Краткий справочник по физике
Краткий справочник по физике.Гридасов А.Ю. Новосибирск 1997г.
Файл содержит формулы из курса физики, которые будут полезны учащимся старших классов школ и младших курсов вузов. Все формулы изложены в компактном виде с небольшими комментариями. Файл также содержит полезные константы и прочую информацию.
Данный файл может быть напечатан и распространяться в некоммерческих целях без ограничений.
Фундаментальные константы.Название константы. | Обозн. | Значение. | Измерение |
Гравитационная постоянная. | G | 6,672*10-11 | Н*м2/кг2 |
Ускорение свободного падения | G | 9,8065 | м/с2 |
Атмосферное давление | p0 | 101325 | Па |
Постоянная Авогадро | Na | 6,022045*1023 | Моль-1 |
Объем 1моль идеального газа | V0 | 22,41383 | м3/моль |
Газовая постоянная | R | 8,31441 |
|
Постоянная Больцмана | K | 1,380662*10-23 | Дж/К |
Скорость света в вакууме | C | 2,99792458*108 | м/с |
Магнитная постоянная | μ0 | 4π*10-7= 1,25663706*10-6 | Гн/м |
Электрическая постоянная | ε0 | 8,8541878*10-12 | Ф/м |
Масса покоя электрона | me | 9,109534*10-31 | кг |
Масса покоя протона | mp | 1,6726485*10-27 | кг |
Масса покоя нейтрона | mn | 1,6749543*10-27 | кг |
Элементарный заряд | E | 1,6021892*10-19 | Кл |
Отношение заряда к массе | e/me | 1,7588047*1011 | Кл/кг |
Постоянная Фарадея | F | 9,648456*104 | Кл/моль |
Постоянная Планка | H
| 6,626176*10-34 1,054887*10-34 | Дж*с Дж*с |
Радиус 1 боровской орбиты | a0 | 0,52917706*10-10 | м |
Энергия покоя электрона | mec2 | 0.511034 | МэВ |
Энергия покоя протона | mpc2 | 938.2796 | МэВ |
.Энергия покоя нейтрона | mnc2 | 939.5731 | МэВ |
пристав. | поряд. | пристав. | поряд. | пристав. | порядок | Пристав. | порядок | ||||
экса | Э | 18 | мега | М | 6 | деци | д | -1 | Нано | н | -9 |
пета | П | 15 | кило | к | 3 | санти | с | -2 | пико | п | -12 |
тера | Т | 12 | гекто | г | 2 | милли | м | -3 | фемто | ф | -15 |
гига | Г | 9 | дека | да | 1 | микро | мк | -6 | атто | а | -18 |
Обозн. | Изм. | Смысл |
S | м | пройденный путь |
v | м/с | скорость |
t | с | время |
x | м | координата |
a | м/с2 | ускорение |
ω | с-1 | угловая скорость |
T | с | период |
| Гц | частота |
ε | с-2 | угловое ускорение |
R | м | радиус |
,
, ![]()
,
;
a=const,
,
;
,
; v=v0+at ,
;
;
![]()
, ![]()
,
,
;
;
,
;
,
;
,
,
,
;
Обозн. | Изм. | Смысл |
F | Н | сила |
P | кг*м/с | импульс |
a | м/с2 | ускорение |
m | кг | масса |
v | м/с | скорость |
p | Н | вес тела |
g | м/с2 | ускорение свободного падения |
E | Дж | энергия |
A | Дж | работа |
N | Вт | мощность |
t | с | время |
I | кг*м2 | момент инерции |
L | кг*м2/с | момент импульса |
M | Н*м | момент силы |
ω | с-1 | угловая скорость |
![]()
,
, при m=const и ![]()
![]()
ma=ma0+Fинерц ,где а- ускорение в неинерциальной а0- в инерциальной системе отчета.
Силы разной природы.Скорость центра масс
;
,
- ускорение свободного падения на планете.
- первая космическая скорость.
p=mg - вес тела в покое.
p=m(g+a) - опора движется с ускорением вверх.
p=m(g-a) - опора движется с ускорением вниз.
p=m(g-v2/r) - движение по выпуклой траектории.
p=m(g+v2/r) - движение по вогнутой траектории.
Сила трения.
,
Fупр=–kx, - сила упругости деформированной пружины.
- механическое напряжение
- относительное продольное удлинение (сжатие)
- относительное поперечное удлинение (сжатие)
, где μ- коэффициент Пуассона.
Закон Гука:
, где Е- модуль Юнга.
, кинетическая энергия упругорастянутого (сжатого) стержня. (V- объем тела)
- момент импульса
;
- момент силы
L=const - закон сохранения момента импульса.
M=Fl, где l- плечо
I=I0+mb2 - теорема Штейнера
система | ось | I |
точка по окружности | ось симметрии | mR2 |
стержень | через середину | 1/12 mR2 |
стержень | через конец | 1/3 mR2 |
шар | через центр шара | 2/5 mR2 |
сфера | через центр сферы | 2/3 mR2 |
кольцо или тонкостенный цилиндр | ось симметрии | mR2 |
диск сплошной цилиндр | ось симметрии | 1/2 mR2 |
Условие равновесия тел ![]()
P=mv; - импульс тела.
Ft=ΔP
Потенциальная и кинетическая энергия. Мощность.
- работа силы F
A=ΔE
- мощность
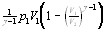
- кинетическая энергия
- кинетическая энергия вращательного движения.
Ep=mgh - потенциальная энергия поднятого над землей тела.
- потенциальная энергия пружины
Eк1+Eр1=Eк2+Eр2
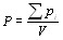
Молекулярная физика. Свойства газов и жидкостей.Обозн. | Изм. | Смысл |
p | Па | давление |
V | м3 | объем |
T | К | температура |
N | – | число молекул |
m | кг | масса |
| кг/Моль | молярная масса |
| Моль | кол-во вещества |
U | Дж | вн. энергия газа |
Q | Дж | кол-во теплоты |
η | – | КПД |
pV=NkT - уравнение состояния (уравнение Менделеева- Клайперона)
,
,
;
,
- полная внутренняя энергия системы.
Число атомов | i |
|
1 | 3 | 5/3 |
2 | 7 | 9/7 |
3 | 13 (12) | 15/13 (7/6) |
- основное уравнение молекулярно- кинетической теории.
- закон Дальтона для давления смеси газов.
, p=nkT ;
при N=const и
T=const | изотерма | PV=const | закон Бойля-Мариотта |
p=const | изобара | V/T=const | закон Гей-Люсака |
V=const | изохора | p/T=const | закон Шарля |
среднеквадратичная скорость молекул.
- наиболее вероятная скорость молекул.
- средняя арифметическая скорость молекул.
- Закон Максвелла для распределения молекул идеального газа по скоростям.
Среднее число соударений молекулы за 1с: ![]()
Средняя длинна свободного пробега молекул ![]()
- средний путь молекулы за время t.
- барометрическая формула.
- распределение Больцмана.
- первое начало термодинамики.
- работа газа.
- уравнение адиабаты.
Теплоемкость
, удельная теплоемкость с=С/m.
Название | Опред. | Уравнение | A | Q | C |
Изохора | V=const | Q=ΔU | 0 | NkΔT/(γ-1) | Nk/(γ-1) |
Изобара | p=const | ΔU=Q+pΔV | pΔV | γpΔV/(γ-1) | γNk/(γ-1) |
Изотерма | T=const | Q=A |
| A | ∞ |
Адиабата | Q=const | ΔU=-A |
| 0 | 0 |
Qотд=Qполуч
Q=cmΔT - теплота на нагрев (охлаждение)
Q=rm - Теплота парообразования (конденсации)
Q=λm - плавление (кристаллизация)
Q=qm - сгорание.
Тепловое расширение.l=l0(1+αΔT) V=V0(1+βΔT)
Тепловые машины.
- коэффициент полезного действия
, ![]()
Обозн. | Изм. | Смысл |
p | Па | давление |
V | м3 | объем |
m | кг | масса |
σ | Н/м | коэффициент поверхностного натяжения |
v | м/с | скорость жидкости |
S | м2 | площадь |
ρ | кг/м3 | плотность |
h | м | высота столба жидкости. |
,
(давление на глубине h).
- плотность.
( сила Архимеда ).
- (гидравлический пресс).
- закон сообщающихся сосудов.
- уравнение неразрывности.
- уравнение Бернулли (
- динамическое, р - статическое,
- гидростатическое давление.)
- сила и энергия поверхностного натяжения.
- высота подъема жидкости в капилляре.
- закон Кулона.
,
- напряженность электрического поля
- принцип суперпозиции полей.
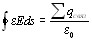
- поток через площадку S.
- теорема Гаусса.
- теорема о циркуляции.
,
- потенциал.
плоскость |
|
|
сфера |
|
|
шар |
|
|
цилиндр (пустой) |
|
, ![]()
,
, ![]()
- электроемкость уединенного проводника.
,
,
плоский конденсатор.
- электроемкость заряженного шара.
- электроемкость сферического конденсатора.
- батарея конденсаторов. p=qd - дипольный момент.
поляризованность диэлектрика.
P=жε0E где ж- диэлектрическая восприимчивость.
ε=1+ж
ε- диэлектрическая проницаемость.
- теорема Гаусса для диэлектриков.
,
, ![]()
,
,
Закон Ома.
;
- температурное изменение температуры.
,
, ![]()
- закон Джоуля–Ленца.
![]()
- правило Кирхгофа для узлов.
- правило Кирхгофа для контуров.
Параллельное соединение проводников: I=const,
, ![]()
Последовательное соединение:
, U=const, ![]()
m=kq=kΔT - первый закон Фарадея.
- второй закон Фарадея.
,
- сила Лоренца.
- сила Ампера, действующая на проводник длиной l.
, ![]()
магнитная индукция поля в точке.
- магнитная индукция в центре витка.
- индукция внутри соленоида.
индукция поля проводника на расстоянии R от оси.
![]()
связь между магнитной индукцией и напряженностью магнитного поля.
- принцип суперпозиции магнитных полей.
- сила взаимодействия двух проводников.
магнитный поток.
- энергия магнитного поля.
![]()
ЭДС индукции в замкнутом контуре.
ЭДС самоиндукции.
, -
Колебания и волны. Оптика. Акустика.Механические и электромагнитные колебания.
- уравнение гармонических колебаний.
,n.3![]()
- полная энергия колеблющейся точки.
![]()
Система. | Период | Цикл. частота | Уравнение |
Математический маятник. |
|
|
|
Пружинный маятник. |
|
|
|
Физический маятник. |
|
|
|
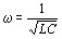
Колебательный контур. |
|
|
|
, при ω1=ω2
- период пульсации.
, ![]()
![]()
![]()
![]()
Z=ZR+ZL+ZC - полный импеданс цепи.
ZR=R, ZL=iΩL, ![]()
- модуль полного импеданса цепи.
,
- действующие значения.
Скорость волны в газе:
, в твердом теле: ![]()
, ![]()
уравнение плоской волны: ![]()
Отражение |
|
|
Преломление |
| Δφ=0 lim αпад=arcsin(c2/c1) |
Интерференция:
, ![]()
![]()
фазовая v и групповая u скорости:
,
, ![]()
- эффект Доплера.
- фазовая скорость
![]()
Отражение |
|
|
Преломление |
| Δφ=0 lim αпад=arcsin(c2/c1) |
- разность хода.
- скорость света в среде
- закон преломления.
- формула линзы.
- увеличение линзы.
- энергия фотона. h- постоянная Планка
- фотоэффект
- полная энергия.
![]()
![]()
![]()
![]()
![]()
- закон распада
1. Кабардин О.Ф. Физика
2. Трофимова Т.И. Физика 500 основных законов и формул.




