Элементарные конформные отображения
ЕЛЕЦ
ГОСУДАРСТВЕННЫЙ ПЕДАГОГИЧЕСКИЙ ИНСТИТУТ.
КУРСОВАЯ РАБОТА
ПО МАТЕМАТИЧЕСКОМУ АНАЛИЗУ
Тема: «Элементарные конфортные отображения»
Выполнила: студентка группы М-31
физико-математического факультета
Е.Г. Петренко
Научный руководитель:
О.А. Саввина
1998 г.
ЭЛЕМЕНТАРНЫЕ ФУНКЦИИ КОМПЛЕКСНОЙ ПЕРЕМЕННОЙ
Краткая справка. Пусть имеются два множества комплексных точек
и
. Если задан закон
, ставящий в соответствие каждому
точку (или точки)
, то говорят, что на множестве
задана функция комплексной переменной со значениями в множестве
. Обозначают это следующим образом:
. (Часто говорят также, что
отображает множество
в множество
.)
Задание функции
эквивалентно заданию двух действительных функций
и тогда
, где
,
. Как и в обычном анализе, в теории функций комплексной переменной очень важную роль играют элементарные функции. Рассмотрим некоторые из них.
1.
- линейная функция. Определена при всех
. Отображает полную комплексную плоскость
на полную комплексную плоскость
. Функция
и обратная ей
- однозначны. Функция
поворачивает плоскость
на угол, равный
, растягивает (сжимает) ее в
раз и после этого осуществляет параллельный сдвиг на величину
. Непрерывна на всей комплексной плоскости.
2.
. Определена на всей комплексной плоскости, причем
,
. Однозначна, непрерывна всюду, за исключением точки
. Отображает полную комплексную плоскость
на полную комплексную плоскость
, причем точки, лежащие на единичной окружности, переходят в точки этой же окружности. Точки, лежащие внутри окружности единичного радиуса, переходят в точки, лежащие вне ее, и наоборот.
3.
- показательная функция. По определению
, т.е.
,
,
. Из определения вытекают формулы Эйлера:
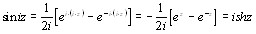
;
;
;
Определена на всей комплексной плоскости и непрерывна на ней.
периодична с периодом
. Отображает каждую полосу, параллельную оси
, шириной
в плоскости
в полную комплексную плоскость
. Из свойств
отметим простейшие:
, ![]()
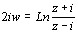
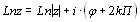
4.
- логарифмическая функция (натуральный логарифм). По определению:
.
Выражение
называется главным значением
, так что
. Определен для всех комплексных чисел, кроме
.
- бесконечно-значная функция, обратная к
.
, ![]()
5.
- общая показательная функция. По определению,
. Определена для всех
, ее главное значение
, бесконечно-значна.
6. Тригонометрические функции
;
;
;
По определению,
;
;
; ![]()
7. Гиперболические функции. Определяются по аналогии с такими же функциями действительной переменной, а именно:
, ![]()
Определены и непрерывны на всей комплексной плоскости.
Задачи с решением.
1) Найти модули и главные значения аргументов комплексных чисел:
,
,
,
,
Решение. По определению,
,
,
; если
, то очевидно,
,
,
,
, ![]()
,
,
, ![]()
,
,
, ![]()
Найти суммы:
1) ![]()
2) ![]()
Решение. Пусть:
, а
. Умножим вторую строчку на
, сложим с первой и, воспользовавшись формулой Эйлера, получим: 
; Преобразуя, получим:
, 
3. Доказать, что: 1)
2)![]()
3)
4)![]()
Доказательство:
1) По определению, ![]()
2) 
3)
; ![]()
Выразить через тригонометрические и гиперболические функции действительного аргумента действительные и мнимые части, а также модули следующих функций: 1)
; 2)
; 3)
;
Решение:
и, учитывая результаты предыдущего примера, получим:
,
,
,
![]()
Напомним, что ![]()
2) ![]()
,
,
![]()
3) 
,
,
,
.
Найти действительные и мнимые части следующих значений функций:
;
; ![]()
Решение. Следуя решению примера 4, будем иметь:
;
;
;
;
; ![]()
Вычислить: 1)
; 3)
; 5)
;
; 4)
; 6)
;
Решение. По определению,
, ![]()
1)
,
,
,
![]()
,
,
,
![]()
,
,
, 
4)
,
,
,

5)
,
,
,

6)
,
,
, ![]()
Найти все значения следующих степеней:
1)
; 2)
; 3)
; 4)
;
Решение. Выражение
для любых комплексных
и
определяются формулой ![]()
1) ![]()
2)![]()
3) ![]()
4)
.
8. Доказать следующие равенства:
1)
;
2)
;
3) ![]()
Доказательство: 1)
, если
, или
, откуда
, или
.
Решив это уравнение, получим
, т.е.
и ![]()
, если
, откуда
, или
, следовательно,
, ![]()
3)
, если
, откуда
, или
.
Отсюда
, следовательно, ![]()