Аналогии в курсе физики средней школы
Выпускная квалификационная работа
''АНАЛОГИИ В КУРСЕ ФИЗИКИ СРЕДНЕЙ ШКОЛЫ''
СОДЕРЖАНИЕ
Введение...................................................................................................................3
ГЛАВА 1. Электромеханические аналогии
§1. Электромагнитные и механические колебания...............................................5
§2. Решение уравнений, описывающих свободные колебания...........................15
§3. Решение физических задач................................................................................18
§4. Изучение волновых процессов .........................................................................25
ГЛАВА 2. Другие виды аналогий в школьном курсе физики
§5.Использование аналогии при изучении транзистора.......................................32
§6. Изучение электрических цепей с использованием аналогии.........................35
§7. Аналогии при изучении постулатов Бора.........................................................45
ГЛАВА 3. Изучение аналогий на факультативах, кружках и спецкурсах.
§8. Волчок и магнит..................................................................................................52
§9. Свет и глаз............................................................................................................62
Заключение.................................................................................................................70
Список литературы....................................................................................................71
Введение.
Аналогия - один из методов научного познания, который широко применяется при изучении физики.
В основе аналогии лежит сравнение. Если обнаруживается, что два или более объектов имеют сходные признаки, то делается вывод и о сходстве некоторых других признаков. Вывод по аналогии может быть как истинным, так и ложным, поэтому он требует экспериментальной проверки.
Значение аналогий при обучении связано с повышением научно-теоретического уровня изложения материала на уроках физики в средней школе, с формированием научного мировоззрения учащихся.
В практике обучение аналогии используется в основном для пояснения уже введенных трудных понятий и закономерностей.
Электромагнитные колебания и волны - темы школьного курса физики, усвоение которых традиционно вызывает большие затруднения у учащихся. Поэтому для облегчения изучения электромагнитных процессов используются электромеханические аналогии, поскольку колебания и волны различной природы подчиняются общим закономерностям.
Аналогии между механическими и электрическими колебательными процессами с успехом используются в современных исследованиях и расчетах. При расчете сложных математических систем часто прибегают к электромеханической аналогии, моделируя механическую систему соответствующей электрической.
Демонстрационный эксперимент при изучении переменного тока вскрывает лишь некоторые основные особенности процессов протекания тока по различным электрическим цепям. Здесь большое значение имеют аналогии, дающие возможность понять ряд явлений в цепях переменного тока, сущность которых трудно разъяснить в средней школе другими средствами. К таким вопросам в первую очередь относятся явления в цепях переменного тока с емкостью и индуктивностью, а также сдвиг фаз между током и напряжением.
Использование метода аналогии при решении задач может идти в двух направлениях:
- непосредственное применение этого метода;
- отыскание физической системы, которая аналогична данной в условии задачи.
В данной работе будут рассмотрены следующие аналогии, изучаемые в курсе физики средней школы: электромагнитные и механические колебания; решение уравнений, описывающих колебания в пружинном и математическом маятниках; решение физических задач; изучение волновых процессов; изучение электрических цепей с использованием аналогии; использование аналогии при изучении транзистора; аналогии при изучении постулатов Бора; волчок и магнит; свет и глаз.
Таким образом аналогии позволяют учащимся более глубоко понять известные физические явления, понятия и процессы.
ГЛАВА 1 ЭЛЕКТРОМЕХАНИЧЕСКИЕ АНАЛОГИИ.
§ 1 Электромагнитные и механические аналогии.
В теме " Электромагнитные колебания " рассматривается электромагнитный процесс, возникающий при разрядке конденсатора через катушку индуктивности и делается вывод о колебательном характере этого процесса.
Электромагнитные колебания в контуре имеют сходство со свободными механическими колебаниями, например с колебаниями тела, закрепленного на пружине. Сходство относится не к природе самих величин, которые периодически изменяются, а к процессам периодического изменения различных величин.
При механических колебаниях периодически изменяются координата тела x и проекции его скорости
, а при электромагнитных колебаниях меняются заряд конденсатора q и сила тока в цепи i. Одинаковый характер изменения величин (механических и электрических) объясняется тем, что имеется аналогия в условиях, при которых порождаются механические и электромагнитные колебания. Возвращение к положению равновесия тела на пружине вызывается силой упругости F , пропорциональной смещению тела от положения равновесия. Коэффициентом пропорциональности является жесткость пружины k. Разрядка конденсатора (появление тока) обусловлена напряжением U между пластинами конденсатора, которое пропорционально заряду q. Коэффициентом пропорциональности является величина
, обратная емкости, так как
=
q.
Подобно тому как вследствии инертности тело лишь постепенно увеличивает скорость под действием силы и эта скорость после прекращения действия силы не становится сразу равной нулю, электрический ток в катушке за счет явления самоиндукции увеличивается под действием напряжения постепенно и не исчезает сразу, когда это напряжение становится равным нулю. Индуктивность контура L играет туже роль, что и масса тела m в механике. Соответственно кинетической энергии тела
отвечает энергия магнитного поля тока
, а импульсу тела mv отвечает поток магнитной индукции Li .
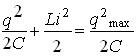
Зарядке конденсатора от батареи соответствует сообщение телу, прикрепленному к пружине, потенциальной энергии
при смещении тела на расстояние
от положения равновесия (рис. 1,а).
Сравнивая это выражение с энергией конденсатора
, замечаем, что жесткость k пружины играет при механическом колебательном процессе такую же роль, как величина
, обратная емкости, при электромагнитных колебаниях, а начальная координата
соответствует заряду
.
Возникновение в электрической цепи тока i за счет разности потенциалов соответствующих появлению в механической колебательной системе скорости
под действием силы упругости пружины (рис.1,б). Моменту, когда конденсатор разрядится, а сила тока достигнет максимума, соответствует прохождение тела через положение равновесия с максимальной скоростью (рис.1.в). Далее конденсатор начнет перезаряжаться, а тело смещаться влево от положения равновесия (рис.1,г). По прошествии половины периода Т конденсатор полностью перезарядится и сила тока станет равной нулю. Этому состоянию соответствует отклонение тела в крайнее левое положение, когда его скорость равна нулю (рис.1,д).
Рассмотренные выше колебания являются свободными. Здесь не учтено, что в любой реальной механической системе существуют силы трения.
Таким образом, соответствие между механическими и электрическими величинами при колебательных процессах можно представить в виде таблицы 1
Механические величины | Электрические величины |
Координата х | Заряд q |
Скорость vx=x' | Сила тока i=q' |
Ускорение аx=vx | Скорость изменения силы тока i' |
| Масса m | Индуктивность L |
Жесткость k | Величина, обратная электроемкости. 1/С |
Сила F | Напряжение U |
Вязкость β | Сопротивление R |
Потенциальная энергия деформированной пружины kx2/2 | Энергия электрического поля конденсатора q2/(2C) |
Кинетическая энергия mv2/2 | Энергия магнитного поля катушки Li2/2 |
| Импульс mv | Поток магнитной индукции Li |
Выведем уравнение свободных незатухающих электромагнитных колебаний в контуре и колебаний горизонтального пружинного маятника. Применяя к пружинному маятнику закон сохранения энергии, получим равенство:
+
, где
,
, тогда имеем
(1)
Так как
и
получаем
=const (2)
Следует заметить, что уравнение (2) так же следует из закона сохранения энергии. В уравнении (2) i=q' - мгновенное значение силы тока, qmax - максимальный заряд на конденсаторе (он не должен вызвать пробоя). Делаем вывод о зависимости силы тока от величины заряда и находим значение максимальной силы тока:
;
Откуда
при q=0.
Как видно формально с точки зрения математики уравнения (1) и (2) являются одинаковыми.
Решаем уравнение (2): производная полной энергии по времени равна нулю, так как энергия постоянна.
Следовательно, равна нулю сумма производных по времени от энергий магнитного и электрического полей.
или
(3)
![]()
Физический смысл уравнения (3) состоит в том, что скорость изменения энергии магнитного поля по модулю равна скорости изменения энергии электрического поля; знак “минус” указывает на то, что, когда энергия электрического поля возрастает, энергия магнитного поля убывает (и наоборот). Поэтому полная энергия не меняется.
Вычисляя обе производные получаем:
![]()
![]()
так как
, тогда
и ![]()
получаем
![]()
(4)
Уравнение (4) является основным уравнением, описывающем процессы в колебательном контуре.
Рассмотрим колебания вертикального пружинного и математического маятников.
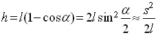
Выведем груз из положения равновесия, растянув пружину на длину Хm (рис.2) и отпустим. (Амплитудное растяжение пружины Xm должно быть таково, чтобы был справедлив закон Гука
и выводимая на его основе формула потенциальной энергии пружины.)
Рис.2
![]()
Мгновенные значения координаты груза х в процессе колебаний лежат в пределах -xm≤x≤xm . По закону сохраненья энергии имеем:
(5)
где X0=mg/k - статическое растяжение пружины (потенциальную энергию груза в поле силы тяжести отсчитываем от уровня равновесия груза, обозначенного на рис. 2 пунктиром). Учитывая, что
и
, получим уравнение колебаний


![]()
=соnst
(6)
Как видно уравнения колебаний горизонтального и вертикального пружинных маятников одинаковы.
Ускорение свободного падения g, имеющееся в уравнении (5), отсутствует в полученном уравнении колебаний. Следовательно, колебания груза на пружине не зависят от g и одинаковы, например, на Земле и Луне.
Хотя в дифференциальные уравнения (1) и (6) входят разные величины, математически они эквивалентны.
По аналогии с уравнением (4) описывающем процессы в колебательном контуре, запишем уравнение колебания пружинного маятника:
;
;
получим
, (7)
Отклоним теперь математический маятник длиной l (рис. 3) от положения равновесия на длину дуги sm< рис.3 так как при α<<1 можно считать или По аналогии с формулами (4) и (7) x→q→s; S``= - Различие уравнений (1), (6) и (9) состоит только в обозначениях и физическом смысле входящих в них величин. Если не предполагать sm< Процессы в колебательном контуре станут понятнее учащимся при рассмотрении преобразований энергий, которые происходят при колебаниях, используя таблицу 2. Время Колебательный контур Пружинный маятник На конденсаторе находится заряд q0; энергия электрического поля Wэ максимальна. Энергия магнитного поля Wм равна нулю Смешение X0 тела от положения равновесия — наибольшее; его потенциальная энергия Wп максимальна, кинетическая Wк равна нулю При замыкании цепи конденсатор начинает разряжаться через катушку: возникает ток и связанное с ним магнитное поле. Вследствие самоиндукции сила тока нарастает постепенно; энергия электрического поля преобразуется в энергию магнитного поля Тело приходит в движение, его скорость возрастает постепенно. Потенциальная энергия преобразуется в кинетическую Конденсатор разрядился, сила тока I0 максимальна, энергия электрического поля равна нулю, энергия магнитного поля максимальна Wэ=0; При прохождении положения равновесия скорость v0, тела и его кинетическая энергия максимальны, потенциальная энергия равна нулю Wп=0; Вследствие самоиндукции сила тока уменьшается постепенно; на конденсаторе начинает накапливаться заряд и Тело, достигнув положения равновесия, продолжает движение по инерции с постепенно уменьшающейся скоростью и Конденсатор перезарядился; сила тока в цепи равна нулю Пружина максимально растянута: скорость тела равна нулю Разрядка конденсатора возобновляется; ток течет в противоположном направлении; сила тока постепенно возрастает Тело начинает движение в противоположном направлении с постепенно увеличивающейся скоростью Конденсатор полностью разрядился; сила тока I0 в цепи максимальна Wэ=0; Тело проходит положение равновесия, его скорость максимальна Wп=0; Вследствие самоиндукции ток продолжает течь в том же направлении, конденсатор начинает заряжаться По инерции тело движется к крайнему положению Конденсатор снова заряжен, ток в цепи отсутствует, состояние контура аналогично первоначальному Смещение тела максимально, его скорость равна нулю и состояние аналогично первоначальному § 2. Решение уравнений, описывающих колебания в пружинном и математическом маятниках. Найдем решение уравнения: Нельзя считать, что Чтобы в выражении второй производной Найдем первую и вторую производные: Функция (2) есть решение исходного уравнения (1). Функция Обозначим постоянную величину Тогда решение уравнения (2) можно записать: Тогда уравнение (1), описывающее свободные электромагнитные колебания примет вид: Из курса математики известно, что наименьший период косинуса равен 2π. Следовательно, ω0=2π, Аналогично этим рассуждениям решим уравнение для колебаний вертикального пружинного маятника: Запишем уравнение (5) в виде: Найдем первую и вторую производные: Функция (6) есть решение исходного уравнения. Функция Тогда уравнение (5) будет иметь вид: Период колебаний для пружинного маятника по аналогии с формулой Томсона где Аналогично выше изложенным рассуждениям решим уравнение для колебаний математического маятника: Запишем уравнение (10) в виде: Найдем первую и вторую производные уравнения (11): Функция (11) есть решение уравнения (10). Обозначим постоянную величину Тогда уравнение (10) примет вид: По аналогии с формулой(8) и формулой Томсона, для математического маятника период колебаний равен: Уравнения (4), (8) и (13) являются решениями уравнений, описывающих колебания в пружинном и математическом маятникам. § 3 Решение физических задач. Рассмотрим несколько задач, решение которых методом аналогии возможно на уроках и факультативных занятиях в 11 классах (после изучения раздела "Электрические колебания) и при повторении материала. Задача1. Изобразите механические системы, аналогичные электрическим цепям, схематически изображенными на рис.1,а,б Решение. Аналогичная механическая система соответствующая рис.1,а,б должна содержать тело массой m и две пружины с разными жестокостями а) Общая емкость системы конденсаторов (рис.1,а) равна Используя аналогию механических и электрических величин, найдем что общая жесткость пружин искомой механической системы находится из соотношения Это соответствует последовательному соединению двух пружин. Учитывая, что один конденсатор заряжен, искомую механическую систему можно представить в виде одной сжатой пружины жесткость б) Аналогично рассмотрим вторую схему. Общая емкость системы конденсаторов (рис.1,б) равна Используя аналогию механических и электрических величин, найдем что общая жесткость пружин искомой механической системы находится из соотношения Это соответствует параллельному соединению двух пружин(рис.2,б). Задача2На рис.3,а,б изображены колебательные контуры. Придумайте механические аналоги им. рис.3,а О т в е т. Аналогичная механическая система соответствующая рис.3,а,б должна содержать два тела массами а) Общая индуктивность системы при последовательном соединении катушек равна Используя аналогию механических и электрических величин найдем, что общая масса А это соответствует рис.4,а Рис. 4.а б) Аналогично рассматриваем вторую схему. Общая индуктивность параллельно соединенных катушек находится из соотношения Используя аналогию механических и электрических величин, найдем что общая масса катушек равна Это соответствует рис.4,б Задача3. Придумайте механическую систему, которая была бы аналогична электрической цепи, состоящей из конденсатора емкостью С и резистора сопротивлением R (рис. 5). Первоначальный заряд конденсатора равен qм. Ключ К замыкается в некоторый момент времени принимаемый за начальный. Рис. 5. О т в е т. Электрическую цепь, состоящую из емкости и сопротивления, можно представить как предельный случай электрического колебательного контура, в котором индуктивность настолько мала, что ею можно пренебречь. Поэтому аналогичная механическая система будет представлять собой прикрепленное к пружине (жесткость К) тело с очень малой массой, но с значительным объемом, находящееся в поле действия силы вязкого трения с коэффициентом ß. Задача4. Придумайте механическую динамическую аналогию электрической цепи, представленной на рис. 6. В начальный момент катушка индуктивностью L и резистор сопротивлением R отключены от источника постоянного тока с ЭДС Рис. 6. О т в е т. Аналогичная механическая система состоит из тела, находящегося в поле тяжести Земли и расположенного внутри жидкости с коэффициентом вязкости Р. Если отпустить это тело, то оно падает в жидкости под действием силы тяжести FT= mg. Задача5. Рассчитайте максимальное значение силы тока в цепи, изображенной на рис.7. До замыкания ключа заряд на конденсаторе рис. 7. Решение. Здесь происходит превращение потенциальной энергии в кинетическую или в соответствии с аналогией энергия электрического поля конденсатора превращается в энергию магнитного поля катушки. так как тогда Отсюда значение максимальной силы тока равно Задача 6. Найти максимальную скорость груза на пружине в вязкой среде при действии на него переменной силы F=10sin10t(H) (рис. 8). Масса - груза 0,1 кг, жесткость пружины 2 Н/м, вязкость среды 1 Н. м/с. Рис.8 Р е ш е н и е. В связи с тем что такой более сложный процесс, какой представлен в условии этой задачи, в школьном курсе физики не изучается, снова обратимся к аналогии. Аналогичная электрическая система выглядит как колебательный контур, содержащий внешний источник переменного тока (рис. 9). Рис.9 Из закона Ома для переменного тока (обозначения традиционные) максимальная сила тока Установим соответствия характеристик механической и электрической систем: f Учитывая аналогичность систем, получаем: При подстановке следующих данных: F=10Н, Задача 7. Источник с ЭДС рис.10. Решение. Искать нужную зависимость, используя законы электромагнетизма, довольно сложно и не наглядно, поэтому целесообразно использовать механическую аналогию. На рис.11 приведена аналогичная механическая колебательная система. Аналогом источника с ЭДС может служить поле силы тяжести. При выдергивании подставки из-под прикрепленного к пружине груза начинаются его колебания. Он совершает гармоническое колебание около точки Xm, график которого дан на рис. 12. а. Уравнение координаты имеет вид: xm-x(t)=xm cos ωot, или x(t)=xm (1 - cos ωot). Рис. 11 Рис. 12 Аналогичное электрическое колебание (график дан на рис. 12, б) описывается следующими уравнениями: q (t)=qм (1 – cos ωot); qм = U(t)= Здесь ωo = В заключение отметим, что рассмотренные нами аналогии широко используются в научных исследованиях. Интересно, что принцип работы аналого-вычислительной машины основан на «поразительной аналогичности» механического и электрического процессов. §4.Изучение волновых процессов. Рассматривая вопроссы излучения и распространения любых волн, следует сформулировать условия, необходимые для образования и излучения волн: Рассмотрим следующие волновые процессы: излучения и распространения электромагнитных волн, интерференция света, дифракция света и поляризация света. При изучении вопросов излучения и распространения электромагнитных волн целесообразным аналогом будут акустические волны, факт распространения которых в окружающем пространстве легко устанавливается. Если взять простейший источник акустических волн (камертон без резонансного ящика), то связь его со средой малая и излучение звуковых волн незначительно. Поставив камертон на резонирующий ящик, замечают, что излучение звука значительно усилилось, так как связь со средой стала большей. Если рядом со звучащим камертоном поставить другой камертон, имеющий ту же частоту, то такой камертон возбуждается. Здесь наблюдают явление резонанса. Камертон, имеющий другую частоту собственных колебаний, не возбудится. Излучение камертона возможно только в среде, обладающей определенными физическими свойствами. Как известно, излучение энергии замкнутым колебательным контуром незначительно, так как электрическое поле в этом случае локализовано между обкладками конденсатора, а магнитное поле — вокруг катушки. Чтобы подчеркнуть это свойство замкнутого колебательного контура, уместно воспользоваться аналогией с колеблющимся камертоном (без резонансного ящика), излучение которого незначительно. Открытый колебательный контур излучает энергию значительно лучше, так как в этом случае магнитное и электрическое поля совмещены и занимают окружающее контур пространство. Чтобы проиллюстрировать данный факт, уместна аналогия с камертоном на резонансном ящике, хорошо излучающем энергию благодаря связи со средой. Явление резонанса при звуковых процессах является хорошей аналогией для объяснения приема электромагнитных волн. В антенне приемного устройства возникают колебания всевозможных частот, но приемник «выбирает» из всех колебаний только те, на частоту которых он настроен. Это аналогично возбуждению камертона, имеющего ту же частоту, что и излучающий. При излучении электромагнитных волн возникают возмущения в электромагнитном поле, так же как возникают возмущения в упругой среде вокруг камертона. Природа же распространяющихся при этом волн различна. 2.Интерференция света. Интерференция света представляет собой сложное явление, объяснение которого требует рассмотрения вопроса о наложении волн, об условиях усиления и ослабления колебаний и т. д. Здесь применяют аналогию с поверхностными волнами на воде. Вначале, возбудив в волновой ванне две волны, наблюдают результат их наложения и объясняют полученную картину(рис.1). Рис.1. В любой точке М на поверхности воды будут складываться колебания, вызванные двумя волнами (от источников O1 и О2). Амплитуды колебаний вызванных в т.М будут отличаться друг от друга, так как волны проходят различные пути D1 и D2 . Но если расстояние l между источниками много меньше этих путей (l < Если разность хода равна длине волны λ, то вторая волна запаздывает по сравнению с первой ровно на один период. Следовательно, в этом случае гребни (впадины) обеих волн совпадают. Сложение волн в зависимости от разности их хода объясняют на специально вычерченных графиках, показывая, как складываются колебания при условии совпадения фаз и в случае когда колебания происходят в противофазе. Зависимость от времени смещения х1 и х2 вызванных двумя волнами при ΔD=λ. Разность фаз колебаний равна нулю, так как период синуса равен 2π (рис.2). Рис. 2 В результате сложения этих колебаний возникает результирующее колебание с удвоенной амплитудой. Колебания результирующего смещения x показаны пунктиром. То же самое будет происходить, если на отрезке ΔD укладывается не одна, а любое целое число длин волн: ΔD=kλ, k=0, 1, 2…. – условие максимума. Пусть теперь на отрезке ΔD укладывается половина длины волны (рис.3). Рис.3. Вторая половина отстает от первой на половину периода. Разность фаз оказывается равной π, то есть колебания будут происходить в противофазе. В результате сложения этих колебаний амплитуда результирующего колебания равна нулю, то есть в рассматриваемой точке колебаний нет. Тоже самое происходит если на отрезке укладывается любое нечетное число полуволн. ΔD=( 2k+1 )λ/2, k=0,1,2... - условие минимума. Аналогично интерференции поверхностных водяных волн происходит и интерференция световых волн, но осуществить это явление значительно сложнее. Необходимо учитывать, что условия излучения и природа этих волн различны, а общее между ними только в периодичности процессов. Перед демонстрацией опытов по интерференции света следует рассмотреть вопрос о когерентных источниках волн. Когерентность поверхностных волн на воде легко осуществляют в волновой ванне с помощью двух связанных между собой вибраторов. Два обычных источника света не являются когерентными. Учащимся необходимо пояснить, что для получения устойчивой картины интерференции света надо использовать специальные установки, в которых заставляют интерферировать два пучка одной и той же волны, излучаемые одним источником, но идущие к точке наблюдения различными путями. После этого демонстрируют интерференцию света и по аналогии объясняют интерференционную картину. Проводя аналогию между световыми и поверхностными водяными волнами, показывают сходство и различие явлений различной природы. 3.Дифракция света. Явление дифракции света рассматривают по аналогии с дифракцией поверхностных волн на воде. Для этой цели в волновой ванне показывают явление дифракции волн (отклонение волн от прямолинейного распространения), ставя на пути волн препятствия, размеры которых соизмеримы с длиной волны. Получают дифракцию на препятствии и на щели. Когда явление дифракции с помощью поверхностных водяных волн разъяснено, переходят к дифракции света. Но перед демонстрацией соответствующих опытов останавливаются на различии дифракции света и дифракции длинных поверхностных волн. Так как поверхностные водяные волны иллюстрируют огибание волнами препятствий, без последующего распределения максимумов и минимумов, то есть поверхностные волны подчиняются принципу Гюйгенса – Френеля. В случае световых волн имеет место не только огибание препятствий, но и сложение волн. Поэтому, наблюдая дифракцию света, видят проявление максимумов и минимумов освещенности, что является результатом интерференции (наложении) волн. При рассмотрении дифракции света можно использовать таблицу 3, в которой сопоставляются дифракционные картины от освещенной щели и в волновой ванне при различной ширине щели. Таблица 3. Особенности дифракционной картины от освещенной щели Дифракционная картина в волновой ванне Объяснение дифракционной картины на основе принципа Гюйгенса—Френеля Размеры дифракционной картины больше размеров изображения щели, которые получились бы при прямолинейном распространении света Вторичные волны заходят за края щели В центре картины — светлая полоса, по краям — светлые и темные полосы В направлении, перпендикулярном щели, вторичные волны имеют одинаковую фазу, в результате интерференции происходит усиление колебаний. В других направлениях вторичные волны интерферируют, имея некоторую разность фаз, которая определяет результат интерференции При очень узкой щели на экране возникает светлое размытое пятно В щели образуется один источник вторичных волн 4.Поляризация света. Как известно, электромагнитные волны поперечны. Так как свет имеет электромагнитную природу, то световые волны также поперечны. Чтобы разобраться в опытах по поляризации света необходимо уяснить понятие плоско поляризованного света и действие поляризатора, и анализатора. Плоскополяризованными волнами называют поперечные волны, колебания в которых происходят в одной плоскости вдоль прямой, перпендикулярной направлению распространения. Такими являются волны на шнуре, поэтому свойства плоскополяризованных волн можно наглядно объяснить. Для этой цели берут щель между двумя досками. Если эту щель расположить вертикально, то волны бегущие по шнуру, раскачиваемому в вертикальной плоскости, свободно пройдут через щель (рисю.4,а). Если же щель повернуть на 90 , то волны через щель не пройдут и будут полностью погашены (рис.4,б). Рис.4 а) б) Естественный свет не поляризован, но его поляризацию можно осуществить с помощью приборов – поляризаторов, действие которых аналогично действию щели в опыте со шнуром. В поляризатор пропускают лишь лучи с определенной плоскостью колебаний светового вектора Е. Обнаруживают поляризацию света с помощью анализаторов, действие которых аналогично действию указанной щели, плоскость которых параллельна щели. Применение этой аналогии делает явление поляризации света понятным и доступным. ГЛАВА 2 Другие виды аналогий в школьном курсе физики. § 5 Использование аналогии при изучении транзистора. В настоящее время транзистор как полупроводниковый прибор нашел широкое применение во всех сферах человеческой деятельности. Популярность прибора повышает интерес учащихся к нему и его техническому приложению. Модель транзистора, как и всякая аналогия, является приближением прибора и имеет свои границы применимости (например, с ее помощью невозможно показать собственную и примесную проводимость; перемещение дырок и электронов и т. д.). Однако в главном модель и оригинал схожи: это тождественность включения их схем и аналогичность работы основных частей и, кроме того, равенство нулю тока коллектора при отсутствии тока в базе. рис.1 После ознакомления учащихся с основными элементами транзистора p-n-p-типа (эмиттером, базой и коллектором) и механизмами правого и левого p-n-переходов, учащимся предлагается пронаблюдать данные процессы на модели. Для этого собирается установка, показанная на рис. 1. (предложенная В.С. Данюшенковым и С.Е. Каменецким) Она состоит из аналога транзистора 1, двух центробежных водяных насосов с электродвигателями 2 и стеклянных переходников 3, соединенных между собой резиновыми трубками. В качестве аналога берут модель водоструйного насоса, имеющаяся в арсенале кабинета физики. Источником переменного «напряжения» для модели (см. рис- 1) служит вход 4, который подключают к водопроводному крану. Меняя с помощью крана скорость течения жидкости в установке, регулируют давление (напор) в ней. В этой установке давление жидкости служит аналогом напряжения в электрической цепи транзистора. Насосы выполняют роль источников постоянного тока, трубки с водой — соединительных проводов, а стеклянная трубка 5 - постоянного резистора R, включенного в цепь, показанную на рис. 3. Рис. 3. Работу основных элементов модели необходимо показать учащимся. Сначала объясняют роль токов в правом и левом p-n-переходах и их влияние на работу транзистора. Для этого открывают кран и создают постоянный напор воды в системе «эмиттер — база». Жидкость через «эмиттерный» вход поступает в полость аналога транзистора и сливается в отверстие «базы». Источник постоянного напряжения (насос) левого перехода включают в таком направлении, чтобы поток воды из «базового» отверстия всасывался в «эмиттерную» цепь и создавал прямой ток, который зависит только от источника напряжения. Показывают соответствующую демонстрацию, изменяя напор воды в системе с помощью крана и насоса (меняют число оборотов двигателя). При этом часть воды поступает в «коллектор». Это иллюстрирует диффундирование нерекомбинированных в базе дырок в коллектор. Затем показывают значение базы в транзисторе. Включают правый и левый насосы аналога так, чтобы потоки жидкости в них циркулировали по часовой стрелке. Тогда по «базе» будут протекать два встречных потока жидкости. На языке аналогии это означает, что значения силы тока в цепях базы Iб, эмиттера Iэ и коллектора Iк связаны соотношением: Iб=Iэ-Iк. О соотношении значений силы тока в транзисторе учащиеся судят путем наблюдения за показаниями расходомеров жидкости, включенных в «эмиттерную» и «коллекторную» цепи модели. Расходомер представляет собой устройство для измерения скорости течения воды и аналогичен амперметру. Поскольку скорость движения жидкости в «эмиттере» приближенно равна скорости движения жидкости в «коллекторе», можно сделать вывод об отсутствии ее движения в «базе», т. е. о том, что Iб=0. Действительно, так как концентрация инжектируемых дырок с эмиттера много больше их концентрации на границе с базой (ширина базы очень мала), то дырки интенсивно диффундируют к коллектору. В то же время обратный ток коллекторного перехода много меньше тока, создаваемого дырками эмиттера. Поэтому силу тока в цепи коллектора можно считать равной силе тока в цепи эмиттера (Iк Затем рассматривается использование транзистора как усилителя мощности. При этом рассматривают два случая: включение транзистора по схеме с общей базой (рис. 3, а) и общим эмиттером (рис. 3, б). Схему с общим коллектором не рассматривают, поскольку она мало чем отличается по действию от схемы с общим эмиттером. Поясняют распределение силы тока между эмиттером, базой и коллектором. Усиление мощности можно осуществлять двумя способами: а) при постоянном напряжении увеличивать силу тока, б) при постоянной силе тока увеличивать напряжение. Сначала рассматривают усиление мощности транзистора по току в схеме с общей базой (рис.3,а). Механизм этого процесса обсуждался при изучении правого p-n-перехода и поэтому усилительное действие в данном случае основано на равенстве Iк=Iэ. Затем переходят к изучению усиления по току в схеме с общим эмиттером, рис3,б (Iк=Iэ+Iб). Сущность процесса состоит в усилении рекомбинации дырок в базе путем подачи напряжения на эмиттерный и базовый входы транзистора. Демонстрацию осуществляют следующим образом. Насос «эмиттерного перехода» переключают так, чтобы он перемещал жидкость против часовой стрелки. Тогда одна часть жидкости от крана поступит по каналу «эмиттера» в полость «транзистора», а другая часть начнет всасываться насосом и перемещаться к «базе». Далее включают насос «коллекторного перехода» (перемещают воду по часовой стрелке) так, чтобы токи в «базе» были направлены в сторону аналога транзистора. Таким образом, возникнет значительный поток воды на выходе из «базы», который будет воздействовать на струю жидкости, вытекающую из «эмиттера», направляя ее в «коллекторный переход». Усиление мощности по напряжению основано на различии сопротивлений коллекторного и эмиттерного p-n-переходов, включенных в противоположных направлениях. Эмиттерный переход, на который подано прямое напряжение смещения, имеет малое сопротивление, и падение напряжения на нем Us мало. На коллекторный же переход подается обратное напряжение смещения, и сопротивление его значительно больше, поэтому в коллекторную цепь может быть включена высокоомная нагрузка, сопротивление которой Rн значительно больше сопротивления эмиттерного перехода. Поскольку Iк и Iэ одинаковы, то падение напряжения на высокоомной коллекторной нагрузке Uн=IкR Для демонстрации явления можно воспользоваться моделью, собранной так, чтобы насосы вращались в одну сторону. Поочередно беря трубки 5 разного диаметра, демонстрируют роль нагрузки в цепи коллектора для усиления мощности. § 6 Изучение электрических цепей с использованием аналогии. При введении понятия об электрическом токе полезна аналогия с течением воды в турбине. Аналогия становится особенно образной, если к этому времени введено понятие об электроне, тогда электрический ток представляется как упорядоченное движение электронов в проводнике. Весьма полезна гидродинамическая аналогия и при знакомстве с источникоми тока. На полюсах источника тока создается напряжение. Заряды (электроны, ионы), которые перемещаются в проводниках (металлах, электролитах), имеются в самих проводниках. Они движутся хаотически, но если проводник присоединить к полюсам источника тока, то заряды придут в упорядоченное движение, то есть появится ток. Поэтому здесь целесообразна аналогия источника тока с насосом. В гидродинамической системе (рис.1) насос не создает воду, а лишь вызывает ее перемещение. рис.1 Аналогично насосу и действие источника тока в электрической цепи. Насос создает разность давлений (напор), что может быть аналогом напряжения. Турбина аналогична потребителю, насос - источнику тока, трубки с водой – соединительным проводам, а кран – выключателю. Приведем схему установки и ее работу, предложенную С. Е. Каненецким и Н.Н. Солодухиным. Установка для демонстрации гидродинамической аналогии электрической цепи состоит из центробежного насоса с электродвигателем 1, водяной турбины 2, манометра 3, расходомера 4, соединительных резиновых трубок 5 и кранов 6 и 7 (рис.2). рис.2. В начале установку собирают без расходомера и манометра. Число оборотов двигателя регулируют реостатом, в результате центробежный насос создает разный напор воды. Водяная турбина состоит из плексигласа (рис.3). рис.3. Вода в нее поступает через сопло 1 вверху турбины, приводит в движение ротор 2 и выходит через отверстие 3. Ось ротора установлена в подшипниках и вращается с малым трением. При увеличении числа оборотов двигателя увеличивается напор воды и ротор турбины вращается быстрее. К турбине присоединяют манометр через специальные трубки 4, имеется кран 5. Сбоку турбины укреплен металлический стержень 6, с помощью которого ее устанавливают на лабораторном штативе. Для герметичности турбины между корпусом и крышкой поставлена резиновая прокладка. В расходомере (изготовленном из плексигласа) имеется канал, по которому протекает вода, приведенная в движение насосом. В канале перпендикулярно дв ижущемуся потоку расположена площадка, соединенная со стрелкой расходомера. Укрепляют расходомер на специальном штативе с помощью вертикального стержня. С другими приборами он соединен резиновыми трубками. Вверху расходомера имеется отверстие, закрепленное винтом, необходимым для выпуска воздуха при заполнении системы водой. Демонстрации с установкой сводятся к следующему. Когда установка состоит из насоса и трубки (рис.4) демонстрируют циркуляцию воды, аналогичную движению зарядов в электрической цепи. рис.4. Поочередно закрывая краны, показывают, что краны можно установить в любом месте. Аналогично этому в электрической цепи можно установить где угодно выключатель. Когда установка собрана с расходомером (рис.5) изменяют число оборотов двигателя (меняют напор воды) и стрелка расходомера сильно отклоняется. Сжимая в любом месте резиновую трубку, показывают изменение потока воды при одном и том же напоре. рис.5. Когда установка собрана целиком (см. рис. 2), обращают внимание на показания манометра, который аналогичен вольтметру в электрической цепи. Одновременно демонстрируют величины, аналогичные электродвижущей силе и напряжению. Действительно, если открыть кран 6, а кран 7 закрыть, то циркуляции воды не будет, и манометр покажет максимальную разность давлений при таком числе оборотов. Это показание манометра аналогично электродвижущей силе. Если же кран 7 открыть, то вследствие движения воды турбина приходит в движение и показания манометра уменьшаются. (Показания манометра аналогичны напряжению, а показания расходомера — току.) Изменяя сопротивление трубок (набор трубок различного поперечного сечения и длины) движению воды, показывают зависимость между напором и сопротивлением движению воды, которая аналогична закону Ома для полной цепи. Познакомив учащихся с отдельными элементами электрической цепи, надо собрать простейшую электрическую цепь (потребитель — лампа накаливания, источник тока - батарея элементов, соединительные провода и выключатель), а рядом с ней расположить соответствующую установку для демонстрации гидродинамической аналогии (рис.2). Видно, что при работе насоса создается разность давлений (напор), под действием которого вода перемещается по трубкам и приводит в движение турбину. Вода в системе циркулирует. Аналогично происходит направленное перемещение зарядов в электрической цепи. Разрыв цепи (в любом месте) нарушает это движение. Последнее дает возможность исключить часто встречающуюся ошибку: учащиеся полагают, что ключ в цепи ставят не в любом месте, а обязательно между положительным полюсом источника тока и потребителем. Одновременно с этим объясняют, что в системе происходят определенные превращения энергии и что основным потребителем энергии является турбина. Затем рассматривают явления в цепях переменного тока с емкостью и индуктивностью, а также сдвиг фаз между током и напряжением. В электростатике было изучено устройство конденсатора и его основные свойства. При этом отмечалось, что постоянный ток не проходит в цепи с емкостью, так как диэлектрик конденсатора разрывает цепь. Иначе обстоит дело в цепи переменного тока. Чтобы показать это, составляют цепь с батареей конденсаторов и последовательно включенной с ней лампой накаливания (рис.7). Лампа горит-значит, в цепи есть ток. При изменении емкости батареи конденсаторов изменяется накал волоска лампы. Это говорит о том, что в данной электрической цепи есть особое (емкостное) сопротивление, которое зависит от емкости. Для разъяснения этого факта полезны гидродинамические аналогии показанные на рис.8. рис.8 На этих моделях рассматривают возвратно-поступательное движение насоса (или вращение насоса) то в одну, то в другую сторону; при этом упругая перепонка прогибается в соответствующие стороны. Происходит перемещение жидкости в трубах (ток), но жидкость не проходит через перепонку, так же как и заряды в электрической цепи не проходят через диэлектрик конденсатора. 3. Цепь переменного тока с индуктивностью. Наличие индуктивного сопротивления в цепи переменного тока можно продемонстрировать на опыте. Составим цепь из катушки большой индуктивности и электрической лампы накаливания (рис.9). Рис.9. С помощью переключателя можно подключить эту цепь либо к источнику постоянного напряжения, либо к источнику переменного напряжения. При этом постоянное напряжение и действующее значение переменного напряжения должны быть равны между собой. Опыт показывает, что лампа светится ярче при постоянном напряжении. Действующее значение силы переменного тока в рассматриваемой цепи меньше силы постоянного тока. Это объясняется явлением самоиндукции. При подключении катушки к источнику постоянного напряжения сила тока в цепи нарастает постепенно. Возникающее при нарастании силы тока вихревое электрическое поле тормозит движение электронов и при прошествии некоторого времени сила тока достигает наибольшего значения, соответствующего данному постоянному напряжению. Если напряжение быстро меняется, то сила тока не будет успевать достигать тех значений, которые она бы приобрела с течением времени при постоянном напряжении. Следовательно, максимальное значение силы переменного тока ограничивается индуктивностью цепи и будет тем меньше, чем больше индуктивность и частота приложенного напряжения. Для индуктивного сопротивления полезна аналогия между индуктивностью в цепи переменного тока и массой материального тела. В случае переменного тока электродвижущая сила самоиндукции имеет место в цепи все время, а не возникает лишь в момент включения и выключения тока, как это было в случае постоянного тока. Наличие этой э.д.с. и объясняет появление индукционного сопротивления. Обычно рассмотрение цепи переменного тока с индуктивностью проходит без больших затруднений, и аналогия между массой и индуктивностью носит лишь иллюстративный характер. С помощью аналогии объясняют между катушкой индуктивности и источником тока, появление индуктивного сопротивления, а также сдвиг фаз между током и напряжением в данной цепи. К сожалению, более наглядно гидродинамическую аналогию для этого привести не удается. Рассмотрим колебания пружинного маятника ( рис.10 ). Верхнее положение x=A, v=0, a=am x=0, v=vm, a=0 Нижнее положение x= - A, v=0, a=am Рис.10. Легко установить, что между смещением, скоростью и действующей силой имеется сдвиг фаз (рис.11). Аналогия между механическими и электрическими колебаниями дает возможность показать, что сдвиг фаз между током и напряжением естественен. Вполне допустимо при этом вычертить график и установить соответствие между величинами, характеризующими процессы в электрической цепи (I и U), и величинами, характеризующими процессы в пружинном маятнике (x и v). Графики аналогичны графику представленным на рис.11, только вместо величин x, v, F ставятся аналогичные им величины q, i, U,то есть i=q'; Затем поясняют, что при максимальном значении напряжения сила тока в цепи равна нулю и наоборот. Для этого на механической аналогии показывается, что при максимальном значении действующей силы скорость равна нулю, а когда скорость максимальна, равна нулю действующая сила. §7. Аналогии при изучении постулатов Бора. Эти сравнения помогают учащимся создать представление о масштабах ядерной модели атома. Но движение электронов относительно ядра более сложнее, чем орбитальное движение планет и оно подчиняется другим законам. Ядерную модель атома затем используют для объяснения электризации тел, явления электропроводности, при изучении электрического тока в металлах и электролитах. О дальнейшем развитии планетарной модели атома рассказывают после изучения фотоэффекта. Для объяснения закономерностей фотоэффекта вводят представление о дискретности светового излучения, а также понятие о фотоне как элементарной частице света с энергией Е=hν. Отсюда возникает вопрос: является ли дискретность энергетических состояний свойством, характерным лишь для излучающих твердых тел, или же эта дискретность присуща любым атомным системам? Подобные рассуждения привели в 1913 году И. Бора к предположению о неприменимости максвелловской электродинамики к электронам, движущимся в атомах. В основу своей теории Н. Бор положил следующие постулаты: mvnRn=nh/2π , где n=1, 2, 3…. Планетарная модель атома в теории Бора “модернизирована”, то есть электроны могут перескакивать с орбиты на орбиту, когда атом переходит из одного стационарного состояния в другое. Так, при изложении вопроса об излучении света атомом существует аналогия с реальным макропроцессом—вылетом стрелы из лука. Оба процесса возможны только в том случае, если участвующие в них объекты (атом, лук) находятся в возбужденном состоянии (в последнем случае под «возбуждением» понимается натяжение тетивы). Тетива и атом в конечном счете возвращаются в невозбужденное состояние (ему соответствует наименьшее из возможных значение энергии); при этом соблюдается закон сохранения энергии (потенциальная энергия упруго деформированной тетивы переходит в кинетическую энергию стрелы, а энергия возбуждения атома «уносится» фотоном: Е2-Е1=hν. Однако между этими явлениями есть различие: Постулаты Бора дают возможность вычислить полную энергию атома исходя из уравнений: mvR=nh/2π (1) V=nh/2πmR; n2h2/4π2mR3=Ze2/R2 R=n2h2/Ze24π2m E=- Полную энергию атома при определенном стационарном состояии называют энергетическим уровнем. Вычисляя значения E при n=1, E при n=2 и т. д., получаем ряд значений энергии: Е1=-13,53 эВ; Е2=-3,4 эВ; Е3=-1,5 эВ; Е4=-0,8 эВ и т.п. При n=∞ Е∞=0. После вычислений строим график (рис.5.): Рис.5. Ось энергии в этом графике берут вертикальной, за начало отсчета выбирают энергию атома, когда его электрон удален в бесконечность – это нулевой уровень энергии атома. Так как энергия атома орбитальна, то все последующие значения энергии будут ниже нулевого уровня. Минимум энергии (E1=-13,53эВ) атома соответствует невозбужденному его состоянию, когда электрон находится на наиболее близкой к ядру орбите. Выбирают масштаб таким образом, чтобы потом легко было разделить отрезок, соответствующий расстоянию между уровнями E∞ и E1 на 4, 9, 16 и т. д., равных частей. Построенное таким образом изображение значений энергии атома в различных его состояниях называют энергетической моделью атома. Энергетическая модель атома дает ряд объяснений: а) объяснение происхождения линейчатых спектров. Линейчатый спектр испускания объясняют переходом атома, находящегося в возбужденном состоянии, с высшего энергетического уровня на более низкий. Например, при переходе со второго энергетического уровня на первый энергия атома уменьшается на Е2-Е1=1,77 эВ; при этом испускается фотон света с длиной волны, равной λ= Линии поглощения в спектре атома образуются в результате перехода атома с энергетического уровня, соответствующего невозбужденному состоянию атома, на более низкий уровень за счет энергии получаемой из вне. Так как атом обладает вполне определенными, дискретными значениями энергии, то и длины волн излучаемого или поглощаемого света вполне определены. Чем больше разность энергий уровня атома, тем меньшей длины волны испускается свет. б) Объяснение люминесценции. Механизм флюоресценции показан на рис.6. Рис.6. Фотон с энергией hν15 поглощается молекулой, переводя ее из состояния с энергией Е в возбужденное состояние Е1 . Обратный переход может идти прямо (пунктирная линия) или в виде каскадного процесса, когда испускаются различные фотоны с энергиями hν54 , hν42 , hν21 , причем энергия поглощенного фотона (hν0) может оказаться меньше суммарной энергии испускаемых фотонов (hν) . Часть энергии фотона (А) передается соседним молекулам и затрачивается на различные внутримолекулярные процессы. Поэтому справедливо равенство: hν = hν0 –A Откуда ν < ν 0, λ > λ0 ,то есть длина волны испускаемого света при люминесценции меньше длины волны падающего света. Фосфоресценцию наблюдают в кристаллах, где центрами свечения являются атомы, ионы или группы их. Электрон, возбужденный поглощаемым светом, нередко отделяется от центра свечения. При возвращении электрона на прежнее место свечение возобновляется. Так как скорость перемещения электрона в кристалле мала, то свечение может продолжаться длительное время. Поэтому при изучении энергетических диаграмм полезно сопоставить их с планетарной моделью Резерфорда – Бора, обратив внимание на важные моменты: 3. Расстояние между орбитами имеют геометрический смысл, а между уровнями – энергетический; поэтому говорить о скачках электрона с уровня на уровень недопустимо. Таким образом данная аналогия помогает учащимся лучше разобраться и понять постулаты Бора и энергетическую модель атома. ГЛАВА 3. Изучение аналогий на факультативах, кружках и спецкурсах. § 8. Волчок и магнит. Рассмотрим пример, который заключается в запуске волчка. При запуске волчка, мы любуемся его кружением, удивляемся его устойчивости и нам хочется разгадать его тайну. Почему неподвижный волчок не может стоять на острие своей оси, а приведи его в быстрое движение – и, словно перед тобой совсем другой предмет, он стойко держится, вращаясь вокруг вертикальной оси. Мало того, волчок упорно сопротивляется попыткам упорно вывести его из этого положения. Если попытаться толкнуть его, вывести волчок из вертикального положения, опрокинуть, но волчок и после толчка продолжает кружиться, описывая своей осью коническую поверхность (рис. 1). Рис.1. Если рассмотреть опыт с вращающейся цепью и заставить ее стоять, как твердый обруч, покажется смешной фантазией, но сообщите цепи быстрое вращение, надев ее на вращающийся шкив, и затем сдвиньте в сторону, дайте ей соскользнуть на стол, и она «побежит» по столу так же, как если бы была твердым кольцом. Механика дает объяснение этому удивительному явлению. Для этого надо знать закон сохранения момента импульса. Для вращательного движения справедлив закон сохранения момента импульса: L = Iω = const. где L — момент импульса; I — момент инерции, характеризующий инерцию вращательного движения, ω — угловая скорость. Только под действием внешних сил, например трения, катящаяся цепочка может уменьшить скорость вращения и тогда, потеряв форму, упадет на стол. То же относится и к волчку. Мы познакомились с одним свойством волчка—сохранением направления оси волчка. Обратимся ко второму важному его свойству. Лучше всего оно обнаруживается в следующем опыте (рис. 2). Рис.2. Сплошная латунная шайба К. с утолщенным ободом надета на стальную ось А, вокруг которой она может вращаться внутри латунного кольца . Если намотать на ось шнурок и быстро потянуть его, то шайба придет в быстрое вращение. Прилив D на кольце R имеет снизу углубление, которым весь волчок может быть надет на стальное острие штатива. Если при этом не поддерживать прибор рукой, то он под действием силы тяжести опрокинется и упадет. Если же, прежде чем убрать руку, привести прибор во вращение, то ось волчка с его кольцами как бы повиснет в горизонтальном положении, причем вся система будет поворачиваться вокруг вертикальной оси штатива. Это вращение получило название прецессии. Прецессия возникла как результат действия силы тяжести и стремления вращающегося волчка сохранять направление оси. В 1852 г. французский физик Фуко обнаружил, что горизонтальная ось вращающегося волчка устанавливается в направлении север — юг, подобно магнитной стрелке компаса. С той разницей, что ось волчка устанавливается в плоскости географического меридиана, а стрелка компаса в плоскости магнитного меридиана, который, как известно, не совпадает с географическим. Объясним это удивительное свойство волчка. Для простоты представим, что наш гироскоп расположен на экваторе в точке А (рис. 3), причем его ось ориентирована с востока на запад. Так как Земля вращается, то через некоторое время точка А перейдет из положения 1 в положение 2. Ось гироскопа, как мы знаем, стремится сохранить прежнее направление, но действие силы тяжести приводит ее снова в горизонтальное положение. Совместное действие силы тяжести и вращения вызывает прецессию. Ось поворачивается до тех пор, пока не установится параллельно земной оси, в плоскости меридиана с севера на юг. После этого прецессия прекращается, так как при продолжающемся вращении Земли ось гироскопа будет перемещаться параллельно самой себе, а прецессия наблюдается при попытке изменить направление оси. Все вращающиеся тела, например маховые колеса двигателей, стремятся повернуть свои оси по направлению к Полярной звезде. A 1 экватор 2 Рис.3. Тысячелетиями люди удивлялись чудесным свойствам магнита, но не могли разгадать его тайну, так как не знали законов волчка и строение атома. Первое научное сочинение о магнетизме принадлежит английскому врачу Гильберту, написавшему в 1600 г. книгу «О магните, магнитных телах и большом магните—Земле». Здесь впервые уточняется понятие полюсов магнита, а также делается попытка понять строение магнита: если разделить магнит на части, то получится множество маленьких магнитов. Следовательно, магнит состоит из множества маленьких магнитиков. Только в 1785 г. французский военный инженер Кулон, используя изобретенные им крутильные весы, исследовал взаимодействие магнитных полюсов и доказал, что оно подчинено закону обратных квадратов, расстояния. Однако природа магнита продолжала оставаться таинственной. Только аналогия притяжения и отталкивания магнитных полюсов и электрических зарядов наводила на мысль о родстве этих двух явлений. Лишь после обнаружения Эрстедом на опыте действия электрического тока на магнитную стрелку и уточнения Ампером законов этого, действия мысль о взаимосвязи электричества и магнетизма была подтверждена. Ампер выдвинул теорию, по которой магнит состоит из маленьких, элементарных круговых токов, но круговой ток. как известно, обладает магнитными полюсами (рис. 4). Фарадей и Максвелл разработали учение о магнитном поле. N S Рис.4. Еще Фарадей установил, что все вещества можно разделить. на две группы — парамагнитных и диамагнитных веществ и что нет материалов, безразличных к магнетизму. Правда, магнитные свойства большинства тел очень слабо выражены и для их обнаружения приходится воздействовать очень сильными магнитными полями на маленькие и легкие образцы исследуемых материалов. Подвешивая стержень из висмута между полюсами сильного электромагнита, можно увидеть, что стержень устанавливается перпендикулярно направлению линий индукции магнитного поля, тогда как стержень из алюминия располагается параллельно этим линиям. Висмут диамагнитен, алюминий парамагнитен (в переводе с греческого пара — значит вдоль, диа — поперек, через). Лишь в наши дни явления диа- и парамагнетизма получили свое объяснение в электронной теории. Начнем с диамагнетизма. Его происхождение связано с движением электронов вокруг ядра атома по орбите (назовем это движение орбитальным). Электрон, обращающийся вокруг ядра, можно уподобить волчку, и подобно тому как поле тяготения вызывает прецессию волчка, противодействующую силе тяжести, так внешнее магнитное поле вызывает прецессию вращающегося вокруг ядра электрона, противодействующую магнитному полю. Так как в любом атоме любого вещества происходит орбитальное движение электронов, то диамагнетизм свойствен всем видам вещества. Но диамагнитные свойства очень слабы и во многих случаях они перекрываются парамагнитными свойствами. От чего же зависят парамагнитные свойства? Дело в том, что, кроме орбитального движения, электронам присуще еще и вращательное движение вокруг их собственной оси. Для наглядности принято сравнивать движение электрона вокруг собственной оси с движением Земли вокруг оси (при одновременном ее движении по орбите вокруг Солнца). Таким образом, электрон уподобляется волчку, и его движение получило название «спин» (от английского глагола to spin — запускать волчок). Надо при этом иметь в виду, что это всего лишь полезный, наглядный образ. Современная физика отказалась от представления об электроне, как о каком-то вращающемся шарике, однако спин все-таки существует, и мы будем пользоваться этим наглядным образом электрона-волчка, обладающего магнитными свойствами. В зависимости от направления вращения условно различают положительный спин и отрицательный. Два спина с противоположными знаками друг друга «нейтрализуют» (рис. 5). S N N N S S Рис.5. Если каждому электрону с положительным спином соответствует в атоме электрон с отрицательным спином, то магнитные свойства, зависящие от спинов, нейтрализуются и остается лишь магнетизм, зависящий от орбитального движения электронов. Вещества из таких атомов диамагнитны. Но во многих случаях числа положительных и отрицательных спинов не уравновешены, тогда атом обладает результирующим спином и соответствующим магнитным моментом. Рисунок 6 иллюстрирует схему атома железа. - электрон со спином + - электрон со спином - Рис.6. Электроны на оболочках К, L, и N спарены (эти оболочки заселены парами электронов с противоположно ориентированными спинами), тогда как на оболочке М имеются непарные электроны, дающие нескомпонсированный спин — спин атома. То же, только в более слабой степени, можно сказать и о любом парамагнетике. Рис.7. Тепловое движение приводит спины атомов в беспорядочное расположение, и парамагнитные свойства вещества обычно не проявляются (рис. 7 слева). Но если поместить такое вещество во внешнее магнитное поле, то спины атомов в результате прецессии ориентируются приблизительно вдоль линий индукции внешнего магнитного поля (как гироскоп вдоль меридиана) и вещество проявляет свойства парамагнетика (рис. 7 справа). Особую группу составляет небольшой класс веществ — ферромагнетики, названные по их главному представителю — железу. По современной теории кристалл железа состоит из отдельных микроскопических областей (доменов), в каждой из которых спины атомов уже расположены (без участия внешнего поля) в направлении кристаллических осей (вспомните анизотропию кристаллов). В ненамагниченном железе домены ориентированы так, что суммарное магнитное поле их равно нулю (рис. 8). рис.8. Поднося к куску железа магнит или помещая его в магнитное поле, мы вызываем определенную ориентацию доменов и появление магнитных свойств — железо становится магнитом. Неаккуратным обращением вы можете испортить этот магнит, если будете, например, ронять его или ударять по нему, так как при ударах наведенный порядок доменов нарушается. Наоборот, вы можете усилить магнитные свойства магнита, если замкнете его полюсы железной пластинкой, к середине которой подвесите маленькую коробочку, и будете постепенно, день за днем, добавлять в коробочку грузы (песок). Так вы сможете «воспитать» ваш магнит, и он будет поднимать значительные тяжести. При нагревании магнит теряет свои магнитные свойства. Существует температура (температура Кюри), при которой ферромагнетик совершенно размагничивается и превращается в парамагнетик. Для железа эта температура равна 770°C. Магнитные качества ферромагнетиков в сильной степени зависят от примеси других веществ к железу. Это свойство используется в технике, когда желают получить более прочные постоянные магниты или, наоборот, материал, способный легко терять свои магнитные свойства или перемагничиваться в обратном направлении (сердечники трансформаторов, моторов, генераторов). Технология ферромагнитных материалов использует еще особую группу материалов, называемых ферритами. Они представляют собой полупроводники и состоят из смеси оксидов железа с оксидами некоторых других металлов (марганца, кобальта, никеля, меди, магния). Порошки этих оксидов тщательно смешивают, спрессовывают и придают им .различную, форму (палочек, колец и др.). Ферриты обладают очень большим электрическим сопротивлением и большой магнитной проницаемостью — эти свойства и обуславливают их широкое применение. Ферритова машина маленькая - палочка – позволяет заменять длиннные антенны в портативных радиоприемниках, транзисторах. Ферритовы кольца используют в «памяти» электронновычислительных машин. §9. СВЕТ И ГЛАЗ Немецкому физику и физиологу Гельмгольцу принадлежит фраза: «Если бы оптик принес мне столь несовершенный инструмент, как человеческий глаз, я бы тотчас выбросил его за дверь. С такой суровой оценкой можно было бы согласиться лишь в том случае, если судить о глазе только как об оптическом приборе. Совсем иное будет суждение, если мы будем рассматривать всю совокупность зрительного органа и будем оценивать глаз как один из основных анализаторов (в свете учения И. П. Павлова), воспринимающих действия раздражителей внешнего мира на нашу нервную систему. Сколько волнующих слов сказали поэты о глазах, черных, голубых... Сколько художников пытались передать их очарование. Но разве не связан с глазом весь раздел «Геометрическая оптика». Основное понятие геометрической оптики - луч. Пронизывающие чащу леса или вырывающиеся из-за туч потоки света действительно создают представление о лучах. В темном зрительном зале кинотеатра из окошечка кинобудки вырывается сноп света, воспринимаемый нами как расходящийся конус лучей. Но, конечно, это не собрание лучей, это пучки света, а луч - это идеализированное понятие, геометрическая линия. Пучок света - это физика, луч - геометрия. Геометрическое понятие прямой линии тесно связано с понятием луча, a значит, со свойством нашего глаза. Когда плотник проверяет прямолинейность кромки оструганной доски, он смотрит вдоль нее по лучу зрения. Образование теней и солнечных пятен связано с прямолинейным распространением световых пучков. Солнечные пятна представляют собой изображения Солнца, получившиеся при прохождении пучка света через малые отверстия. Камера-обскура — исстари известный оптический прибор. Для получения четких изображений необходимо только подобрать размер отверстия. Уменьшение его ведет к получению более отчетливых изображений, так как узкие пучки света от отдельных точек предмета не накладываются друг на друга. При чрезмерном уменьшении отверстия изображение снова становится туманным. Здесь кончается геометрическая оптика и проявляется волновая природа света. Речь идет о дифракции. Человеческий глаз тоже представляет собой устройство, по принципу действия схожее с фотоаппаратом. Через зрачок-отверстие в радужной (окрашенной) оболочке глаза, которое, подобно диафрагме фотоаппарата, может сужаться или расширяться, в зависимости от яркости освещения, лучи света проходят через хрусталик и дают изображение на сетчатой оболочке глаза. Как изменится изображение на фотографической пластинке или на экране при показе диапозитивов при помощи проекционного фонаря, если закрыть половину объектива? Диафрагма позволяет получить более резкое изображение, способствует увеличению резкости изображения на сетчатке, а следовательно, и более отчетливому видению и сужению зрачка нашего глаза. Вот интересное подтверждение этому: не прибегая к лупе, можно разобрать мелкую печать, если страница ярко освещена солнцем. Яркое освещение заставляет зрачок суживаться, и изображение становится более резким. Люди, читающие обычно в очках (дальнозоркие), могут в случае необходимости прочитать написанное без очков. Оставив маленькую дырочку между сжатыми пальцами, надо смотреть одним глазом на страницу, зажмурив при этом другой. Тогда из туманных строчек страницы выступит отчетливо видимая часть строки. Если посмотреть сбоку на человеческий глаз, то видна выпуклость. Это роговая оболочка. За ней расположена радужная оболочка. Между роговой и радужной оболочкой находится «водянистая жидкость», далее хрусталик, и, наконец, студенистое «стекловидное тело», которые образуют оптическую систему глаза. Подобно фотоаппарату, глаз наводится на резкость, и на сетчатке получается четкое изображение рассматриваемого предмета. Это достигается изменением кривизны хрусталика (рис. 1). Рис.1 Окружающие хрусталик мышцы могут сжимать или растягивать хрусталик и тем самым изменять в известных пределах, его фокусное расстояние. Сходство в получении зрительных изображений в глазу с фотографическим процессом мы находим и в химических явлениях на сетчатке. Они аналогичны процессам, которые происходят в светочувствительной эмульсии пленки. На фотографической пленке световое изображение снимаемого предмета вызывает разложение бромида серебра в светочувствительном слое. В глазу под действием света происходит разложение (обесцвечивание) особого вещества - зрительного пурпура, приготовляемого светочувствительным слоем сетчатки (пигментным эпителием). Более яркие места светового изображения вызовут большее разложение пурпура, темные - меньшее. Вследствие этого на сетчатке, как и на фотопленке, получается изображение. На задаваемый обычно вопрос, почему мы не видим предметы «вверх ногами», раз изображение на сетчатке получается обратное, можно было бы и не отвечать, так как этот вопрос содержит в себе ошибку. Самый короткий ответ был бы тот, что мы видим не изображение на сетчатке (которое действительно обратное), а предметы во внешнем мире. Что такое верх и низ? Это понятия относительные. Люди, находящиеся на противоположной стороне земного шара, по отношению к нам ходят «вверх ногами». Бесспорным, выработанным всей практикой жизни будет определение направления «вниз» как направления силы тяжести. Поднимая руку и совершая при этом работу против силы тяжести, мы указываем рукой вверх. Практика позволяет нам всегда устанавливать, где верх, а где низ предметов. Это одна из тех поправок, которые опыт и мозговая деятельность вносят в расшифровку зрительных впечатлений. Изучая различные оптические системы, мы схематически изображаем ход лучей и делаем построение предмета и его изображения. При этом нередко говорят о том, что через оптическую систему мы рассматриваем мнимое изображение предмета. Вспомним привычное объяснение получения изображения от предмета, помещенного между главным фокусом и линзой. Мнимое изображение в этом случае получится там, где пересекутся продолжения расходящихся лучей, попадающих в глаз (рис. 2). мнимое изображение объекта b B a .F A объект Рис.2. Рассмотрим подробнее ход лучей от предмета. Расходящиеся после прохождения линзы световые лучи фокусируются оптической системой глаза на сетчатке (рис. 3). А F В Рис.3. В результате мы получаем зрительное впечатление. При изменении положения предмета оптическая система глаза все равно будет фокусировать лучи на сетчатке. Только для этого хрусталику потребуется изменить свою кривизну (это делают мышцы, окружающие хрусталик). Такое приспособление глаза к разным расстояниям до рассматриваемых предметов называется аккомодацией. Но как быть с изображением в плоском зеркале? В любом учебнике физики приводится чертеж образования мнимого изображения за плоским зеркалом. Чертеж правилен. Но вы сейчас смотрите только на чертеж, а не в зеркало. На чертеже получилось мнимое изображение. Значит, его нельзя получить на экране, на фотографической пластинке, на сетчатке глаза. Рассмотрим следующий опыт. Поставим против окна зеркало, между зеркалом и окном — двояковыпуклую линзу. Передвигая лист белой бумаги, вы очень скоро сумеете получить перевернутое изображение окна; если хотите получить свой автопортрет, вы можете сфотографироваться в зеркале. А так как глаз подобен фотокамере, то, следовательно, и на сетчатке глаза получается действительное, а не мнимое изображение предметов, отражающихся в зеркале. Ход лучей, поясняющий сказанное, вы увидите на рисунке 4. Необходимо сделать еще несколько замечаний, касающихся геометрической оптики. Допустим, вы рассматриваете в лупу мелкую печать. Вы приближаете глаз и лупу к бумаге до тех пор, пока не получите наиболее ясное изображение. В этот момент хрусталик аккомодирован на «расстояние наилучшего зрения». Это расстояние обычно принимают равным 25 см, хотя у разных лиц и в разном возрасте способность к аккомодации различна. Хотите знать, во сколько раз увеличивает лупа? Если хрусталик аккомодирован на расстояние наилучшего зрения, то ответ дает формула: где Г - увеличение лупы, F - фокусное расстояние, измеряемое в сантиметрах. При ненапряженном глазе увеличение, даваемое лупой, равно Но как определить F? В солнечный день это можно сделать, собрав лучи солнца в фокус и измерив расстояние от лупы до него. Если солнца нет, то надо навести линзу на далекий предмет (ландшафт за окном) и получить резкое его изображение на бумаге. Расстояние от линзы до изображения можно считать практически равным фокусному расстоянию. Действительно, в формуле линзы для далеких предметов (d=∞) дробь исчезающе мала, и тогда или f=F (расстояние до изображения равно фокусному расстоянию линзы). Описанный прием нахождения фокусного расстояния двояковыпуклой линзы позволит решить еще одну интересную и полезную задачу. Пусть вы задумали построить себе самодельный телескоп из очковых стекол. Но тогда понадобится прежде всего знать номер очков (для дальнозорких). Номер очков показывает их оптическую силу, или величину, обратную фокусному расстоянию: Оптическая сила выражается в диоптриях. 1 дптр — это оптическая сила линзы, у которой F==1 м. Поэтому, измерив F выше описанным путем, вы определите и номер очков. Например, если F=50 см==0,5 м, то D =2 дптр, или номер очков +2. Для изготовления телескопа вам понадобится для объектива стекло +2 или +1, т. е. линза с фокусным расстоянием 50 или 100 см. Можно вместо очкового стекла приобрести в магазине фототоваров соответствующую насадочную линзу для фотоаппарата. Для окуляра надо взять какую-нибудь сильную линзу с фокусным расстоянием равную примерно 2 см. Тогда телескоп будет увеличивать в Объектив и окуляр укрепите в раздвижной картонной трубке (рис. 5), внутреннюю поверхность которой надо вычернить тушью. Исключительно важно сделать для телескопа держатель (можно использовать штатив для фотоаппарата). Для суждения о размерах предмета и для лучшего различения его подробностей важен «угол зрения»—угол между лучами, проведенными от крайних точек предмета к центру хрусталика. Чтобы сделать видимыми неразличимые ранее детали, надо подойти ближе к предмету. Тогда угол зрения и изображение на сетчатке увеличатся. Насколько близко можно подойти к предмету? Для нормального глаза это определяется расстоянием наилучшего зрения — 25 см. При меньших расстояниях глаз с трудом аккомодирует, а без аккомодации он видит лишь размытое изображение. Но выпуклость глаза можно усилить, поставив перед ним двояковыпуклою линзу. Это позволит приблизить глаз к предмету и получить резкое изображение без аккомодирующего усилия. В этом и состоит назначение лупы — она позволяет увеличить угол зрения. Заключение. Рассмотренные аналогии позволяют более глубоко проникнуть в процесс обучения физики средней школы, что в свою очередь дает учащимся лучше понимать физические законы и процессы. В данной работе рассмотрена лишь небольшая часть аналогий, которые можно использовать на уроках физики и на факультативных занятиях в средней школе. Я считаю, что аналогии лучше всего рассматривать не только на уроках физики, но и придавать им так же большое значение на факультативных занятиях, кружках, спецкурсах для учащихся, которым трудно поддается изучаемый материал и для учащихся, которые хотят более глубоко понять физические процессы, явления и понятия. Таким образом метод аналогии рассматривает новые вопросы, сопоставляемые с изученными ранее. Список литературы. 1. Аванесов Ю. Г. Использование аналогий при изучении постулатов Бора . //Физика в школе// №2, 1983 г. 2. Блудов М. И. Беседы по физике. М. “ Просвещение “, 1985 г. 3. Ванюшенков И. С., Каненецкий С. Использование аналогии при изучении транзисторов. //Физика в школе// №3, 1991 г. 4. Дроздов В. Г. Аналогии при изучении колебательных систем в 10 классе . //Физика в школе// №3, 1991 г. 5. Каненецкий С. Е., Солодухин Н. Н. Модели и аналогии в курсе физики средней школы . М. “ Просвещение “, 1982 г. 6. Мукусиев Б. А. Использование аналогии при решении физических задач. //Физика в школе// №6, 1991 г. 7. Мякишев Г. Я., Буховцев Б. Б. Физика 11: учебник для 11 класса средней школы. М. “ Просвещение “, 1991 г. 8. Мякишев Г. Я., Буховцев Б. Б. Физика 10: учебник для 10 класса средней школы. М. “ Просвещение “, 1990 г. 9. Родина Н. А. Световые явления . М. “ Просвещение “, 1986 г. 10. Физика 11: учебное пособие для 11 класса школ и классов с углубленным изучение физики, под редакцией Пинского А. А. М. “ Просвещение “, 1995 г. 

, а s=la. По закону сохранения энергии имеем:
, где ![]()

=const (8)
;
получаем:
(9)![]()
; ![]()
;![]()
![]()
![]()
![]()
![]()
![]()
![]()
![]()
![]()
![]()
; Wм=0
; Wk=0![]()
![]()
![]()
![]()
![]()
![]()
![]()
![]()
![]()
; Wм=0
; Wk=0
(1)
или
, так как вместо
получилось бы равенство ![]()
был множитель
запишем уравнение (1) в виде:
(2)
![]()
![]()
![]()
есть также решение исходного уравнения.
, зависящую от свойств системы, через ![]()
: ![]()
(3)
(4)
. Так как ![]()
, тогда период колебаний равен
- формула Томсона.
(5)
(6)![]()
![]()
есть также решение исходного уравнения. Обозначим постоянную величину
через ω0 получим
(7)
(8)![]()
;
получим
(9)
(10)
(11)![]()
![]()
,зависящую от свойств системы, через ω0 получим:
(12)
(13)
;
; ![]()
(14)

и ![]()
![]()

и одной недеформированной пружины жесткостью
(рис.2,а).
![]()
рис.2.
и
, и пружину жесткостью k.![]()
![]()




.
равен q, второй конденсатор не заряжен. Воспользуйтесь электромеханической аналогией.
![]()
и ![]()
.



U: ß
R :m
L:K
1/C.
=
=10с-1, ß=1 Н•м/с, w=0,1кг, K=2 Н/м окончательно получаем vm
1,28 м/с.
и нулевым внутренним сопротивлением соединен последовательно с катушкой индуктивности L и конденсатором С (рис. 10). В начальный момент времени конденсатор не заряжен. Найти зависимость от времени напряжения на конденсаторе после замыкания ключа.


![]()
С, q (t)=C
(1 — cos ωot) ,
, U(f)=
(1 — cos ωot).
.


Iэ). Это равенство лежит в основе усиливающего действия транзистора.
IэRн окажется много больше падения напряжения на эмиттерном переходе.





![]()
![]()
![]()
. Для них![]()
![]()
![]()
![]()
(2)
(3)
(4) где n =1, 2, 3…..![]()

![]()
![]()



