, например бетонов различного состава. По этой причине, в большинстве случаев, и бетоны, и борсодержащая керамика используются скорее на второй стадии в виде герметичных контейнеров. Для первой стадии общепризнанно, что лишь борсодержащее стекло хорошо удерживает радиоактивные отходы.

Для второй стадии кроме рассмотренных выше керамических материалов

испытываются и специальные сплавы, образующиеся в системах Рb-B, Pb-Li и сплавы на основе титана. Сам защитный материал изготовляется в виде керамики, спеченной из порошков таких сплавов. Возможность их практического применения можно выяснить только после глубокого изучения их устойчивости к коррозии в условиях облучения - квантами и при повышенных температурах. Например, радиоактивный цезий и стронций способны сохранять без разрушения оболочку из таких сплавов, при температуре почти 200 оС, около 100 лет. Кроме того, нужно добиться высокой механической прочности предлагаемых сплавов, во избежание повреждения контейнеров с радиоактивными отходами при перевозке к местам захоронения.

ИСПОЛЬЗУЕМАЯ ЛИТЕРАТУРА.

  1. В.И. Фистуль. Новые материалы: состояние, проблемы, перспективы. М. “МИСИС”. 1995 г.
  1. А.М. Шалаев, А.А. Адаменко. Радиационно – стимулированное изменение электронной структуры. М. Атомиздат. 1977 г.
  1. М. Томпсон. Дефекты и радиационные повреждения в металлах. М. Мир. 1971 г.



Подобные работы:

Актуально: