Формулы по алгебре

Revision 1.0 (четверг, 21 августа 2003 г.)

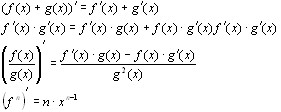
Производная

    – асимптота, если

            Уравнение касательной к графику функции в точке

            

            Подобные работы:

            Актуально: