Постановка задачи линейного программирования и двойственная задача линейного программирования
Постановка задачи линейного программирования и двойственная задача линейного программирования.
Линейное программирование является составной частью раздела математики, который изучает методы нахождения условного экстремума функции многих переменных и называется математическим программированием. В классическом математическом анализе рассматривается задача отыскания условного экстремума функции. Тем не менее, время показало, что для многих задач, возникающих под влиянием запросов практики, классические методы недостаточны. В связи с развитием техники, ростом промышленного производства и с появлением ЭВМ все большую роль начали играть задачи отыскания оптимальных решений в различных сферах человеческой деятельности. Основным инструментом при решении этих задач стало математическое моделирование — формальное описание изучаемого явления и исследование с помощью математического аппарата.
Искусство математического моделирования состоит в том, чтобы учесть как можно больше факторов по возможности простыми средствами. Именно в силу этого процесс моделирования часто носит итеративный характер. На первой стадии строится относительно простая модель и проводится ее исследование, позволяющее понять, какие из существенных свойств изучаемого объекта не улавливаются данной формальной схемой. Затем происходит уточнение, усложнение модели.
В большинстве случаев первой степенью приближения к реальности является модель, в которой все зависимости между переменными, характеризующими состояние объекта, предполагаются линейными. Здесь имеется полная аналогия с тем, как весьма важна и зачастую исчерпывающая информация о поведении произвольной функции получается на основе изучения ее производной — происходит замена этой функции в окрестности каждой точки линейной зависимостью. Значительное количество экономических, технических и других процессов достаточно хорошо и полно описывается линейными моделями.
Основные формы задачи ЛП.
Различают три основные формы задач линейного программирование в зависимости от наличия ограничений разного типа.
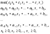
Стандартная задача ЛП.

или, в матричной записи,
![]()
где
— матрица коэффициентов. Вектор
называется вектором коэффициентов линейной формы,
— вектором ограничений.
Стандартная задача важна ввиду наличия большого числа прикладных моделей, сводящихся наиболее естественным образом к этому классу задач ЛП.
Каноническая задача ЛП.

или, в матричной записи,
![]()
Основные вычислительные схемы решения задач ЛП разработаны именно для канонической задачи.
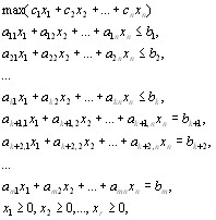
Общая задача ЛП.
В этой задачи часть ограничений носит характер неравенств, а часть является уравнениями. Кроме того, не на все переменные наложено условие неотрицательности:

Здесь
. Ясно, что стандартная задача получается как частный случай общей при
; каноническая — при
.
Все три перечисленные задачи эквивалентны в том смысле, что каждую из них можно простыми преобразованиями привести к любой из двух остальных.
При изучении задач ЛП сложилась определенная терминалогия. Линейная форма
, подлежащая максимизации (или минимизации) , называется целевой функцией. Вектор
, удовлетворяющий всем ограничениям задачи ЛП, называется допустимым вектором, или планом. Задача ЛП, для которой существуют допустимые векторы, называется допустимой задачей. Допустимый вектор
, доставляющий наибольшее значение целевой функции по сравнению с любым другим допустимым вектором
, т.е.
, называется решением задачи, или оптимальным планом. Максимальное значение
целевой функции называется значением задачи.
Двойственная задача линейного программирования.
Рассмотрим задачу ЛП
(1)
или, в матричной записи,
(2)
Задачей, двойственной к (1) (двойственной задачей), называется задача ЛП от
переменных
вида
(3)
или, в матричной записи,
(4)
где
.
Правила построения задачи (3) по форме записи задачи (1) таковы: в задаче (3) переменных
столько же, сколько строк в матрице
задачи (1). Матрица ограничений в (3) — транспортированная матрица
. Вектор правой части ограничений в (3) служит вектором коэффициентов максимизируемой линейной форме в (1), при этом знаки неравенств меняются на равенство. Наоборот, в качестве целевой функции в (3) выступает линейная форма, коэффициентами которой задаются вектором правой части ограничений задачи (1), при этом максимизация меняется на минимизацию. На двойственные переменные
накладывается условие неотрицательности. Задача (1), в отличии от двойственной задачи (3) называется прямой.
Теорема двойственности. Если взаимодвойственные задачи (2), (4) допустимы, то они обе имеют решение и одинаковое значение.
Теорема равновесия. Пусть
— оптимальные планы прямой (1) и двойственной (3) задач соответственно. Тогда если
то
![]()