Математическая модель всплытия подводной лодки
МАТЕМАТИЧЕСКАЯ МОДЕЛЬ ВСПЛЫТИЯ ПОДВОДНОЙ ЛОДКИВведение
Под словами математическая модель всплытия подводной лодки подразумевается описание физического процесса, происходящего при её всплытии с некоторой глубины.Естественно, математическая модель существенно отличается от реально происходящего процесса, так как при построении модели берется приближение, при котором пренебрегают некоторыми силами и факторами среды
В данном случае, вместо лодки, идущей на какой-то глубине, рассматривается материальная точка с переменной массой, первоначально движущаяся горизонтально. Мы будем пренебрегать гидродинамикой этого процесса рассматривая только три основных силы действующих на эту точку
Рассматривая, таким образом, действия сил на объект, используя основные законы механики и соотношения между силами мы можем составить дифференциальное уравнение или систему дифференциальных уравнений, решая которую, можно получить её частное или общее решение (в зависимости от вида системы)
Получив решение, мы можем ответить и на другие вопросы, касающиеся всплытия лодки, такие, как нахождение значений параметров при которых время всплытия лодки будет минимальным, и ряд других
На идее моделирования, по существу, базируется любой метод исследования – как теоретический(при котором используются абстрактные модели), так и экспериментальный (использующий предметные модели)
Построение математической модели процесса позволяет понять его суть и его физический смысл
Рассмотрим подводную лодку как материальную точку, которая движется по горизонтали на некоторой глубине, с некоторой постоянной скоростью. Лодка удифферентована, то есть силы, которые действуют на лодку по вертикали, как показано на рис.1, (сила тяжести и выталкивающая сила Архимеда) равны по модулю
По горизонтали, на лодку действует сила сопротивления, модуль которой примем в виде:
![]()
Где степень
и коффициент пропорциональности
это некоторые числа, характерные для данной среды, и зависящие от факторов среды, таких как: плотность
Рис. 1 воды, её температура, и величины скорости
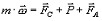
Сила Архимеда, действущая на лодку, зависит от размеров лодки, а именно от её объема, и плотности воды
![]()
В этой формуле
– это плотность жидкости,
–объем тела, погруженного в жидкость,
= 9.81 м / c 2 – ускорение свободного падения
Пусть в некоторый момент времени выключены двигатели и сбрасывается балласт. Двигаясь по инерции, а также под действием силы Архимеда, она начнет всплывать по некоторой траектории (рис.2)
Проведем радиус вектор
из начала координат:
![]()
Вектор скорости также можно разложить на составляющие по осям x и y:
Рис. 2 ![]()
так как вектор скорости всегда направлен по касательной к траектории движения, а сила сопротивления имеет противоположное направление
По второму закону Ньютона:
,
где вектор
- это вектор силы тяжести, действующей на лодку.
- некоторая функция зависящая от времени
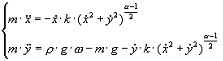
Запишем это векторное уравнение в проекциях на оси
В проекции на ось
: ![]()
В проекции на ось
: ![]()
В результате получим систему дифференциальных уравнений:
,
где масса
- функция зависящая от времени. Решая эту систему для произвольного значения
, и заданных начальных условий, мы получим уравнение траектории движения подводной лодки
Пусть масса лодки изменяется по линейному закону
, где
- масса корпуса,
- это скорость вытеснения воды из цистерн, которую будем считать постоянной, а
- некоторый момент времени, в который вся вода из цистерн вытеснена. Как показано на рис.3, в некоторый момент времени произведение
будет равняться 0 , и мы
Рис. 3 получим
, то – есть, вся вода из цистерн будет вытеснена
Решим эту систему для частного случая
Пусть
= 1. В начальный момент времени лодка находится в начале координат, а вектор её скорости направлен по горизонтали и равен ![]()
Тогда начальные условия будут такими:
![]()
![]()
В рассматриваемом частном случае, система уравнений принимает следующий вид:
![]()
Первое уравнение этой системы зависит только от
, второе только от
, поэтому их можно разделить. Решим сначала первое уравнение системы
![]()
Так как в это уравнение не входит
, можно сделать замену
. Решая таким образом полученное уравнение первого порядка с разделяющимися переменными, получим:
![]()
![]()
![]()

Решим второе уравнение системы
![]()
Делая аналогичную замену, получим линейное неоднородное уравнение, решая которое, получим:
![]()
![]()
![]()
В итоге получается траектория движения лодки заданная параметрически:

Траектория движения подводной лодки для заданных начальных условий и
= 1 изображена на рис. 4
Решим исходную систему для произвольного значения параметра ![]()
На
накладывается ограничение:
,
так как только при выполнении этого условия, сила сопротивления оказывается прямо
Рис 4. пропорциональна скорости
Систему

приведем к нормальной форме Коши, вводя новые переменные
.
В результате получим систему состоящую из четырех дифференциальных уравнений первого порядка:

Начальные условия для которой имеют вид:
.
Решения этой системы для нескольких значений параметра
представлены на рис. 5

Рис. 5 а
Так как при близких значениях
траектория почти не изменяется и графики сливаются, для большей наглядности изобразим их в более крупном виде

Рис.5 б
На рис.5 а,б изображены решения исходной системы для ![]()
![]()
![]()
![]()
![]()
![]()
Найдем значение
для которого время всплытия будет наименьшим и уравнение движения при этом значении параметра. Очевидно, что если
то
, и система принимает следующий вид:
,
где
- функция, зависящая от времени
График решения этой системы представлен на рис.6
Функция возрастет быстрее, чем в случаях с другим значением
. А это значит, что, при данном значении параметра, она всплывет с определенной глубины за минимальное время
Рис. 6 При отрицательном значении праметра траектория будет практически совпадать с траекторией
, но, в этом случае, задача теряет физический смысл
Заключение
Мы рассмотрели только частные случаи решения задачи. Исходную систему, невозможно решить в общем виде, без использования ЭВМ, или численных методов решения задачи
Но, уже по частным случаям решений, можно увидеть некоторую закономерность, на основании которых, уже можно делать какие-то выводы
Сам процесс всплытия подводной лодки – достаточно сложный физический процесс. На всплытие лодки влияют не только несколько сил действующие на неё. Большое значение имеют гидродинамические параметры, которые в построении данной модели не учитывались. Для численных решений системы и построения графиков были взяты реальные размеры и начальная скорость подводной лодки, что позволило как можно больше приблизить рассмотренный процесс к реальному
Список литературы
- Агафонов С.А., Герман А.Д., Муратова Т.В. Дифференциальные уравнения
М.: Изд-во МГТУ имени Н.Э. Баумана, 2000. - 347 с
- Степанов В.В. Курс дифференциальных уравнений
М.: Изд-во технико-теоретической литературы, 1950. - 467 с
- Осипенко Л., Жильцов Л., Мормуль Н. Атомная подводная эпопея
М.: “Боргес”, 1994. - 350 c