Обучение общим методам решения задач

Пермский государственный педагогический университет.

Министерство образования Российской федерации.

Кафедра методики

преподавания математики

Обучение общим методам решения задач

в школьном курсе математики.

Выполнил студент 144-й группы

математического факультета:

Рябов П.В.

Руководитель: старший преподаватель кафедры

методики преподавания математики Краснощёкова В.П.

Пермь 2001.

Содержание.

  • Введение……………………………………………………………….. 3
  • Составные части задачи и этапы её решения в школе……………… 5
  • 2.1 Методы решения задач в школьном курсе

    а) Аналитико-синтетический метод………………………………… 10

    б) Метод сведения к ранее решенным……………………………… 13

    в) Метод моделирования……………………………………………. 16

    2.2 Заключение…………………………………………………………… 19

    3.1 Список литературы………………………………………………….. 20

    1.1 Введение.

    Основная задача современного учителя математики не создание у учащихся механического применения полученных навыков, а умения их применения в нестандартных ситуациях. Поэтому в данной работе попытаемся проследить процесс обучения методам решения задач в школьном курсе математики, рассмотреть структуру обучения их решению в школьных учебниках, а также выделить преимущества и недостатки при обучении решению задач конкретным методом. Также необходимо выделить основные составные части задачи в школьном курсе, и на что, при обучении их решению, следует обратить внимание. Вообще чтобы научиться решать задачи надо их решать, причем решать различные задачи и по-разному (то есть разными способами), анализировать решения, сравнивать, находить преимущества и недостатки в каждом конкретном случае.

    В том или ином виде в школе встречаются следующие методы решения задач:

    • анализ и синтез
    • метод сведения к ранее решённым
    • метод мат.моделировавния
    • метод математической индукции
    • метод исчерпывающих проб

    Но в данном случае я рассмотрю лишь первые три. Как мне кажется, они наиболее ярко выражены в школьном курсе. Анализ и синтез в принципе присутствуют в любой задаче в явном или неявном виде. Другие два метода очень активно используются как в математике, так и позже в алгебре и геометрии.

    Целью же данной работы будет рассмотрение возможности обучения общим методам решения задач, в школе, а также сравнение методов для определения трудностей и преимуществ, связанных с их применением при обучении математике.

    При обучении математике задачи имеют большое и многостороннее значение. Образовательное значение математических задач. Решая математическую задачу, человек познает много нового: знакомится с новой ситуацией, описанной в задаче, с применением математической теории к ее решению, познает новый метод решения или новые теоретические разделы математики, необходимые для решения задачи, и т. д. Иными словами, при решении математических задач человек приобретает математические знания, повышает свое математическое образование. При овладении методом решения некоторого класса задач у человека формируется умение решать такие задачи, а при достаточной тренировке - и навык, что тоже повышает уровень математического образования.

    1.2 Составные части задачи и этапы её решения в школьном курсе.

    При обучении решению задач необходимо научить учащихся разбираться в условии задач, в том, как они устроены, из каких составных частей они состоят, как и с чего начинается их решение.

    Если прочитать условие любой задачи то можно выделить некий вопрос, другими словами требование, на который необходимо получить ответ, опираясь на условие. Если же внимательно изучить формулировку задачи то можно увидеть в ней определенные утверждения (то, что дано), они ещё называются условиями, и определенные требования (то, что нужно найти).

    Далее рассмотрим составные части задачи и рекомендации к учащимся при их решении.

    1) Вопросы и советы для усвоения содержания задачи (1-й этап-анализ условия). Нельзя приступать к решению задачи, не уяснив четко, в чем заключается задание, т. е. не установив, каковы данные и искомые или посылки и заключения. Первый совет учителя: не спешить начинать решать задачу. Этот совет не означает, что задачу надо решать как можно медленней. Он означает, что решению задачи должна предшествовать подготовка, заключающаяся в следующем:

    а) сначала следует ознакомиться с задачей, внимательно прочитав ее содержание. При этом схватывается общая ситуация, описанная в задаче;

    б) ознакомившись с задачей, необходимо вникнуть в ее содержание. При этом нужно следовать такому совету: выделить в задаче данные и искомые, а в задаче на доказательство -посылки и заключения.

    в) Если задача геометрическая или связана с геометрическими фигурами, полезно сделать чертеж к задаче и обозначить на чертеже данные и искомые (это тоже совет, которому должен следовать ученик).

    г) В том случае, когда данные (или искомые) в задаче не обозначены, надо ввести подходящие обозначения. При решении текстовых задач алгебры и начал анализа вводят обозначения искомых или других переменных, принятых за искомые.

    д) Уже на первой стадии решения задачи, стадии анализа задания, рекомендуют ответить на вопрос: "Возможно ли решить задачу при таком условии?" Не всегда сразу удается ответить на этот вопрос, но иногда это можно сделать.

    Отвечая на этот вопрос, полезно выяснить, однозначно ли сформулирована задача, не содержит ли она избыточных или противоречивых данных. При этом выясняют, достаточно ли данных для решения задачи.

    2) Составление плана решения задачи (2-й этап – поиск пути решения). Составление плана решения задачи, пожалуй, является главным шагом на пути ее решения. Правильно составленный план решения задачи почти гарантирует правильное ее решение. Но составление плана может оказаться сложным и длительным процессом. Поэтому крайне необходимо предлагать ученику ненавязчивые вопросы, советы, помогающие ему лучше и быстрее составить план решения задачи, фактически определить метод её решения:

    а) Известна ли решающему какая-либо подобная задача? Аналогичная задача? Если такая задача известна, то составление плана решения задачи не будет затруднительным. Другими словами можно ли применить метод сведения к ранее решенным. Но такая задача известна далеко не всегда . В этом случае может помочь в составлении плана решения совет.

    б) Подумайте, известна ли вам задача, к которой можно свести решаемую. Если такая задача известна решающему, то путь составления плана решения данной задачи очевиден: свести решаемую задачу к решенной ранее. Может оказаться, что родственная задача неизвестна решающему и он не может свести данную задачу к какой-либо известной. План же сразу составить не удается.

    В литературе советуют воспользоваться советом: "Попытайтесь сформулировать задачу иначе". Иными словами, попытайтесь перефразировать задачу, не меняя ее математического содержания.

    При переформулировании задачи пользуются либо определениями данных в ней математических понятий (заменяют термины их определениями), либо их признаками (точнее сказать, достаточными условиями). Надо отметить, что способность учащегося переформулировать текст задачи является показателем понимания математического содержания задачи.

    Некоторые авторы относят к переформулировке задачи и перевод ее на язык математики, т. е. язык алгебры, геометрии или анализа. Это, скорее, формализация задачи, "математизация" ее. К такому приему и приходится часто прибегать при решении многих текстовых задач.

    г) Составляя план решения задачи, всегда следует задавать себе (или решающему задачу ученику) вопрос: "Все ли данные задачи использованы?" Выявление неучтенных данных задачи облегчает составление плана ее решения.

    д) При составлении плана задачи иногда бывает полезно следовать совету: "Попытайтесь преобразовать искомые или данные". Часто преобразование искомых или данных способствует более быстрому составлению плана решения. При этом искомые преобразуют так, чтобы они приблизились к данным, а данные - так, чтобы они приблизились к искомым. Так, при каждом случае тождественных преобразований данные преобразуются, постепенно приближаясь к результату (искомому). Аналогично уравнение, систему уравнений, неравенство или систему неравенств преобразуют в равносильные, чтобы найти их корни или множество решений.

    е) Нередко случается так, что, следуя указанным выше советам, решающий задачу все же не может составить план ее решения. Тогда может помочь еще один совет: "Попробуйте решить лишь часть задачи", т. е. попробуйте сначала удовлетворить лишь части условий, с тем чтобы далее искать способ удовлетворить оставшимся условиям задачи. Другими словами: может ли задача с помощью анализа быть разбита на части, а затем решения этих задач синтетическим путем объединяются в единое целое.

    ж) Рекомендуют также в составлении плана решения задачи ответить на вопрос: "Для какого частного случая возможно достаточно быстро решить эту задачу?" Обнаружив такой частный случай, решающий ставит перед собой новую цель - воспользоваться решением задачи в найденном частном случае для более общего (но, может быть, не самого общего) случая.

    3) Реализация плана решения задачи (3-й этап – непосредственно решение). План указывает лишь общий контур решения задачи. При реализации плана решающий задачу рассматривает все детали, которые вписываются в этот контур. Эти детали надо рассматривать тщательно и терпеливо. Но при этом ученику (решающему задачу) полезно следовать некоторым советам:

    а) Проверяйте каждый свой шаг, убеждайтесь, что он совершен правильно. Иными словами, нужно доказывать правильность каждого шага ссылками на соответствующие, известные ранее математические факты, предложения.

    б) При реализации плана поможет и совет: "Замените термины и символы их определениями". Так, термин "параллелограмм" заменяется его определением: "Четырехугольник, у которого противоположные стороны попарно параллельны", термин "предел числовой последовательности" для доказательства, например, того предложения, что предел суммы двух последовательностей, имеющих пределы, равен сумме пределов этих последовательностей, можно заменить, и вполне успешно, его определением.

    4) Анализ и проверка правильности решения задачи (4-й этап – проверка и исследование задачи). Даже очень хорошие ученики, получив ответ и тщательно изложив ход решения, считают задачу решенной. А ведь получение результата не означает еще, что задача решена правильно. Тем более не означает, что для решения выбран лучший, наиболее удачный, изящный, если можно так выразиться, вариант. По В. М. Брадису, задачу можно считать решенной, если найденное решение: 1) безошибочно, 2) обоснованно, 3) имеет исчерпывающий характер. Поэтому анализ решения задачи, проверка решения и достоверности результата должны быть этапом решения задачи. Итак, два совета: "Проверьте результат", "Проверьте ход решения". Проверка результата может производиться различными способами. Проверяя правильность хода решения, мы тем самым убеждаемся и в правильности результата.

    Второй способ проверки результата заключается в получении того же результата применением другого метода решения задачи, поэтому полезно всегда задавать решающему вопрос: "Нельзя ли тот же результат получить иначе?" Иными словами, стоит последовать совету: "Решите задачу другим способом". Если при решении задачи другим способом получен тот же результат, что и в первом случае, задачу можно считать решенной правильно. Далее можно рассмотреть какой из использованных методов удобнее в данном случае. К тому же получение различных вариантов решения одной и той же задачи имеет важное обучающее значение.

    2.1(а) Аналитико – синтетический метод.

    Анализ – логический приём, метод исследования, состоящий в том, что изучаемый объект мысленно (или практически) разбивается на составные элементы (признаки, свойства, отношения), каждый из которых исследуется в отдельности как часть расчлененного целого.

    Синтез – логический прием, с помощью которого отдельные элементы соединяются в единое целое (другими словами обратный анализу).

    Не следует отделять эти методы друг от друга, так как они составляют единый аналитико-синтетический метод. Так при решении сложной задачи она с помощью синтеза разбивается на ряд более простых задач, а затем при помощи синтеза происходит соединение решений этих задач в единое целое.

    Каждый из методов имеет свои недостатки так при решении синтетическим методом не всегда очевидно понятно с чего начинать решение или доказательство. С другой стороны при аналитическом методе иногда можно, к примеру, получить несколько решений и придется делать проверку.

    Обучение данным методам важно ещё и потому что они выступают и как особые формы мышления.

    При обучении анализу или синтезу следует тщательно подбирать задания, поскольку в каждом из них необходимо обоснование конкретного метода. Так при решении неравенств, как правило, используется аналитический метод, в этом случае использование синтеза затруднено.

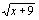
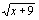
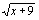
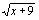
    Пример: (использование анализа при решении иррациональных уравнений)

    -=

    1) рассмотрим левую часть: < т.к. x-3

    2) следовательно -<0

    3) но >0

    4) приходим к противоречию, а значит -

    5) уравнение решения не имеет.

    Применение данного метода можно увидеть при решении следующих задач:

    1) Анализ и синтез при решении задач на доказательство.

    2) Анализ и синтез при решении текстовых задач. Текстовыми задачами здесь названы математические задачи, в которых входная информация содержит не только математические данные, но еще и некоторый сюжет (фабулу задачи).

    При решении текстовых задач с помощью аппарата арифметики роль анализа сводится к составлению плана решения, задача же чаще всего решается синтетическим методом.

    Пример: Два самолета с реактивными двигателями одновременно вылетели с двух аэродромов навстречу друг другу. Расстояние между аэродромами 1870км. Через сколько часов они встретятся, если один из них в 2/5 часа пролетает 360км, а скорость второго составляет 8/9 скорости первого.

    Главная трудность при решении данной задачи это составление плана её решения разбиение условия на отдельные этапы. Для этого нужен глубокий анализ условия. Само решение отдельных задач трудности уже не вызывает но бывает трудно свести решения этих задач к ответу на основной вопрос задачи.

    Решение:

    1.Какова скорость первого самолета?

    360:2/5 = 900км/ч

    2.Какова скорость второго самолета?

    900•8/9 = 800км/ч

    3.На сколько самолеты сближаются в течение часа?

    900+800 = 1700км

    4.Через сколько часов после вылета самолеты встретятся?

    1870:1700 = 1.1 часа

    3) Анализ и синтез при решении задач на построение в геометрии. Анализ и синтез применяются и при решении задач на построение в геометрии, иначе, конструктивных задач геометрии. Как известно, решение этих задач выполняется по следующему плану: анализ, построение, доказательство, исследование. Название первой части - анализ говорит само за себя: это действительно метод анализа, ведущий от искомых ("предположим, что искомая фигура построена") к данным, точнее, к их использованию в построении. При анализе намечается план построения, которое выполняется синтетическим путем. При доказательстве возможно использование, как анализа, так и синтеза, но чаще применяется последний метод. Исследование предполагает преимущественное применение метода анализа.

    2.2(б) Метод сведения к ранее решенным.

    Суть обучения данному методу заключается в обучении школьников увидеть в данной задаче ранее решенную и сведению решаемой задачи с помощью последовательных преобразований к ней.

    Если, например, нужно решить уравнение то обычно составляют такую конечную последовательность уравнений, эквивалентных данному, последним звеном которого является уравнение с очевидным решением.

    Аналогично поступают и при решении различного вида уравнений, неравенств и систем уравнений. Особую роль этот метод играет при нахождении производной.

    Пример:(из уч. Колмогорова )

    Найдите производную f(x) = cos2x•sinx + sin2x•cosx

    cos2x•sinx + sin2x•cosx = sin(2x+x) по формуле сложения

    f(x) = sin(2x+x) => f(x) = sin3x

    Из полученного равенства найти производную не составляет особого труда.

    Изучению данного метода в школьном курсе способствует тема «Разложение на множители» (7 класс).

    А ещё раньше использование этого метода можно увидеть при решении текстовых задач, когда исходная задача сводится к нескольким простым задачам. Здесь можно увидеть тесную связь метода сведения с аналитико – синтетическим методом.

    В школьном курсе данный метод используется очень широко в тригонометрии (при решении уравнений и неравенств). Так в самом начале изучения данной темы учащимся предлагают заучить основные тригонометрические тождества, затем формулы сложения, приведения, суммы и разности. А в дальнейшем сначала вырабатываются умения и навыки решения простейших тригонометрических уравнений.

    Пример: (из уч.Колмогорова). Найдите значение других трех основных тригонометрических функций, если sinα= - 0.8, Π<α<3Π/2

    После этого переходят к более сложным выражениям, но теперь уже формируются навыки по приведению их к простейшим.

    Конечно, указанное сведение нужно понимать и как выведение, как конечную последовательность, ведущую от искомых к данным. Этот метод наиболее часто применяется в тех случаях, в которых заданное отношение обладает свойством транзитивности. Таковы отношения эквивалентности (равенства, уравнения, тождества, логическая равносильность, параллельность) и порядка (строгие и нестрогие неравенства, включение множеств, логическое следование). Прием "сведения" лежит в основе решения геометрических задач на построение. В каждой задаче этого вида содержится требование: исходя из данных фигур (или данных их элементов), с помощью указанных конструктивных элементов построить фигуру, удовлетворяющую определенным условиям. Это означает, что требуемое построение должно быть сведено к так называемым элементарным построениям, выполняемым реальными инструментами.

    Метод сведения находит постоянные применения при решении текстовых задач арифметическими способами. Суть дела здесь состоит в том, что данная задача сводится к простым задачам.

    Решение задач на доказательство теорем в своей основе имеет также сведение: доказываемое утверждение сводится к ранее доказанным теоремам и ранее введенным аксиомам и определениям данной научной области. Доказать - это, значит, свести новую теорему (задачу) в конечном счете, к аксиомам.

    Если же навыки решения простейших уравнений (задач) ещё не сформированы или сформированы недостаточно, то дальнейшее решение более сложных уравнений будет затруднено или малоэффективно.

    Вообще решение большинства задач начинается с того, что выясняют можно ли данную задачу свести к более простой рассмотренной ранее.

    Однако не стоит увлекаться данным методом, поскольку есть опасность того, что учащиеся и в дальнейшем будут мыслить своего рода «по шаблону».

    Вообще, рассмотрение практически любой задачи рекомендуют начинать с того, что следует посмотреть, нет ли в ней скрытого в условии более простого для решения случая.

    2.1(в) Метод моделирования.

    Третий метод решения задач имеет своей основой моделирование (математическое и предметное). Для моделирования привлекаются различные математические объекты: числовые формулы, числовые таблицы, буквенные формулы, функции, уравнения алгебраические или дифференциальные и их системы, неравенства, системы неравенств (а также неравенств и уравнений), ряды, геометрические фигуры, разнообразные графосхемы, диаграммы Венна, графы и т. д.

    Математическое моделирование находит применение при решении многих текстовых (сюжетных) задач. Уже уравнение, составленное по условию текстовой задачи, является ее алгебраической (аналитической) моделью. Чертеж фигуры, заданной в геометрической задаче, с обозначенными на ней данными и искомыми тоже является геометрической моделью задачи. Но нередко решению задачи помогает и предметная ее модель (например, объемная геометрическая фигура, модель с использованием или изображением предметов и объектов, заданных в задаче, и др.).

    Большое практическое значение имеют методы нахождения приближенных значений искомых величин.

    Все графические приемы решения задач на вычисление дают приближенные решения. Но приближенные решения могут получаться и с помощью численных методов (например, при решении квадратных уравнений по формулам их корней).

    В геометрии используются приближенные методы построения. Примерами их служат спрямление окружности, построение квадрата, равновеликого данному кругу, деление угла на равные части и т. д.

    Пример: Объем конуса в два раза больше объема вписанного в него шара. Найти угол между образующей и плоскостью основания конуса.

    Решение: Построим схематическую запись задачи - модель конуса. Для этого проведем сечение конуса с вписанным в него шаром плоскостью, проходящей через ось конуса (осевое сечение). В сечении получим равнобедренный треугольник с вписанной в него окружностью. Так как боковая сторона этого треугольника есть образующая конуса, а высота треугольника есть ось конуса, перпендикулярная к плоскости основания конуса, то угол между боковой стороной и основанием треугольника есть искомый угол между образующей и плоскостью основания.

    Дано:

    АВМ - осевое сечение конуса

    АМ = ВМ, МК⊥АВ.

    W(О,ОК) – осевое сечение шара

    = 2

    Найти: угол МАК - ?

    Полученная наглядная модель облегчает поиск плана решения задачи. Далее по известным формулам найдем объем конуса и шара.

    VK=1/3•АК2•МК ; Vш=4/3π•ОК3

    По условию имеем VK : Vш=1/3•АК2•МК : 4/3π•ОК3. Отсюда можно перейти к следующему равенству: АК2•МК : 4π•ОК3 = 2 (1)

    Выразим все отрезки входящие в равенство (1) через угол МАК = х и отрезок АК=у.

    Из ∆АМК находим МК = АК•tg(МАК) = y•tg(x) (2)

    Из ∆АОК находим ОК = АК•tg(AOK)

    Очевидно, ОА есть биссектриса угла МАК, поэтому

    ОК = y•tg(x/2) (3)

    Подставим найденные выражения из (2),(3) в (1).

    У2•У•tg(x) : 4•(y•tg(x))3 = 2 получаем tg(x) = 8•tg3(x/2)

    Это тригонометрическое уравнение есть модель исходной задачи при условии, что 0O < Х < 90О. Решив уравнение при этом условии, получим ответ задачи.

    2.2 Заключение.

    В этой работе были рассмотрены несколько методов решения задач и особенности каждого из них в преподавании школьного курса математики. Был произведен анализ некоторой методической и школьной литературы с точки зрения изучения общих методов решения задач в школе на уроках математики. В результате можно заключить, что в школьном курсе нет четкого разделения методов, в том смысле, что авторы школьных учебников не дают напрямую схему какого либо метода. Большинство учебников построено, так что при решении определенного рода заданий используется по сути один метод, наиболее удобный. Недостаток такого подхода состоит в том что учащийся столкнувшись с задачей подобного рода, решает её этим методом, а если ответ получить не удается, попадает в своего рода тупик.

    Поэтому, решая задачи определённого типа, пусть даже наиболее удобным методом не стоит забывать о других способах её решения.

    Следует также отметить что, решая любую задачу необходимо четко представлять план её решения.

    3.1 Список литературы.

    1. Фридман Л.М. Турецкий Е.Н. Как научиться решать задачи. М. Просвещение. 1984.
    1. Колягин Ю.М. Оганесян В.А. Учись решать задачи. М. Просвещение. 1980.
    1. Материалы интернет сайта http://fmi.asf.ru/library/MPM по методике преподавания математики. Анжеро-Суджинского филиала Кемеровского Государственного Университета.
    1. Р.С.Черкасов, А.А.Столяр Методика преподавания математики.
    2. Репьев В.В. Методика преподавания математики. М. Просвещение. 1958.
    

    Подобные работы:

    Актуально: