Комплексные числа в планиметрии
Московский Государственный педагогический Университет
им. В.И.Ленина
Комплексные числа в планиметрии
(Курсовая работа)
Подготовила: студентка III курса
Маематического факультета
Ильичёва Мария В.
Научный руководитель: доцент
Иванов Иван И.
Москва, 2000
Содержание
Введение……………………………………………………………………….3
- Геометрическая интерпретация комплексных чисел. Длина отрезка…….4
- Параллельность и перпендикулярность. Коллинеарность трех точек……8
- Углы и площади. Критерий принадлежности четырех точек одной окружности…………………………………………………………………..14
- Подобные и равные треугольники. Правильный треугольник…………...18
- Прямая и окружность на плоскости комплексных чисел…………………22
- Две прямые. Расстояние от точки до прямой………………………………24
Заключение…………………………………………………………………...30
Список использованной литературы……………………………..………....31
Введение
Большое значение комплексных чисел в математике и ее приложениях широко известно. Особенно часто применяются функции комплексного переменного. Их изучение имеет самостоятельный интерес. Вместе с тем алгебру комплексных чисел можно успешно использовать в элементарной геометрии, тригонометрии, теории геометрических преобразований, а также в электротехнике и различных задачах с механическим и физическим содержанием.
Метод комплексных чисел позволяет решать планиметрические задачи по готовым формулам прямым вычислением, элементарными выкладками. Выбор этих формул с очевидностью диктуется условиями задачи и ее требованием. В этом состоит необычайная простота этого метода по сравнению с координатным, векторным и другими методами, требующими от решающего порой немалой сообразительности, длительных поисков, хотя готовое решение может быть очень коротким.
В данной работе излагаются основы метода комплексных чисел в применении к задачам элементарной геометрии на плоскости и доказательству некоторых основных планиметрических теорем.
Конечно, одна работа не может вместить все существующие теоремы и задачи. Здесь будут рассмотрены лишь некоторые темы, по каждой из которых будет решен ряд задач, наиболее наглядно показывающих простоту этого метода.
Геометрическая интерпретация комплексных чисел. Длина отрезкаПри заданной прямоугольной декартовой системе координат на плоскости комплексному числу z = x+iy (i2= -1) можно взаимно однозначно поставить в соответствие точку М плоскости с координатами х, у (рис.1):
.

Число z тогда называют комплексной координатой точки М.
Поскольку множество точек евклидовой плоскости находится во взаимно однозначном соответствии с множеством комплексных чисел, то эту плоскость называют также плоскостью комплексных чисел. Начало О декартовой системы координат называют при этом начальной или нулевой точкой плоскости комплексных чисел.
При у=0 число z действительное. Действительные числа изображаются точками оси х, поэтому она называется действительной осью. При х=0 число z чисто мнимое: z=iy. Мнимые числа изображаются точками оси у, поэтому она называется мнимой осью. Нуль - одновременно действительное и чисто мнимое число.
Paccтoяниe от начала О плоскости до точки М(z) называется модулем комплексного числа z и обозначается |z| или r:
|z| = r = |OM| =
.
Если
— ориентированный угол, образованный вектором
с осью х, то по определению функции синуса и косинуса
![]()
откуда
и поэтому
.
Такое представление комплексного числа z называется его тригонометрической формой. Исходное представление z=x+iy называют алгебраической формой этого числа. При тригонометрическом представлении угол
называют аргументом комплексного числа и обозначают еще через arg z:
.
Если дано комплексное число z=x+iy, то число
называется комплексно-сопряженным (или просто сопряженным) этому числу z. Тогда, очевидно, и число z сопряжено числу
. Точки М(z) и
симметричны относительно оси х (рис.2).
Из равенства
следует y=0 и обратно. Это значит, что число, равное своему сопряженному, является действительным и обратно.

Точки с комплексными координатами z и -z симметричны относительно начальной точки О. Точки с комплексными координатами z и
симметричны относительно оси у. Из равенства z=
вытекает x=0 и обратно. Поэтому условие z=
является критерием чисто мнимого числа.
Для любого числа z, очевидно, |z| = |
| = |-z| = |
|.
Сумма и произведение двух сопряженных комплексных чисел являются действительными числами:
.
Число, сопряженное с суммой, произведением или же частным комплексных чисел, есть соответственно сумма, произведение или же частное чисел, сопряженных данным комплексным числам:
![]()
Эти равенства можно легко проверить, пользуясь формулами для операций над комплексными числами.
Каждой точке М(z) плоскости - взаимно однозначно соответствует вектор
. Поэтому комплексные числа можно интерпретировать векторами, приложенными к точке O. Сложению и вычитанию комплексных чисел отвечает сложение и вычитание соответствующих им векторов. Именно если а и b - комплексные координаты точек A и В соответственно, то число с=а+b является координатой точки С, такой, что
(рис.3). Комплексному числу d=a-b соответствует такая точка D, что
.
Расстояние между точками А и В равно
:
|АВ| = |а-b|. (1)
Так как |z|2= z
, то
|AB|2=(a-b)(
). (2)
Уравнение z
= r2 определяет окружность с центром О радиуса r. Отношение
, в котором точка С делит данный отрезок АВ, выражается через комплексные координаты этих точек так:
![]()
откуда
(3)
Если положить
и
, то
(4)
Условия (4) необходимы и достаточны для того, чтобы точки А, В, С были коллинеарны.
При
точка С является серединой отрезка AB, и обратно.
Тогда:
c =
. (4a)
Пусть имеем параллелограмм ABCD. Его центр имеет комплексную координату
=
при условии, что точки А, В, С, D имеют соответственно комплексные координаты а, b, с, d. Если не исключать случай вырождения параллелограмма, когда все его вершины оказываются на одной прямой, то равенство
a+c = b+d (5)
является необходимым и достаточным условием того, чтобы четырехугольник ABCD был параллелограммом.
Задача 1. Точки М и N — середины диагоналей АС и BD четырехугольника ABCD. (Рис.1)
Доказать, что |AB|2+|BC|2+|CD|2+|DA|2 = |AC|2+|BD|2+4|MN|2.
Решение. Пусть точкам A, В, С, D, М, N соответствуют комплексные числа а, b, с, d, т, п.
Так как m =
и n =
, то
|AB|2+|BC|2+|CD|2+|DA|2
![]()
|AC|2+|BD|2+4|MN|2 ![]()
![]()
.
Равенство доказано.
Задача 2. Доказать, что если в плоскости параллелограмма ABCD существует такая точка М, что |MA|2+|MC|2=|MB|2+|MD|2, тo ABCD - прямоугольник. (Рис.2)
Решение. Если за начальную точку принять центр параллелограмма ABCD, то при принятых ранее обозначениях с= -a, d= -b, и поэтому данное в условии равенство будет эквивалентно равенству
, которое означает, что диагонали параллелограмма равны, т. е. он прямоугольник.
Задача 3. Доказать, что сумма квадратов диагоналей AC, BD четырехугольника ABCD равна удвоенной сумме квадратов отрезков MN, PQ, соединяющих середины противоположных сторон . (Рис.3)
C
B B C
N M MЬ
A D A D
Рис. 1 Рис. 2
Решение. Требуется доказать: ![]()
Запишем левую часть равенства в комплексной форме:
. Воспользовавшись (4a), находим комплексное равенство правой части и непосредственным подсчетом убеждаемся, что она равна левой.
B
P
C
M
N
A
Q D
Рис. 3
Задача 4. Доказать, что сумма квадратов медиан BM, AN, CP треугольника ABC равна
суммы квадратов его сторон. (Рис.4)
Решение. Требуется доказать:
Запишем левую часть, воспользовавшись формулами (2) и (4а), и убедимся в том, что она равна правой.
Задача 5. Доказать, что расстояние от вершины С треугольника АВС до точки D, симметричной центру описанной окружности относительно прямой АВ, вычисляется по формуле |CD|2=R2+|AC|2+|BC|2-|AB|2, где R -радиус описанной окружности. (Рис.5)
Решение. Точка M является серединой АВ, так как центр описанной окружности лежит на пересечении серединных перпендикуляров.
Точка М - середина ОD (по условию).
Тогда,
. Воспользуемся этим равенством, формулами (2) и (4а) и убедимся в справедливости |CD|2=R2+|AC|2+|BC|2-|AB|2.
B B
N
P
A
C
A M C
Рис. 4 Рис. 5
Параллельность и перпендикулярность. Коллинеарность трех точек ОПР: Пусть на плоскости комплексных чисел даны точки А(а) и B(b). Векторы
и
сонаправлены тогда и только тогда, когда arg a = arg b, т. е. при arg а - arg b=arg
=0 (при вычитании комплексных чисел, из аргумента делимого вычитается аргумент делителя!).
Очевидно также, что эти векторы направлены противоположно в том и только в том случае, если arg a - arg b=arg
.
Комплексные числа с аргументами 0,
,
являются действительными. ТЕОРЕМА (Критерий коллинеарности точек О, А, В): Для того чтобы точки А(а) и В(b) были коллинеарны с начальной точкой О, необходимо и достаточно, чтобы частное
было действительным числом, т. е.
или
(6)
Действительно, так как в этом случае число
действительное (k=
), то критерий (6) эквивалентен такому:
. (7)
Возьмем теперь точки A(а), B(b), C(c), D(d).
ОПР: Векторы
и
коллинеарны тогда и только тогда, когда точки, определяемые комплексными числами а—b и с—d, коллинеарны с началом О.
Замечание:
1. На основании (6) имеем:
; (8)
2. Если точки А, В, С, D принадлежат единичной окружности
=l,то
, и поэтому условие (8) принимает вид:
; (9)
3. Коллинеарность точек A, В, С характеризуется коллинеарностью векторов
и
. Используя (8), получаем:
. (10)
Это критерий принадлежности точек A, B, С одной прямой. Его можно представить в симметричном виде
(11)
Если точки A и B принадлежат единичной окружности
=l, то
, и поэтому каждое из соотношений (10) и (11) преобразуется (после сокращения на (а-b) в такое:
(12)
Точки А и В фиксируем, а точку С будем считать переменной, переобозначив ее координату через z. Тогда каждое из полученных соотношений (10), (11), (12) будет уравнением прямой АВ:
, (10а)
. (12a)
В частности, прямая ОА имеет уравнение ![]()
Переходим к выводу критериев перпендикулярности отрезков. Ясно, что

Комплексные числа с аргументами
и
- являются чисто мнимыми.
Поэтому,

или
(13)
Отрезки АВ и CD перпендикулярны тогда и только тогда, когда векторы точек с комплексными координатами а—b и с—d перпендикулярны. В силу (13) имеем:
(14)
В частности, когда точки А, В, С, D принадлежат единичной окружности
=l, то зависимость (14) упрощается:
(15)
Выведем уравнение касательной к единичной окружности
=l в ее точке
P(р). Если М (z) — произвольная точка этой касательной, то
и обратно. На основании (14) имеем:
![]()
или
.
Поскольку
, то уравнение касательной становится таким:
. (16)
Это частный случай уравнения (12a) при а=b=р. Решим еще две вспомогательные задачи, необходимые для решения содержательных геометрических задач.
Задача 1. Найти координату точки пересечения секущих АВ и CD единичной окружности
=l, если точки А, В, С, D лежат на этой окружности и имеют соответственно комплексные координаты а, b, с, d.
Пользуясь уравнением (12а), получаем систему
![]()
из которой почленным вычитанием находим:
(17)
В том частном случае, когда хорды АВ и CD перпендикулярны, в силу (15) ab=-cd, и поэтому результат (17) приводится к виду
![]()
откуда
(18)
В этом случае точка пересечения определяется только тремя точками A, В, С, так как
, и, значит,
(19)
3адача 2. Найти комплексную координату точки пересечения касательных в точках A(а) и B(b) единичной окружности
=l. Для искомой координаты z имеем систему

из которой находим:
![]()
Поскольку
то получаем окончательно:
или
(20)
Покажем теперь метод комплексных чисел в действии, применяя его к доказательству классических теорем элементарной геометрии.
Теорема Ньютона. В описанном около окружности четырехугольнике середины диагоналей коллинеарны, с центром окружности.

Доказательство. Примем центр окружности за начало, полагая ее радиус равным единице. Обозначим точки касания сторон данного четырехугольника AoBoCoDo через А, В, С, D (в круговом порядке) (рис.4). Пусть М и N — середины диагоналей АoСo и BoDo соответственно. Тогда согласно (20) точки Аo, Вo, Сo, Do будут иметь соответственно комплексные координаты:
![]()
где a, b, c, d – комплексные координаты точек A, B, C, D.
Поэтому
![]()
Вычисляем
Поскольку ![]()
то непосредственно видно, что
На основании (6) точки О, М, N коллинеарны.
Теорема Гаусса. Если прямая пересекает прямые, содержащие стороны ВС, СА, АВ треугольника АВС соответственно в точках А1, B1, C1, то середины отрезков АА1, ВВ1, СС1 коллинеарны (рис.5).
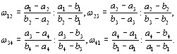
Доказательство. Используя (11), запишем условия коллинеарности троек точек АВ1С, СА1В, ВС1А, A1B1C1:
(21)
Если М, N, P — середины отрезков AA1, BB1, CC1, то предстоит показать, что
(22)
Так как
то доказываемое равенство (22) эквивалентно такому:
![]()
или после перемножения:
(23)
Теперь легко видеть то, что (23) получается почленным сложением равенств (21). Доказательство закончено.
Теорема Паскаля. Точки пересечения прямых, содержащих противоположные стороны вписанного шестиугольника, лежат на одной прямой.
Доказательство. Пусть в окружность вписан шестиугольник ABCDEF и
(рис.6). Примем центр окружности за нулевую точку плоскости, а ее радиус - за единицу длины. Тогда согласно (17) имеем:
![]()
Вычисляем
![]()
и аналогично
![]()
Далее находим:
![]()

Поскольку числа
равны соответственно
, то устная проверка обнаруживает, что найденное выражение совпадает со своим сопряженным, т. е. является действительным числом. Это означает коллинеарность точек М, N, Р.
Teopeмa Mонжа. Во вписанном в окружность четырехугольнике прямые, проходящие через середины сторон и. каждой диагонали перпендикулярно противоположным сторонам и соответственно другой диагонали, пересекаются в одной точке. Она называется точкой Монжа вписанного четырехугольника.
Доказательство. Серединные перпендикуляры к сторонам четырёхугольника ABCD пересекаются в центре описанной окружности, который примем за начальную точку. Для каждой точки М(z) серединного перпендикуляра к (AB) число
чисто мнимое.
В частности, при z=0 оно равно
. Для каждой точки N(z) прямой, проходящей через середину стороны CD перпендикулярно (AB), число
необходимо будет чисто мнимым и обратно. Но для z=
оно равно
т. е. чисто мнимое. Следовательно, точка Е с комплексной координатой
лежит на указанной прямой. А это выражение симметрично относительно букв а, b, с, d. Поэтому и остальные пять аналогично построенных прямых содержат точку Е.
Решим ещё несколько основных планиметрических задач.
3адача 3. Доказать, что диагонали четырехугольника ABCD, вписанного в окружность, перпендикулярны тогда и только тогда, когда сумма квадратов двух его противоположных сторон равна сумме квадратов двух других противоположных сторон.
Решение. Требуется доказать: ![]()
Запишем
используя (15):
. Тогда, воспользовавшись формулами (15), (2) и тем, что точки A, B,C, D принадлежат окружности
, приходим к выводу, что ![]()
3адача 4. Доказать, что если средние линии MP, NQ четырехугольника ABCD равны, то его диагонали AC и BD перпендикулярны и обратно.
Решение. Требуется доказать:
.
(a)
так как
, cогласно (4a). Подставим эти выражения в равенства (a) и получим:
но это и есть условие того, что
(см. 14).
Условимся обозначать символом ![]()
положительно ориентированный угол, на который надо повернуть вектор
, чтобы он стал сонаправлен

с вектором![]()
. Если ![]()
и
, то точкам Р и Q соответствуют комплексные числа b—а и d—c (рис.7) и
(24)
Эта формула в применении к положительно ориентированному треугольнику АВС дает:
![]()
(25)
Если z=r(![]()
,то
Отсюда
![]()
![]()
![]()
(26)
Тогда ![]()
так как ![]()
Итак,
(27)
Аналогично находим:
. (28)
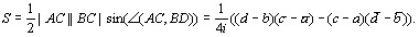
Выведем формулу для площади S положительно ориентированного треугольника АВС:
![]()
![]()
![]()
или
(29)
что можно записать в виде определителя третьего порядка:
(30)
Если треугольник АВС вписан в окружность
, то формула (29) преобразуется к виду
. (31)
Для площади S положительно ориентированного четырехугольника ABCD имеем:
(32)
Если четырехугольник ABCD вписан в окружность zz==l, то (32) принимает вид:
(33)
Три произвольно взятые точки всегда принадлежат либо одной окружности, либо одной прямой. Критерии принадлежности трех точек одной прямой рассмотрены выше.
Докажем КРИТЕРИЙ принадлежности четырех точек одной окружности или прямой.
Возьмем четыре произвольные точки A, В, С, D соответственно с комплексными координатами а, b,c,d. Комплексное число
(34)
называется двойным отношением точек A, В, С, D и обозначается (AB, CD). Порядок точек существен.
Теорема. Для того чтобы, четыре точки лежали на одной прямой или на одной окружности, необходимо и достаточно, чтобы их двойное отношение было действительным числом.
Доказательство. Если точки А, В, С, D коллинеарны, то отношения
и
действительные числа (см. условие (10)). Следовательно, в этом случае будет действительным и двойное отношение (34). Если точки А, В, С, D лежат на окружности, то рассмотрим два возможных случая:
- точки С и D находятся в одной полуплоскости от прямой АВ;
- точки С и D находятся в различных полуплоскостях от прямой АВ.
В первом случае ориентированные углы ВСА и BDA равны, во втором случае
ВСА+
АDВ= ±
, т. е.
ВСА-
ВСА= ±
. В обоих случаях разность
равна нулю или ±
. Но поскольку согласно (24) эта разность равна
![]()
то
— действительное число.
Обратно: если двойное отношение четырех точек действительно, то эти точки или коллинеарны, или принадлежат одной окружности. В самом деле, тогда если
действительное число, то и
действительное число. Поэтому точки А, В, С коллинеарны и точки А, В, D коллинеарны, и, значит, все четыре точки коллинеарны. Если же число
комплексное, то и число![]()
![]()
также комплексное, отличное от действительного. Поэтому точки A, B, С неколлинеарны и точки А, В, D также неколлинеарны. Так как по условию двойное отношение вещественно, то
![]()
Следовательно, либо
BCA=
BDA, либо
ВСА—
ВDА=±
, т.е.
ВСА+
ADB=±
. В первом случае отрезок АВ из точек С и D виден под равными углами, и, стало быть, они принадлежат одной дуге окружности, стягиваемой хордой АВ. Во втором случае сумма противоположных углов четырехугольника ACBD равна ±
, и поэтому он будет вписанным в окружность. Доказательство закончено.
Задача 1. В окружности проведены три параллельные хорды
Доказать, что для произвольной точки М окружности прямые
образуют равные углы соответственно с прямыми ВС, СА, АВ.
Решение. Принимая окружность за единичную, отнесем точкам А, В, С, A1, B1, C1 комплексные числа
Тогда по условию (9) параллельности хорд имеем
Следует доказать, что
(рис.8).
Первое равенство эквивалентно такому: ![]()
Или
![]()
т. е. эта дробь должна быть числом действительным. А это имеет место, поскольку сопряженное ей число
![]()
равно этой же дроби. Аналогично доказывается и второе равенство углов.
Задача 2. На плоскости даны четыре окружности
так, что окружности
и
пересекаются в точках
и
; окружности
и
пересекаются в точках
и
, окружности
и
— в точках
и
и окружности
и
— в точках
и
. Доказать, что если точки ![]()
лежат на одной окружности или прямой, то и точки
также лежат на одной

окружности или прямой (рис.9).
Решение. Согласно теореме этого параграфа и условию задачи будут действительрыми двойные отношения:
Поэтому будет действительным и число

Следовательно, из вещественности двойного отношения
вытекает вещественность и двойного отношения
.
ОПР: Треугольники АВС и
подобны и одинаково ориентированы (подобие первого рода), если только
и ![]()
(углы ориентированные).
Эти равенства с помощью комплексных чисел можно записать так:
![]()
Два равенства
и
эквивалентны одному
или
(35)
где
комплексное число,
коэффициент подобия.
Если, в частности,
- число действительное, то
и на основании признака (8) будет
. По такой же причине
и
. Следовательно, треугольники
и
гомотетичны.
Соотношение (35) — необходимый н достаточный признак того, что треугольники АВС и
являются подобными и одинаково ориентированными. Ему можно придать симметричный вид:
(36)
или
. (37)
ОПР. Треугольники АВС и
подобны и противоположно ориентированы (подобие второго рода), ![]()
и
. Последнее равенство дает:
![]()
Два равенства
и ![]()
эквивалентны одному
![]()
или
(38)
где
- комплексное число,
-коэффициент подобия.
Соотношение (38) есть необходимый и достаточный признак того, что треугольники АВС и
подобны и ориентированы противоположно. Его можно записать в симметричной форме:
(39)
или же так:
(40)
Если
, то треугольники АВС и
будут равны (конгруэнтны).
Тогда соотношения (35) и (38) становятся признаками равенства треугольников соответственно одинаковой и противоположной ориентации.
Рассмотренные признаки подобия треугольников позволяют обосновать простой способ построение произведения и частного двух комплексных чисел. Пусть даны точки
с комплексными координатами
и требуется построить точку М с координатой z=ab. Тогда, очевидно,
. Это равенство говорит о том, что треугольники ОЕА и ОВМ подобны и одинаково ориентированы. Отсюда и вытекает способ построения точки М, соответствующей произведению ab (рис.10).
Обратно: если даны точки М и А соответственно с координатами ab и a, то точка В, соответствующая частному этих чисел строится на основании тех, же подобных треугольников.
Следует обратить внимание на один важный частный случай. Если |а|=1, то точка М будет образом точки В при повороте около нулевой точки на угол
. Если потребовать, чтобы ориентированный треугольник АВС был подобен ориентированному треугольнику BCA, то треугольник АВС необходимо будет правильным. Поэтому из условия (36) получаем необходимое и достаточное условие того, чтобы треугольник АВС был правильным
(41)
или
(42)
Введем в употребление комплексное число
являющееся одним из корней уравнения
(Формула для нахождения корней -
) Другие два корня которого равны 1 и![]()
. По теореме Виета для кубического уравнения
имеем
Это легко проверить и непосредственно. Тогда равенство (41) будет эквивалентно такому:

![]()
или после умножения первого трехчлена на
:
. (43)
Итак, для того чтобы треугольник АВС был правильным, необходимо и достаточно выполнения хотя бы одного из равенств:
(44)
или же
(45)
Оказывается, первое из этих равенств соответствует только тому случаю, когда треугольник АВС ориентирован положительно, а второе выполняется лишь при отрицательной его ориентации. В самом деле, так как умножению на
отвечает поворот на
, то при положительной ориентации треугольника
(рис.11), откуда
и поэтому ![]()
Аналогично проверяется выполнение равенства (45) для отрицательно ориентированного правильного треугольника АВС. Очевидно, одновременно равенства (44) и (45) выполняться не могут.
Если правильный треугольник АВС вписан в окружность
, то при его положительной ориентации
и
, а при отрицательной ориентации
и
Поэтому каждое из условий (44) и (45) принимает вид:
(46)
Задача 1. Доказать, что треугольник
, стороны которого принадлежат касательным в вершинах треугольника АВС к его описанной окружности, гомотетичен треугольнику с вершинами в основаниях
высот треугольника АВС.
Решение. Принимаем описанную окружность за единичную
Руководствуясь формулами (20) и (19), получаем:

Проверяем выполнимость признака (35):
![]()
причем
, т. е.
-действительное число. Значит, треугольники
и
гомотетичны.
3адача 2. Два равных одинаково ориентированных треугольника АВС и
вписаны в одну окружность. Доказать, что треугольник с вершинами в точках пересечения прямых ВС и
, СА и
, AB и
подобен данным треугольникам.
Решение. Придадим окружности уравнение
. Вершины. треугольника
служат образами вершин треугольника АВС при повороте на некоторый угол
. Поэтому
Если
— точки пересечения прямых ВС и
СА и
АВ и
соответственно, то на основании (17)
откуда
Аналогично
![]()
Осталось проверить условие (17):
что делается непосредственной подстановкой.
3адача 3. Доказать, что середины отрезков, соединяющих соответственные вершины двух равных и противоположно ориентированных треугольников, коллинеарны.
Решение. Для доказательства данной задачи воспользуемся:
- Формулой (38),- необходимое и достаточное условие равенства двух противоположно ориентированных треугольников ABC и
; - Формулой (4а) для точек M, N, P:
(из условия задачи); - Формулой (11),- коллинеарности точек M, N, P:

Теперь простой проверкой убеждаемся в том, что из 1)
2)
3).
ПРЯМАЯ И ОКРУЖНОСТЬ НА ПЛОСКОСТИ КОМПЛЕКСНЫХ ЧИСЕЛ
Пусть произвольной точке М плоскости комплексных чисел соответствует комплексное число
. Из равенств
и
однозначно выражаются декартовы координаты х и у точки М через комплексные числа
и
:
(1)
Поэтому комплексные числа z и
называются сопряженными комплексными координатами этой точки.
Формулы (1) позволяют осуществить переход от уравнения геометрической фигуры в декартовых координатах к ее уравнению в сопряженных комплексных координатах. Однако сейчас мы предпочли непосредственное рассмотрение уравнений в сопряженных комплексных координатах.
Геометрический смысл уравнения ![]()
Найдем множество точек плоскости, сопряженные комплексные координаты которых удовлетворяют уравнению
(2)
Сначала выделим особый случай, когда с=0. Тогда имеем систему относительно
и ![]()
![]()
второе уравнение которой получается из первого переходом к сопряженным числам. Уравнивая коэффициенты при
, путем вычитания второго уравнения из первого получаем:
![]()
Если
, т.е.
, то решением полученного уравнения, а значит, и решением исходного уравнения
будет единственное число z=0. При
уравнение
напишем в виде
. Модули левой и правой частей равны. Необходимо, чтобы
, откуда
. Этому условию удовлетворяет каждая точка прямей m, проходящей через начало под углом
к действительной оси (рис.1). Так, уравнением
(3)

задается прямая при
и точка
при
.
Пусть теперь
. Свободный член уравнения (2) можно всегда сделать действительным числом путем умножения обеих частей уравнения на с. Поэтому сразу будем полагать
Тогда имеем систему:
![]()
из которой получаем:
. Рассмотрим возможные случаи.
Если
, то
и подстановкой в исходное уравнение получаем:
или
.
При
его решение единственно:
![]()
При
решений нет.
Если
, то
и
, т. е.
. В этом случае уравнением (2) при
прямая. В самом деле, возьмем точку
и вектор
точки В(b) и рассмотрим множество точек М(z), для каждой из которых (MQ)
(OB):
(4)
Очевидно, это множество есть прямая. При
и
уравнение (4) эквивалентно уравнению (2).
Таким образом, при
и
уравнение (2) есть уравнение прямой, которая проходит через точку
перпендикулярно вектору
.
Наконец, отметим случай, когда
, но
. Тогда система
![]()
приводит к противоречию:
, т.е.
.
Подведем итоги. Уравнением
, в котором хотя бы один из коэффициентов a и b отличен от нуля, задается:
1) прямая при |а|=|b|, с=0, а также при
;
2) единственная точка при
;
3) пустое множество в иных случаях, т. е. при |a| = |b|,
, а также при
,
.
Достигнув поставленной цели, возвратимся снова к системе:
![]()
не налагая ограничений на коэффициенты а, b, с, кроме того, что a и b не равны нулю одновременно. Уравнивая коэффициенты при
, приходим к уравнению
, которое:
а) имеет единственное решение при
;
б) имеет бесконечное множество решений при
и
;
в) не имеет решений при
и
.
Отсюда и на основании результата предыдущих исследований получаем, что уравнение
определяет:
а) единственную точку при ![]()
б) прямую при
и
;
в) пустое множество при
и
.
Уравнение
(5)
прямой в сопряженных комплексных координатах будем называть приведенным уравнением прямой.
Две прямые. Расстояние от точки до прямойПусть прямая т задана приведенным уравнением
. Так как она перпендикулярна вектору
, то вектор
будет ей параллелен (рис.2). Следовательно, ориентированный угол от оси х до прямой т равен аргументу числа ai:

. (6)
Положительно ориентированный угол
от прямой
до прямой
равен углу между их направляющими векторами
и
:
. (7)
Формулы (6) и (7) позволяют находить соответствующие углы с точностью до слагаемого
.
Из формулы (7) вытекает критерий перпендикулярности и критерий параллельности прямых
и
. В самом деле,
чисто мнимое число. Это значит, что
, или
. (8)
При
или
получаем:
. (9)
Если прямая
проходит через точку
, то
и ее уравнение можно написать в виде:
(10)
В силу условия (8) перпендикулярности для прямой, перпендикулярной данной, коэффициентами при, z и
будут соответственно числа а и
. Поэтому на основании уравнения (10) получаем уравнение
(11)
прямой, проходящей через точку
перпендикулярно прямой
. Решение системы

дает координату
(12)
основания M1 перпендикуляра, опущенного из точки
на прямую
.
Так как расстояние d от точки M0 этой прямой равно
, то
. (13)
Геометрический смысл, уравнения ![]()
Из формулы расстояния между двумя точками получается уравнение окружности по ее центру S (s) и радиусу R :
(14)
Пусть дано уравнение
, (15)
в котором на комплексные коэффициенты а, b, с не накладывается заранее никаких условий. Требуется найти множество точек, координаты которых ему удовлетворяют. С этой целью удобно представить его в эквивалентном виде:
. (16)
Рассмотрим все возможные случаи для коэффициентов а, b, с.
1. Сравнивая уравнение (16) с уравнением (14) окружности, приходим к выводу, что уравнение (16), а значит, и уравнение (15) задают окружность тогда и только тогда, когда
и ab—с - действительное число. Так как в этом случае
, то с должно быть действительным числом.
Итак, уравнение
(17)
есть уравнение окружности с центром s=-b и радиусом
.
2. При
и с=ab уравнению (16) удовлетворяет единственная точка s=-b. В частности, этот случай имеет место при а=b=с=0. Соблюдая аналогию, говорят, что уравнением
задается окружность с центром s=-b нулевого радиуса.
3. Если
,
, но
, то
- чисто мнимое число. Полагаем
, тогда (16) можно записать так:
. (18)
Уравнению (18) не удовлетворяет ни одна точка плоскости, поскольку левая часть неотрицательна, а правая отрицательна при любом значении z. Говорят, что это уравнение есть уравнение окружности мнимого радиуса iR с действительным центром S, имеющим комплексную координату s=-b.
4. Когда
, но
, уравнение (16) противоречиво: левая часть его действительна, а правая нет. В этом случае оно не задает никакого геометрического образа (даже мнимого!).
5. Осталось рассмотреть случай, когда
. Тогда из уравнения (15) вычтем уравнение
, получающееся из (15) переходом к сопряженным комплексным числам. Получаем:
,
откуда
![]()
Выполняя эту подстановку в уравнение (15), приводим его к виду
. (19)
При
уравнения (15) и (19) равносильны. В зависимости от того, отличен от нуля или равен нулю дискриминант
![]()
квадратного уравнения (19), оно будет определять две различные (действительные!) или две совпавшие точки. При D=0 совпавшие точки имеют комплексную координату
![]()
В частности, при c=ab как уравнение (16), так и уравнение (19) дает пару точек z1=-b и
.
Итак, уравнением (15) задается либо окружность (действительная, мни мая, нулевого радиуса), либо две точки (различные или же совпавшие), либо пустое множество точек.
Рассмотрим одну замечательную пару окружностей.
Две пересекающиеся окружности называются ортогональными, если касательные к ним в их общей точке перпендикулярны. Тогда, очевидно, касательная к одной из ортогональных окружностей в их общей точке содержит центр другой окружности.
Для того чтобы окружности (A, R) и (В, r) были ортогональны, необходимо и достаточно, чтобы |AB|2=R2+r2 , или
. (20)
Если окружности заданы уравнениями
![]()
и
![]()
то
, и поэтому критерий (20) их ортогональности трансформируется так:
(21)
Задача 1. Хорды АВ и PQ окружности пересекаются в точке С. Найти множество точек М пересечения прямых АР и BQ, если точки А, В, С постоянны, а точки Р и Q пробегают данную окружность (рис.3).
Решение. Пусть z - комплексная координата произвольной точки М искомого множества и данная окружность принята за единичную
. В силу зависимости координат точек, принадлежащих секущей к окружности (см. предыдущую статью), имеем:
![]()
откуда
. Подставляя эти выражения во второе равенство, получаем:
,
или
![]()
Привлекая
, полученному уравнению придадим вид
.
Теперь ясно, что искомое множество точек представляет собой пару прямых, одной из которых является прямая АВ, а другая имеет уравнение
(22)
в приведенной форме. Как видим, эта прямая не зависит от хорды АВ, а определяется лишь окружностью и точкой С. Она называется полярой точки С относительно окружности
.
Задача 2. Около окружности описан квадрат ABCD. Точки
- ортогональные проекции его вершин A, В, С, D соответственно на произвольную касательную к окружности. Доказать, что
.
Решение. Радиус окружности примем за единицу длины. Систему координат выберем так, чтобы точки касания сторон АВ, ВС, CD, DA с окружностью имели координаты
. Тогда вершины А, В, С, D будут иметь координаты
Касательная к окружности в ее произвольной точке Р (р) имеет уравнение
в приведенной форме. Руководствуясь формулой (13), находим:
Аналогично получаем:
![]()
Равенство доказано.
Задача 3. Вершины A и В прямоугольного равнобедренного треугольника АВС спроектированы параллельно некоторой прямой l на прямую, проходящую через вершину С прямого угла, соответственно в точки
и
. Доказать, что сумма
зависит только от угла
между осью проекций и прямой l (при заданном треугольнике АВС).
Решение. Примем ось проекций за действительную ось х и вершину С за начало О. Прямую l проведем через О и зададим принадлежащей ей точкой Р(р), |p|=1. Ее уравнение имеет вид
. Если вершина A имеет координату а, |а|=1, то вершине В соответствует число ai (рис.4).

Прямые АА1 и BB1 получают уравнения
и
. Для точек, лежащих на оси х проекций,
. Подстановкой в предыдущие уравнения получаем координаты точек А1 и В1:
.
Находим:
,
где
- указанный в условии задачи угол.
Задача 4. На окружности
взяты четыре произвольные точки А, В, С, D. Окружности
соответственно с центрами A, В, С и проходящие через точку D пересекаются вторично попарно в точках
(рис.5). Доказать, что точки
коллинеарны.
Решение. Пусть окружность
является единичной и точка D имеет координату d=l. Используя уравнение (14) и тот факт, что окружность
имеет центр A(а) и содержит точку D(1), получаем ее уравнение
, или
. Аналогично окружности
и
будут иметь уравнения
и
.
Решая систему уравнений окружностей
и
, находим координату второй общей точки М3 этих окружностей: m3=a+b-ab.

Аналогично m2=c+a-ca, m1=b+c-bc.
Отсюда находим:
.
Это число сопряжено самому себе, и потому точки
коллинеарны.
Задача 5. Найти множество центров окружностей, проходящих через данную точку М (т) ортогонально данной окружности
.
Решение. Если окружность
обладает заданным свойством, то
![]()
Исключая
получаем уравнение относительно
:
.
Им определяется прямая с нормальным вектором
, который равен вектору
, где
- центр данной окружности. Следовательно, эта прямая перпендикулярна прямой AM (рис.6).
Заключение
Многие задачи элементарной геометрии можно изящно и просто решать при помощи комплексных чисел. Однако, значение комплексных чисел заключается не только в изяществе и краткости решения задач посредством этих чисел, хотя и это весьма существенно. Не менее важно и то, что в результате применения комплексных чисел при решении задач не редко обнаруживаются новые детали, удается сделать интересные обобщения и внести уточнения, которые подсказываются анализом полученных формул и соотношений.
Конечно, данная работа не может вместить в себя все теоремы и задачи, к тому же многие из них еще не сформулированы. Здесь рассмотрены лишь некоторые темы, по каждой из которых были представлены задачи и их решения.
Хочется отметить и то, что излагаемая тема в этой работе еще мало изучена вообще, просто ею не занимаются, поэтому она таит в себе много скрытого и неизвестного, что дает прекрасную возможность для дальнейшей работы над ней.
Здесь мы остановились на вопросе применения комплексных чисел к решению планиметрических задач, а что, если комплексные числа применять к решению стереометрических задач?! Опять находить красивые закономерности, какие-то факты, уточнения, делать обобщения, открывать все новое и новое. Но это вопросы уже следующих работ.
Подводя итоги, можно сделать вывод: метод комплексных чисел в применении к решению задач по элементарной геометрии можно давать не только студентам высших учебных заведений, но и старшим школьникам на факультативных занятиях. Так как этот метод прост в применении, использует аппарат комплексных чисел, что, безусловно, должно заинтересовать увлекающихся математикой учеников. Дает возможность посмотреть на задачи по геометрии с другой стороны, приучить к тому, что все наглядные задачи (правильность которых видна из чертежа) можно решать аналитическим способом, вообще не прибегая к чертежу.
Список использованной литературы
- З. А. Скопец “Геометрические миниатюры”.- М.: Просвещение, 1990
- Л. И. Волковский “Сборник задач по теории функций комплексных переменных”.- М.: Просвещение, 1985
- И. И. Привалов “Введение в теорию функции комплексного переменного”.- М.: Просвещение, 1988