Строение атмосферы, гидросферы и литосферы
Вариант – 10
Содержание.
1. Строение атмосферы, гидросферы и литосферы. 22. Трофические цепи и трофические сети. 63. Антропогенная деятельность как источник помех. 84. Кислотные дожди. 135. Оценка загрязнения воздушного бассейна. 156. Подготовка воды для хозяйственно-питьевого водоснабжения. 197. Очистка сточных вод от суспензий и взвесей. 278. Экологические требования при размещениии и эксплуатации предприятий. 369. Укрупненная оценка экономического ущерба от загрязнений. 3810. Расчетным путем оценить опасность загрязнения воздушного бассейна и рассчитать предельно допустимый выброс при следующих условиях: 41Список использованной литературы. 451. Строение атмосферы, гидросферы и литосферы.Атмосфера — газообразная оболочка Земли. К ней относятся: атмосфеный воздух; газы, растворенные в поверхностных и подземных водах; газовая составляющая почв, а также газы, выделяющиеся из горного массива, которые прямо или косвенно влияют на жизнедеятельность живых организмов. Атмосфера распространяется над Землей до 2 000 км; это
от радиуса Земли.
Функции атмосферы:
- Регулирование климата Земли.
- Поглощение солнечной радиации.
- Пропускает тепловое излучение Солнца.
- Сохраняет тепло.
- Является средой распространения звука.
- Источник кислородного дыхания.
- Формирование влагооборота, связанного с образованием облаков и выпадением осадков.
- Формирующий фактор литосферы (выветривание).
Атмосфера делится на:
- Тропосфера — граница до 10 – 12 км.
- Стратосфера — граница до 55 км от тропосферы.
- Мезосфера — граница до 85 – 90 км от стратосферы.
- Термосфера — граница до 150 км от мезосферы.
- Экзосфера — граница до 800 – 2 000 км от термосферы.
Состав атмосферы.
В настоящее время состав атмосферы находится в состоянии динамического равновесия, что достигается деятельностью живых организмов.
На высоте 100 – 120 км чаще всего встречаются азот и кислород; на высоте 400 км находится кислород в атомарном состоянии (с одним свободным электроном); на высоте 600 – 1600 км чаще всего встречают гелий; выше преобладает водород.
В нижних слоях атмосферы (до 25 км) встречаются CO2, углеводороды CxHy, диоксид серы SO2, оксиды азота NxOy и др.
Одной из характеристик атмосферы является влажность. Влажность атмосферного воздуха определяется его насыщенностью водяными парами. Наиболее богаты влагой нижние слои атмосферы (1,5 - 2,0 км), где концентрируется примерно 50 % влаги. Количество водяного пара в воздухе зависит от его температуры: чем выше температура, тем больше влаги содержит воздух. Однако при любой конкретной температуре воздуха существует определенный предел его насыщения парами воды, который является максимальным. Обычно насыщение воздуха парами воды не достигает максимума, и разность между максимальным и текущим насыщением носит название дефицита влажности, или недостатка насыщения. Дефицит влажности — важнейший экологический параметр, поскольку он характеризует сразу две величины: температуру и влажность. Чем выше дефицит влажности, тем суше и теплее, и наоборот. Известно, что повышение дефицита влажности в определенные отрезки вегетационного периода способствует интенсивному плодоношению растений, а у насекомых приводит к усиленному размножению вплоть до так называемых демографических “вспышек”. На анализе динамики дефицита влажности основаны многие способы прогнозирования различных явлений среди живых организмов.
Температура на поверхности земного шара определяется температурным режимом атмосферы и тесно связана с солнечным излучением. Известно, что количество тепла, падающего на горизонтальную по верхность, прямо пропорционально синусу угла стояния Солнца над горизонтом, поэтому наблюдаются суточные и сезонные колебания температуры. Чем выше широта местности, тем больше угол наклона солнечных лучей и тем холоднее климат.
Одним из инструментов атмосферы, влияющих на экологию Земли является ветер. Причина возникновения ветра — неодинаковый нагрев земной поверхности, связанный с перепадами давления. Ветровой поток направлен в сторону меньшего давления, т.е. туда, где воздух более прогрет. Сила вращения Земли воздействует на циркуляцию воздушных масс. В приземном слое воздуха их движение оказывает влияние на все метеорологические элементы климата: режим температуры, влажности, испарения с поверхности Земли и транспирацию растений. Ветер — важнейший фактор переноса и распределения примесей в атмосферном воздухе. Наблюдаются длительные периоды (циклы) преобладающей атмосферной циркуляции продолжительностью в несколько десятков лет. Эти циклы меридианальной, широтной циркуляции периодически сменяются с востока на запад, с севера на юг, а также в противоположных направлениях. С типами атмосферной циркуляции иногда связывают периоды одновременной активности многих видов животных, например, периоды вспышек массового размножения насекомых. Скорость и направление движения воздушных масс могут изменяться в зависимости от рельефа, времени суток и других факторов. Вертикальное движение масс воздуха — сложный природный процесс, который может характеризоваться температурной стратификацией — изменением температуры воздуха с высотой.
Давление атмосферы. Нормальным считается давление 1кПа, соответствующее 750,1 мм рт.ст. В пределах земного шара существуют постоянно области низкого и высокого давления, причем в одних и тех же точках наблюдаются сезонные и суточные колебания давления. Различают также морской и континентальный типы динамики давления. Периодически возникающие области пониженного давления, характеризующиеся мощными потоками воздуха, стремящегося по спирали к перемещающемуся в пространстве центру, носят название циклонов. Циклоны отличаются неустойчивой погодой и большим количеством осадков.
Литосфера — это твердая внешняя оболочка Земли, земная кора.
Мощность Земной коры под океаном — 5 - 20 км; под континентом — 70 км. В литосфере выделяют массив горных пород, земную поверхность и почвы.
Почва — это рыхлый поверхностный горизонт суши, способный производить урожай растений. Важнейшее свойство почвы — ее плодородие, которое определяется физическими и химическими свойствами почвы. Почва — трехфазная среда, включающая твердые, жидкие и газообразные компоненты. Она представляет собой продукт физического, химического и биологического преобразования горных пород, т.е. формируется в результате сложного взаимодействия климата, растений, животных и микроорганизмов. Сама почва постоянно развивается и изменяется, вследствие чего существует большое разнообразие ее типов. В результате перемещения или превращения вещества почва расчленяется на отдельные слои, или горизонты, сочетание которых представляет профиль почвы. Во всех типах почв самый верхний горизонт имеет более или менее темный цвет, зависящий от количества органического вещества. Этот горизонт называется гумусовым или перегнойно-аккумулятивным. Он может иметь зернистую, комковатую или слоистую структуру. Избыток или недостаток гумуса определяет плодородие почвы, т.к. в нем осуществляются сложные обменные процессы, в результате которых образуются элементы питания растений. Выше гумусового горизонта иногда располагается подстилка или дерн, состоящий из разлагающихся растительных остатков и способствующий накоплению влаги и питательных веществ в почве, а также влияющий на тепловой и воздушный режимы почвы. Под гумусовым горизонтом обычно залегает малоплодородный подзолистый горизонт вымывания (в черноземных и темных почвах этот горизонт отсутствует). Еще глубже расположен иллювиальный горизонт (горизонт вмывания), в него вмываются и в нем накапливаются минеральные и органические вещества из вышележащих горизонтов. Еще ниже залегает материнская горная подстилающая порода, на которой формируется почва. Все горизонты представляют собой смесь органических и минеральных элементов. Свыше 50% минерального состава почвы приходится на кремнезем ( Si02), около 1 - 25% — на глинозем ( Al2O3), 1 - 10% — на оксиды железа (Fe2O3), 0,1 - 5% — на оксиды магния, калия, фосфора, кальция (Mg0, К2О, P205, Са0). Органические вещества, поступающие в почву с растительным опадом, включают углеводы (лигнин, целлюлоза, гемицеллюлоза), белковые вещества, жиры, а также конечные продукты обмена у растений — воск, смолы, дубильные вещества. Органические остатки в почве разрушаются (минерализуются) с образованием более простых (вода, диоксид углерода, аммиак и др.) веществ или превращаются в более сложные соединения — перегной, или гумус. Одна из наиболее важных характеристик почвы — ее механический состав, т.е. содержание частиц разной величины. Установлены четыре градации механического состава: песок, супесь, суглинок и глина. От механического состава почвы зависят ее водопроницаемость, способность удерживать влагу, проникновение в нее корней растений и др. Кроме того, каждая почва характеризуется плотностью, тепловыми и водными свойствами. Большое значение для почвы имеет аэрация, т.е. ее насыщенность воздухом и способность к такому насыщению. Химические свойства почвы зависят от содержания минеральных веществ, которые находятся в ней в виде растворенных ионов. Некоторые ионы являются для растений токсичными, другие — жизненно необходимыми. Концентрация ионов водорода (рН) в среднем близка к нейтральному значению. Флора таких почв особенно богата видами. В известковых (рН 8) и засоленных почвах (рН 4) развивается только специфическая растительность. Обитающее в почве множество видов растительных и животных организмов активно влияет на ее физико-химические характеристики.
Гидросфера — это водная оболочка Земли. К ней относят: поверхностные и подземные воды, прямо или косвенно обеспечивающие жизнедеятельность живых организмов, а также вода, выпадающая в виде осадков. Вода занимает преобладающую часть биосферы. Из 510 млн. км2 общей площади земной поверхности на Мировой океан приходится 361 млн. км2 (71%). Океан — главный приемник и аккумулятор солнечной энергии, поскольку вода обладает высокой теплопроводностью. Основными физическими свойствами водной среды являются ее плотность (в 800 раз выше плотности воздуха) и вязкость (выше воздушной в 55 раз). Кроме того, вода характеризуется подвижностью в пространстве, что способствует поддержанию относительной гомогенности физических и химических характеристик. Водные объекты характеризуются температурной стратификацией, т.е. изменением температуры воды по глубине. Температурный режим имеет существенные суточные, сезонные, годовые колебания, но в целом динамика колебаний температуры воды меньше, чем воздуха. Световой режим воды под поверхностью определяется ее прозрачностью (мутностью). От этих свойств зависит фотосинтез бактерий, фитопланктона, высших растений, а следовательно, и накопление органического вещества, которое возможно лишь в пределах эвфотической зоны, т.е. в том слое, где процессы синтеза преобладают над процессами дыхания. Мутность и прозрачность зависят от содержания в воде взвешенных веществ органического и минерального происхождения. Из наиболее значимых для живых организмов абиотических факторов в водных объектах следует отметить соленость воды — содержание в ней растворенных карбонатов, сульфатов, хлоридов. В пресных водах их мало, причем преобладают карбонаты (до 80%). В океанической воде преобладают хлориды и отчасти сульфаты. В морской воде растворены практически все элементы периодической системы, включая металлы. Другая характеристика химических свойств воды связана с присутствием в ней растворенного кислорода и диоксида углерода. Особенно важен кислород, идущий на дыхание водных организмов. Жизнедеятельность и распространение организмов в воде зависят от концентрации ионов водорода (рН). Все обитатели воды — гидробионты приспособились к определенному уровню рН: одни предпочитают кислую, другие — щелочную, третьи — нейтральную среду. Изменение этих характеристик, прежде всего в результате промышленного воздействия, ведет к гибели гидробионтов или к замещению одних видов другими.
2. Трофические цепи и трофические сети.Живые организмы, входящие в состав биоценоза в экосистеме, неодинаковы с точки зрения специфики ассимиляции ими вещества и энергии. В отличие от растений и бактерий животные не способны к реакциям фото- и хемосинтеза, а вынуждены использовать солнечную анергию опосредованно — через органическое вещество, созданное фото- и хемосинтетиками. Таким образом, в биоценозе образуется цепочка последовательной передачи вещества и эквивалентной ему энергии от одних организмов к другим или так называемая трофическая цепь (от греческого “трофе” — питаюсь).
Поскольку растения строят свой организм без посредников, их называют самопитающимися, или автотрофами. Так как будучи автотрофами, они создают первичное органическое вещество из неорганического, они являются продуцентами. Организмы, которые не могут строить собственное вещество из минеральных компонентов, используют органику, созданную автотрофами, употребляя их в пищу. Их называют гетеротрофами, что означает “питаемый другими”, а также консументами (от лат. “консумо” — потребляю). Однако далеко не все организмы для удовлетворения своих физиологических потребностей ограничиваются потреблением растительной пищи, строя белки своего тела непосредственно из белков растений. Плотоядные животные используют животные белки со специфическим набором аминокислот. Они тоже являются консументами, но, в отличие от растительноядных, — консументами вторичными, или второго порядка. Но и на этом трофическая цепь не всегда заканчивается, так как вторичный консумент может служить источником питания для консумента третьего порядка и т.д. Но в одной трофической цепи не бывает консументов выше пятого порядка вследствие рассеяния энергии.
В процессе питания на всех трофических уровнях появляются “отходы”. Зеленые растения ежегодно частично или полностью сбрасывают листья. Значительная часть организмов по тем или иным причинам постоянно отмирает. В конечном итоге так или иначе созданное органическое вещество должно частично или полностью замениться. Эта замена происходит благодаря особому звену трофической цепи — редуцентами (от лат. “редукцио” — возврат). Эти организмы — преимущественно бактерии, грибы, простейшие, мелкие беспозвоночные — в процессе жизнедеятельности разлагают органические остатки всех трофических уровней продуцентов и консументов до минеральных веществ. Минеральные вещества, а также диоксид углерода, выделяющийся при дыхании редуцентов, вновь возвращаются к продуцентам.
Разные уровни питания в экосистеме называют трофическими уровнями. Первый трофический уровень образуют продуценты, второй — первичные консументы, третий — вторичные консументы и так далее. Многие животные питаются более, чем на одном трофическом уровне, поедая как растения, так и первичных консументов или как первичных консументов, так и вторичных. Таким образом, в экологической системе компоненты биоценоза выполняют различные экологические роли: фитоценоз автотрофен и состоит из продуцентов, в биоценоз входят гетеротрофные консументы пяти уровней и редуценты, в составе микробиоценоза — автотрофные хемосинтетики и гетеротрофные редуценты. Но все они представляют собой звенья трофических цепей.
Разные трофические цепи, в свою очередь, связаны между собой общими звеньями, образуя очень сложную систему, называемую трофической сетью.
Трофическая цепь в биогеоценозе есть одновременно цепь энергетическая, т.е. последовательный упорядоченный поток передачи энергии Солнца от продуцентов ко всем остальным звеньям. Поток энергии через экосистему можно измерить в различных ее точках, установив тем самым, какое количество солнечной энергии содержится в органических веществах, образованных в процессе фотосинтеза; какую часть энергии, заключенной в растительном материале, может использовать растительноядное животное; какую часть этой энергии успевает использовать растительноядное, прежде, чем его съедает плотоядное, и так далее, от одного трофического уровня к другому.
3. Антропогенная деятельность как источник помех.В настоящее время на Земле практически не осталось экологических систем, не подверженных в той или иной мере влиянию человека. Влияние человека на экосистемы в процессе техногенеза весьма интенсивно, поскольку своей деятельностью он создает направленные помехи в механизмах естественной обратной связи. Они отличаются от естественных помех и неявляются инструментом отбора, поскольку в процессе эволюции организмы к ним не приспособились и приспособиться, как правило, не успевают, за исключением видов, дающих десятки поколений в год (например, растительноядные клещи при постоянном воздействии ядохимикатов способны образовывать невосприимчивые к токсическому воздействию расы за счет отбора особей, наследственно устойчивых к данному веществу, иначе говоря — мутантов).
Отклонение от нормы некоторых параметров среды в результате антропогенного воздействия зачастую выходят за пределы, отвечающие нормам реакции организмов на эти параметры. Так, применение гербицидов (веществ, уничтожающих сорняки) вносит помехи в биогеоценоз в целом. Трава, являющаяся и продуцентом, и средообразователем, и источником энергии для последующих трофических звеньев, погибает под воздействием гербицидов. С ее гибелью исчезают экологические ниши насекомых. Все это прямо сказывается на их популяциях: нарушается режим обитания, питания, часть особей погибает, а оставшаяся часть оказывается в условиях, неблагоприятных для размножения, и возможность свободного и случайного обмена генетической информацией (пан-миксия) становится ограниченной. Наконец, и на уровне отдельной особи происходят необратимые изменения: часть насекомых гибнет из-за ядовитости гербицидов, часть оказывается к ним толерантной, а у части отмечаются изменения в хромосомах (мутации), меняющие наследственность. В рассмотренном примере наблюдаются разрывы в каналах обратной связи при передаче информации от особи к популяции, а от нее к биоценозу.
Применение ядохимикатов создает так называемые частичные помехи, которые разрушают лишь отдельные звенья в отдельных трофических и энергетических цепях, не разрушая пищевых сетей в целом. К полной деградации всей экологической системы они обычно не приводят. Выброс в атмосферу ксенобиотиков (чуждых окружающей среде веществ) или превышение естественного уровня некоторых компонентов атмосферы меняет соотношение газов воздуха и создает помехи реакциям фотосинтеза, а в некоторых случаях просто убивает листву. Повышение содержания в почве индустриальных райнов марганца, хрома, никеля, меди, кобальта, свинца снижает первичную продуктивность. Подобные помехи ведут к разрушению экосистемы в целом, так как уничтожается основной трофический уровень — биопродуценты. В этом случае говорят о предельных помехах. Вырубка леса или распашка целинной степи полностью ликвидируют экосистемы и в лучшем случае приводит к возникновению на их месте новых, а в худшем — к эрозии почв.
За разрушением экосистем в конечном итоге может последовать и разрушение биосферы в целом или резкое снижение ее продуктивности. Вырубка лесов, эрозия почв, замещение ландшафтов горными выработками и урбанизация снижают общую биомассу фотосинтетиков и нарушают непрерывность биотического круговорота на значительных террито риях. Помехи могут действовать не только быстро, но и постепенно, прерывая поток информации между отдельными звеньями пищевых цепей. С экологических позиций антропогенное загрязнение окружающей среды представляет собой комплекс помех в экосистемах. Бездействующих на потоки энергии и информации в пищевых (энергетических) цепях. Эти помехи не являются периодическими и часто превышают нормы реакции живых организмов, поэтому в отличие от естественных помех они ведут не к естественному отбору, а к массовой гибели организмов.
Загрязнение среды — сложный многообразный процесс. Отходы производства оказываются обычно там, где их раньше не было. Многие из них химически активны и способны взаимодействовать с молекулами, входящими в состав тканей живого организма.
Непосредственными объектами загрязнения (акцепторами) служат основные компоненты биотопа (местообитание биотического сообщества): атмосфера, гидросфера, литосфера. Косвенными объектами загрязнения (жертвами) являются составляющие биоценоза — растения, животные, микроорганизмы.
Источники загрязнения весьма разнообразны: среди них промышленные предприятия, теплоэнергетический комплекс, транспортные и бытовые отходы, отходы животноводства, а также химические вещества, намеренно вносимые человеком в экосистемы для защиты от вредителей, болезней и сорняков.
Среди ингредиентов загрязнений — тысячи химических веществ, особенно металлы и оксиды, токсины, аэрозоли. Загрязнителем может быть любой физический агент, химическое вещество и биологический вид (микроорганизмы), попадающие в окружающую среду или возникающие в ней в количествах, выходящих за рамки своей обычной концентрации — предельных естественных колебаний или среднего природного фона в рассматриваемое время.
Различают антропогенные загрязнители, разрушаемые биологическими процессами и неразрушаемые ими (стойкие). Первые входят в естественные круговороты веществ и поэтому быстро исчезают или подвергаются разрушению биологическими агентами. Вторые не входят в естественные круговороты и накапливаются в пищевых цепях и в биотопах.
Загрязнение означает не просто внесение в атмосферу, почву и воду тех или иных чуждых им компонентов. В любом случае воздействию подвергается биогеоценоз в целом. Кроме того, избыток или недостаток одних веществ в природной среде или просто присутствие в ней других веществ означает изменение режимов экологических факторов или их составов, отклоняющихся от требований экологической ниши того или иного организма (или звена в пищевой цепи). При этом нарушаются процессы обмена веществ, снижается интенсивность ассимиляции продуцентов, а значит, и продуктивность биоценоза в целом.
Итак, загрязнение окружающей среды есть внесение в экологическую систему (биогеоценоз) не свойственных ей живых или неживых компонентов или структурных изменений, прерывающих круговорот веществ, их ассимиляцию, поток энергии, вследствие чего экосистема разрушается или снижает свою продуктивность.
Отрицательное влияние изменения качества внешней среды на метаболизм живых организмов получило название “экологической ловушки”. Наиболее яркими примерами являются воздействие на физиологические процессы в организме человека метилртути (болезнь “Минамата”), а также влияние некоторых пестицидов.
В свое время создание высокоэффективного ядохимиката для борьбы с вредителями растений — дихлордифенилтрихлорэтана (ДДТ) — было отмечено Нобелевской премией, поскольку его применение сулило реальную возможность сохранять урожайность агроценозов и лесные насаждения. Мировое производство ДДТ в течение почти 30 лет достигало ежегодно 100 тыс.т. Препараты ДДТ создавали помехи в экосистемах для экономически вредных консументов и защищали урожаи. Но и сам препарат, и некоторые его примеси помимо токсичности для теплокровных животных, способны прогрессивно накапливаться в звеньях пищевых цепей. При содержании в воде препарата ДДТ в дозировке 0,0014 частей на миллион его содержание в планктоне составляет уже 5,0 частей на миллион, а в мышцах рыб — 221 часть, т.е. при прохождении его по трофической цепи происходит концентрирование более чем в 10 тыс. раз! Когда этот факт был установлен, практически все страны мира (за исключением Китая и некоторых других развивающихся стран) подписали Конвенцию о запрещении производства и применения ДДТ.
Последствия загрязнения далеко не всегда ощущаются сразу. Скачкообразным проявлениям загрязнения нередко предшествуют скрытые. Важна своевременная косвенная индикация загрязнения в начальные моменты его воздействия.
Загрязнение — это не только выброс в природную среду вредных веществ. При отводе воды от систем охлаждения в естественные водоемы происходит изменение естественного режима температуры, т.е. тепловое загрязнение. В качестве загрязнения можно рассматривать и отклонение от оптимальных параметров уровней шума, освещенности, радиоактивности.
В качестве системы помех следует рассматривать разрушение биогеоценозов при открытой добыче полезных ископаемых, регулировании водотоков, осушении, эрозии почв. Источником помех являются шахтные отвалы и терриконы, в которых идут сложные физико-химические процессы с выделением вредных веществ в атмосферу, воду и почву. Среди загрязнений выделяют механическое, химическое, физическое, биологическое, микробиологическое. Механическое заключается в засорении среды агентами, оказывающими лишь механическое воздействие без физико-химических последствий; химическое — в изменении естественных химических свойств среды, в результате которого повышается среднемноголетнее колебание количества каких-либо веществ для рассматриваемого периода времени, или проникновение в среду веществ, нормально отсутствующих в ней или в концентрациях, превышающих норму.
Загрязнение физическое подразделяют на:
- тепловое (термальное), возникающее в результате повышения температуры среды главным образом в связи с промышленными выбросами нагретого воздуха, отходящих газов и воды;
- световое — нарушение естественной освещенности местности в результате воздействия искусственных источников света, приводящее к аномалиям в жизни животных и растений, или снижения уровня естественной освещенности из-за задымленности нижних слоев атмосферы;
- шумовое, образующееся в результате увеличения интенсивности и повторяемости шумов сверх природного уровня;
- электромагнитное, появляющееся в результате изменения электромагнитных свойств среды (от линий электропередачи, радио и телевидения, работы некоторых промышленных установок и т.п.), приводящее к глобальным и локальным геофизическим аномалиям и изменениям в биологических структурах;
- радиоактивное,связанное с превышением естественного уровня содержания в среде радиоактивных веществ.
Биологическое и микробиологическое загрязнение возникает случайно или в результате хозяйственной деятельности человека.
Все эти различные по происхождению и характеру воздействия факторы имеют один объединяющий их признак: они являются помехами в экологических системах и популяциях и ведут к одному и тому же результату — снижению продуктивности популяции, затем экосистемы в целом, а далее — к их распаду.
Рассматривая процесс загрязнения в широком смысле, с позиций теории помех, его можно классифицировать следующим образом:
— ингредиентное загрязнение как совокупность веществ, количественно или качественно чуждых естественным биогеоценозам;
— параметрическое загрязнение, связанное с изменением качественных параметров окружающей среды;
- биоценотическое загрязнение, заключающееся в воздействии на состав и структуру популяций живых организмов;
- стациально-деструкционное загрязнение, представляющее собой изменение ландшафтов и экологических систем в процессе природопользования.
Последствия загрязнения среды кратко можно обозначить следующим образом:
- Загрязнение среды есть процесс нежелательных потерь вещества, энергии, труда и средств, приложенных человеком к добыче и заготовке сырья и материалов, превращающихся в безвозвратные отходы, рассеиваемые в биосфере.
- Загрязнение имеет следствием необратимое разрушение как отдельных экологических систем, так и биосферы в целом, включая воздействие на физико-химические параметры среды.
- Вследствие загрязнения теряются плодородные земли, снижается продуктивность экологических систем и биосферы в целом.
- Загрязнение прямо или косвенно ведет к ухудшению физического и морального состояния человека как главной производительной силы общества.
- Защита окружающей среды от загрязнения — одна из ключевых задач в общей проблеме оптимизации природопользования, сохранения качества среды для настоящего и будущих поколений людей.
Воздействие человека на биосферу на всех этапах его взаимодействия с природой служило источником помех. Первоначально оно сводилось к воздействию человека как биологического вида; затем наступил период сверхинтенсивной охоты без изменения экосистем, сменившийся изменением экосистем через естественно идущие процессы — пастьбу, усиление роста трав путем их выжигания и т.п. На следующем этапе изменение экосистем интенсифицировалось путем распашки и широкой вырубки лесов. Наконец, современный период характеризуется глобальным изменением всех экологических компонентов биосферы в целом. Воздействие человека на биосферу сводится к четырем основным формам:
- изменение структуры земной поверхности (распашка степей, вырубка лесов, мелиорация, создание искусственных озер и морей и другие изменения режима поверхностных вод и т.д.);
- изменение состава биосферы, круговорота и баланса слагающих ее веществ (изъятие ископаемых, создание отвалов, выброс различных веществ в атмосферу и водные объекты, изменение влагооборота);
- изменение энергетического, в частности, теплового баланса отдельных районов земного шара и всей планеты;
- изменения, вносимые в биоту в результате истребления некоторых видов, создание новых пород животных и сортов растений, перемещение их на новые места обитания.
В настоящее время человек эксплуатирует более 55% суши, использует около 13% речных вод, сводит леса в среднем до 18 млн.га в год. В результате застройки, горных работ, опустынивания и засоления теряется от 50 до 70 тыс.км2 земель в год, при этом 15% всей мировой суши уже деградировало из-за вмешательства человека. При строительных и горных работах перемещается более 4 тыс.км3 породы в год, извлекается из недр Земли ежегодно 100 млрд.т руды, сжигается 7 млрд.т условного топлива, выплавляется более 800 млн.т различных металлов, рассеивается на полях свыше 500 млн.т минеральных удобрений и более 4 млн.т ядохимикатов, треть которых смывается поверхностными стоками в водоемы или задерживается в атмосфере. В настоящее время в практике используется до 500 тыс. химических соединений, из них около 40 тыс. обладают вредными для человека свойствами, а 12 тыс. токсичны.
Несовершенство современной технологии не позволяет полностью перерабатывать минеральное сырье. Большая его часть возвращается в природу в виде отходов. Готовая продукция составляет всего лишь 1 - 2% от используемого сырья, а все остальное идет в отходы, что свидетельствует о неразумном подходе к природным ресурсам. Ежегодно в биосферу поступает более 30 млрд.т отходов: бытовых и промышленных-жидких, твердых и газообразных, загрязняющих атмосферу, гидросферу и литосферу.
4. Кислотные дожди.Сера — это важный биофильный элемент. В животных тканях она находится в составе белков и аминокислот, а в растительных — в составе эфирных масел.
Основным природным источником серы служат вулканы, с выбросами которых в атмосферу поступают диоксид серы, сероводород и элементная сера общим количеством 4 - 16 млн.т (в пересчете на диоксид серы). Кроме того, сероводород является продуктом жизнедеятельности бактерий-хемосинтетиков, обитающих на суше и в океане. В виде сульфат-иона сера содержится в природных водах, средняя его концентрация составляет 2,65 мг SO4/1 г Н20. В составе многих минералов (уголь, нефть, железные, медные и другие руды) неорганическая сера встречается в земной коре.
В атмосфере соединения серы претерпевают целый ряд превращений (см рисунок ниже). Сероводород последовательно, в ряд ступеней, окисляется до диоксида серы, который, в свою очередь, тоже окисляется до серного ангидрида в результате фотохимического и радикального механизмов его взаимодействия с компонентами атмосферы, причем эти процессы существенно ускоряются в присутствии оксидов азота или углеводородов, а также оксидов железа, алюминия, хрома и других металлов. Атмосферная влага тоже способствует окислению диоксида в триоксид: в дождливую или туманную погоду время существования атмосферного диоксида серы не превышает 50 - 60 мин.
Атмосферный цикл соединений серы.
Триоксид серы легко взаимодействует с частицами атмосферной влаги и образует растворы серной кислоты. Реагируя с аммиаком или ионами металлов, присутствующими в атмосферной влаге, серная кислота частично переходит в соответствующие сульфаты. В основном это сульфаты аммония, натрия, кальция. Образование сульфатов происходит и в процессе окисления на поверхности твердых частиц, взвешенных в воздухе. Образовавшиеся сульфаты сохраняются в атмосфере не более 5 дней.
Значительная часть соединений серы оседает на землю с атмосферными осадками. Таким образом, из атмосферы сера снова попадает в гидросферу и в почву. Дождевая вода всегда имеет более кислую реакцию, чем поверхностные воды, ее рН составляет 5,6. В естественном цикле подобным путем обеспечивается необходимое подкисление почвы и почвенных растворов, позволяющее трансформировать минеральные питательные вещества в доступную для растений растворимую форму. Однако уже к 1976 г. 65% всех поступлений серы в атмосферу имело антропогенное происхождение, из них 95% приходилось на диоксид серы. Таким образом, поступление серы из природных источников было превышено более чем в два раза. Сернистый ангидрид в промышленности образутся при сжигании угля и нефти и при обжиге сульфидных руд меди, никеля, свинца, цинка. Соединения серы содержатся и в выбросах автотранспорта.
В первые моменты после выброса диоксида серы в атмосфере практически отсутствуют частицы серной кислоты и сульфатов. Со временем доля SO2 в воздухе уменьшается, одновременно растет доля серы в виде серной кислоты и сульфатов. Количество серной кислоты в атмосфере достигает максимума спустя 10 часов после выброса, а сульфатов — через 30 - 40 часов.
В северном полушарии выбросы SO2 оцениваются в 136 млн.т в год, в южном — 10 млн.т в год. Повышение содержания диоксида и триоксида серы в атмосфере привело к появлению кислотных дождей (рН около 4). Кислотный дождь — одна из наиболее тяжелых форм загрязнения окружающей среды. Максимальный отрицательный эффект кислотные дожди и газовые выбросы наносят атмосфере, а через нее — флоре и фауне. Этим же путем загрязняются водоемы. Под воздействием кислотных дождей закисляются почвы, что приводит к нарушению ионообменных процессов и буферных свойств почвы. Помимо этого в закисленной почве облегчается переход металлов из почвы в растворенную форму, доступную для растений, таким образом растения могут с почвенными растворами получать токсичные для них и большинства живых организмов металлы — цинк, железо, марганец, алюминий. Этим же путем интенсифицируется процесс выделения в почве сероводорода, токсичного для растений и микроорганизмов.
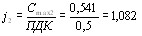
5. Оценка загрязнения воздушного бассейна.Для оценки загрязнения воздушного бассейна необходимо расчитать фактор опасности загрязнения, который рассчитывается по формуле:
,
где
j — фактор опасности загрязнения,
Ci — физическая концентрация загрязняющего вещества (мл г/м3),
ПДК — предельно допустимая концентрация вещества; верхний предел лимитирующий факторы среды, при которых их содержание не выходит за допустимые пределы экологической ниши человека, т.е. концентрация, которую может человек переносить без ущерба для здоровья. Значения ПДК утверждаются законодательно.
Если j больше 1, то существует опасность загрязнения воздушного бассейна.
Если j меньше либо равно 1, то фактическая концентрация загрязняющих веществ не превышает установленных нормативов.
Для специально охраняемых территорий j не должно превышать 0.8.
Т.к. на организм действует не одно, а несколько веществ, то говорят об эффекте суммации:
![]()
При оценки опасности загрязнения следует учитывать фоновую концентрацию — это загрязняющие вещества от других источников:
,
где
Сфi — фоновая концентрация.
Одним из факторов, который влияет на загрязнение воздушного бассейна, является перенос и рассеивание загрязняющих веществ в атмосфере.
На рассеивание влияют скорость и направление ветра, температурная стратификация атмосферы, температура воздуха в момент выброса, осадки и др. факторы.
Наиболее важная характеристика атмосферы — устойчивость. Устойчивость — это способность препятствовать вертикальным движениям и сдерживать турбулентность. В этом случае загрязняющие вещества, выброшенные вблизи поверхности, будут задерживаться в местах выброса.
Устойчивость зависит от изменений температуры воздуха с высотой — температурной стратификацией.
Выделяют три типа состояния атмосферы:
- Безразличная — изменение тимпературы на 10 на каждые 100 м.
- Неустойчивая — падает более чем на 10 на каждые 100 м.
- Устойчивая — менее чем на 10 на каждые 100 м. Это состояние наименее благоприятное для интенсивного рассеивания.
При оценки рассеивания загрязняющих веществ температурная стратификация учмтывается с помощью коэффициента А, который изменяется от 140 до 250 для различных районов.
На распространение оказывает влияние температура атмосферы в момент выброса, tГВС.
По этому признаку все выбросы делят на “холодные” и “горячие”.
“Холодные” — если разница между температурой выброса и температурой атмосферы приблизительно равна нулю,
.
“Горячие” — если разница между температурой выброса и температурой атмосферы больше нуля,
.
На распространение загрязняющих веществ влияет скорость ветра. “Опасная” скорость ветра определяется конкретным источником, чем меньше скорость ветра, тем она опасней.
Каждый источник выброса характеризуется определенными параметрами:
- Объем газовоздушной смеси — V (m3/c):
,
где
D — диаметр источника (m).
- Скорость выхода смеси — W (m/c).
- Температура смеси — t (0C).
- Интенсивность выброса смеси — M (г/с).
- Высота источника — H (m).
- Диаметр устья источника — D (m).
“Опасная” скорость ветра, Um, определяется через безразмерную величину
, причем для “горячих” и “холодных” источников по разным формулам.
Для “горячих” выбросов:
.
В соответствии с
определяют Um:
Um=0,5 м/с, при
;
Um=
м/с, при
;
Um=
м/с, при
, где
.
Для “холодных” выбросов:
.
В соответствии с
определяют Um:
Um=0,5 м/с, при
;
Um=
м/с, при
;
Um=
м/с, при
.
Для определения фактора опасности загрязнения j необходимо определить максимальную концентрацию загрязняющего вещества в приземном слое Cmax:
, где
A — коэффициент температурной стратификации;
M — интенсивность выброса;
F — безразмерный коэффициент, учитывающий скорость оседания вредных веществ в воздухе, который определяется как:
F=1, для газообразных примесей
F=2, для мелкодисперсных аэрозолей при степени очистки 90%
F=2,5, для мелкодисперсных аэрозолей при степени очистки от 90% до 75%
F=3, при отсутствии очистки или степени очистки менее 75%;
H — высота источника;
V — объем газовоздушной смеси;
— разность температур;
m и n — коэффициенты, учитывающие условия выхода газовоздушной смеси, которые расчитываются следующим образом:
m при f<100
,
при f
100
;
n=1 при
,
при
,
при
.
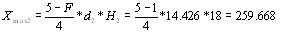
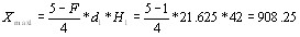
Для оценки опасности загрязнения необходимо рассчитать Cmax, максимальную концентрацию загрязняющего вещества в приземном слое, для каждого загрязняющиго вещества и сопоставить их с соответствующими ПДК:
.
Для двух источников рассчитывают Cmax для каждого из источников.
Если опасность загрязнения j больше единицы, то необходимо рассчитать ПДВ (предельно допустимый выброс):
, где
изменяется от единицы до четырех, в зависимости от местности, где произошел выброс.
Если компоненты обладают эффектом суммации, то следует определить опасность загрязнения с учетом этого эффекта.
Для этого необходимо определить расстояние Xmax от источника, на котором будет образовываться Cmax:
, где
F — коэффициент осаждения;
H — высота источника;
d — параметр, учитывающий условия выброса:
.
В точке Xmax2 Cmax будет увеличиваться на некоторую величину от первого источника. Установить эту величину можно с помощью коэффициента S, его определяют по графику в соответствии с величиной
, для Xmax1, где a — расстояние между источниками. Тогда опасность загрязнения для Xmax1 пересчитывается по следующей формуле:
, где C2=S2*Cmax2.
Как уже было сказано ранее S2 определяется по графику.
Для Xmax2: C1=S1*Cmax1, где S1 определяют по графику исходя из параметра
и соответственно
.
При расположении промышленных предприятий в городах или вблизи них, а также при решении о совместной очистке сточных вод группы предприятий промышленной зоны и близлежащего жилого массива загрязненные производственные воды могут сбрасываться в городскую водоотводящую сеть. Очистка смеси бытовых и производственных сточных вод в этом случае осуществляется на единых очистных сооружениях. В связи с тем что в сточных водах промышленных предприятий могут содержаться специфические загрязнения, их спуск в городскую водоотводящую сеть ограничен комплексом требований, установленных “Правилами приема производственных сточных вод в системы канализации населенных пунктов” (М., ЛКХ, 1987).
Выпускаемые в водоотводящую сеть производственные сточные воды не должны: превышать расходы сточных вод и содержание взвешенных, всплывающих веществ, установленные для конкретного промышленного предприятия; нарушать работу сетей и сооружений; содержать вещества, которые способны засорять трубы водоотводящих сетей или отлагаться на стенках труб: оказывать разрушающее действие на материал труб и элементы очистных сооружений; содержать горючие примеси и растворенные газообразные вещества, способные образовывать взрывоопасные смеси в водоотводящих сетях и очистных сооружениях; содержать вредные вещества в концентрациях, препятствующих биологической очистке сточных вод или сбросу их в водоем (с учетом эффективности очистки); иметь температуру выше 40°С; иметь рН за пределами 6,5 - 9; содержать опасные бактериальные загрязняющие вещества; иметь ХПК, превышающую БПКполн более чем в 1,5 раза.
Производственные сточные воды, не удовлетворяющие указанным требованиям, должны подвергаться предварительной очистке. Степень этой очистки должна быть согласована с организациями, проектирующими очистные сооружения населенного пункта.
Объединение сточных вод, способных вступать в химические реакции с выделением ядовитых или взрывоопасных газов и образовывать эмульсии, а также имеющих большое количество нерастворенных веществ, не допускается. Запрещаются залповые сбросы сильноконцентрированных производственных сточных вод. При значительных колебаниях их состава в течение суток необходимо предусматривать емкости — усреднители, обеспечивающие равномерный выпуск воды.
Сточные воды, в которых могут содержаться радиоактивные, токсичные и бактериальные загрязнения, перед выпуском в городскую водоотводящую сеть должны быть обезврежены и обеззаражены. Выпуск концентрированных маточных и кубовых растворов непосредственно в водоотводящую сеть запрещается. Незагрязненные сточные воды принимают в городскую сеть в тех случаях, когда необходимо разбавление сильноконцентрированных загрязненных стоков. Ограничение приема незагрязненных сточных вод обусловлено нецелесообразностью перегрузки городской сети водой, которая не требует очистки и может быть использована на производстве или спущена в водосточную сеть. При наличии в производственных сточных водах только минеральных загрязнений выпуск этих вод в городские коллекторы также нецелесообразен, так как после локальной обработки эти воды могут быть использованы в производстве или выпущены в водоем.
Во избежание коррозии водоотводящих коллекторов и очистных сооружений или нарушения процессов биологической очистки кислые и щелочные производственные сточные воды при спуске в водоотводящую сеть следует либо нейтрализовать, либо усреднять.
Для обеспечения нормальной работы городских очистных сооружений при совместной очистке производственных и бытовых сточных вод необходимо соблюдать ряд условий. Очищаемая смесь этих сточных вод в любое время суток не должна иметь: температуру ниже 6 и выше 30°С; активную реакцию среды ниже 6,5 и выше 8,5; общую концентрацию растворенных солей более 10 г/л; нерастворенных масел, смол, мазута; биологически трудноокисляемых органических веществ и “жестких” ПАВ; концентрацию вредных веществ, превышающую предельно допустимую концентрацию (ПДК); веществ, для которых не установлены ПДК в воде водоемов, и др.
Допустимое содержание органических веществ, оцениваемых по ВПК, должно определяться расчетом. При этом ВПК производственных сточных вод не должна приводить к превышению БПК сточных вод, принятой при проектировании очистных сооружений. Допустимые концентрации веществ, не удаляемых на очистных сооружениях, должны определяться исходя из их ПДК в воде водоемов.
ХПК при совместной биологической очистке производственных и бытовых сточных вод не должна превышать БПКполн более чем в 1,5 раза. Минимальное содержание биогенных элементов в смеси определяется из соотношения 100 : 5 : 1 (БПКполн: аммонийный азот : фосфор). Если это соотношение не выдерживается, то перед сооружениями биологической очистки в сточные воды необходимо вводить дополнительное количество биогенных элементов в виде растворов аммиачной воды, фосфорнокислого калия и др.
При совместной биологической очистке производственных и бытовых сточных вод механическая очистка может быть как раздельной, так и совместной. Раздельную механическую очистку следует принимать для взрывоопасных производственных сточных вод. При необходимости химической или физико-химической очистки производственных сточных вод, а также при раздельной обработке осадков производственных и бытовых сточных вод также применяется раздельная механическая очистка. Расчет сооружений биологической очистки следует производить по сумме органических загрязнений, выраженных БПКполн. Состав сооружений должен выбираться в зависимости от характеристики и количества поступающих на очистку сточных вод, требуемой степени их очистки, метода использования осадка и местных условий.
Кроме того сточные воды влияют на водоемы, которые используются для хозяйственных нужд. Природный химический состав и свойства воды поверхностных водоемов формируются в зависимости от гидрогеологических, почвенных, климатических и других особенностей района расположения. Естественный характер изменения состава воды связан с сезонными колебаниями гидрометеоусловий и интенсивности биологических процессов.
Существующую роль в ухудшении качества воды играет хозяйственная деятельность человека, а именно связанное с ней загрязнение природных водоемов сточными водами. Особенно опасен сброс производственных сточных вод, а также поступление в водоемы с территорий городов и населенных пунктов с развитой промышленностью талых и дождевых вод, содержащих различные токсичные вещества (металлы, нефтепродукты и другие трудноокисляемые органические вещества), в результате чего вода водоема может стать непригодной для водопользования.
Концентрации загрязнений, содержащихся в поверхностном стоке с территорий промышленных предприятий, по величине сравнимы с содержанием загрязнений в производственных сточных водах. Источниками загрязнения поверхностного стока являются выбросы в атмосферу от промышленных предприятий и загрязненность их территорий. Особенно высокие концентрации загрязняющих веществ в поверхностном стоке характерны для автотранспортных, химических, машиностроительных и нефтеперерабатывающих предприятий. Степень загрязненности поверхностного стока во многом зависит от культуры производства — характера технологических процессов и повторного использования воды, применяемого оборудования, организации улавливания выбросов, пылеулавливания, организации складирования.
Для поверхностных водоемов, расположенных вблизи крупных промышленных населенных пунктов, где производственные сточные воды и поверхностный сток очищаются недостаточно, характерно ухудшение качества воды водоема в черте населенного пункта. Анализируя данные химического состава воды реки, протекающей по территории крупного промышленного города, можно наблюдать отчетливую тенденцию увеличения общей минерализации воды и содержания в ней трудноокисляемых органических веществ, аммонийного азота, хлоридов и сульфатов (см. таблицу ниже). Наибольшее количество загрязняющих веществ содержится в речной воде ниже промышленных зон. По мере продвижения речной воды по городу возрастает содержание в ней компонентов производственных сточных вод, например различных металлов, концентрации которых выше вблизи промышленных зон.
Содержание веществ в речной воде в черте города, мг/л.
Показатели | Значения показателей в пунктах отбора проб (створах) | ||
1 | 2 | з | |
Взвешенные вещества | 3,3 | 9,7 | 19,2 |
Сухой остаток | 237 | 260 | 415 |
БПКз | 2,3 | 2,6 | 4,1 |
ХПК | 21 | 27 | 33 |
Азот аммонийный | 0,8 | 1,6 | 1,9 |
Хлориды | 17 | 22 | 46 |
Сульфаты | 29 | 38 | 49 |
Железо | 0,31 | 0,35 | 0,64 |
Марганец | 0,05 | 0,05 | 0,07 |
Цинк | 0,04 | 0,05 | 0,06 |
Медь | 0,02 | 0,02 | 0,02 |
Стронций | 0,31 | 0,41 | 0,52 |
Приведенные примеры изменений химического состава речной воды в городской черте свидетельствуют о большом и неблагоприятном влиянии на него города вследствие выпусков недостаточно очищенных производственных сточных вод и поступления поверхностного стока с территорий промышленных предприятий. Поверхностный сток с городских территорий — это дождевой сток, паводковые воды, снегосвал и поливомоечные воды. Все компоненты поверхностного стока несут в водоемы загрязнения.
Например, в сухой период года речная вода содержит меньше различных загрязняющих веществ, чем во время дождя. В дождь в реку поступают стоки с различных территорий и в потоке речной воды увеличивается содержание взвешенных веществ, азота аммонийных солей, биологически разрушаемых и трудноокисляемых органических веществ (см. таблицу ниже).
Содержание веществ в потоке речной воды в сухой период
и после дождя, г/с
Показатели | Значения показателей в пунктах отбора проб (створах) | |||||
1 | 2 | 3 | ||||
в сухой период | после дождя | в сухой период | после дождя | в сухой период | после дождя | |
Взвешенные вещества | 197 | 1166 | 298 | 1933 | 1180 | 5024 |
БПК | 91 | 405 | 146 | 393 | 302 | 629 |
ХПК | 1002 | 1410 | 1188 | 1582 | 2371 | 3409 |
Азот аммонийный | 18 | 34 | 26 | 34 | 51 | 129 |
В пунктах, расположенных ниже промышленных зон в городе, это увеличение количества загрязнений в потоке воды особенно заметно. Снег, выпадающий в городе, аккумулирует значительное количество загрязнений, в том числе компонентов промышленного происхождения. В связи с этим свал снега с улиц в реку, а также поступление в нее талых вод являются существенными источниками загрязнения речной воды взвешенными веществами, нефтепродуктами, трудноокисляемыми органическими веществами. Снегосвал и талые воды вносят больше загрязнений, чем дождевые стоки:
Количество веществ, вносимое в реку
в весенний период, г в 1 с
Показатели | Значения показателей в пунктах отбора (створах) | |||
1 | 3 | |||
талые воды | снег | талые воды | снег | |
Взвешенные вещества | 2000 | 8400 | 7800 | 600 |
ХПК | 2600 | 3400 | 2200 | 1200 |
Азот аммонийный | 70 | 60 | 40 | 20 |
Нефтепродукты | — | 200 | 180 | 20 |
В таблицах даны показатели количества загрязняющих веществ в конкретном створе реки. Для определения концентрации загрязнений необходимо знать расход воды в реке.
Таким образом, совершенно очевидно, что для предотвращения загрязнения поверхностных водоемов производственными сточными водами и поверхностным стоком с производственных территорий необходима эффективная очистка стоков от всех вредных веществ, способных сделать воду поверхностных водоемов непригодной для различных целей водопользования. Для сохранения качества воды поверхностных водоемов разработаны условия выпуска производственных сточных вод. Общие условия выпуска сточных вод любой категории в поверхностные водоемы определяются хозяйственной значимостью и характером водопользования. После выпуска сточных вод допускается некоторое изменение состава воды в водоемах, однако это не должно заметно отражаться на его жизни и возможностях дальнейшего использования в качестве источника водоснабжения, для культурных и спортивных мероприятий, рыбохозяйственных целей.
Условия выпуска производственных сточных вод в водоемы регламентируются “Правилами охраны поверхностных вод от загрязнения сточными водами” и “Правилами санитарной охраны прибрежных районов морей” Министерства здравоохранения СССР, содержащими указания по предотвращению и устранению загрязнения производственными сточными водами поверхностных водоемов — рек, озер, искусственных каналов, водохранилищ и морей.
Наблюдение за санитарным состоянием водоемов и соблюдением условий выпуска производственных сточных вод осуществляется санитарно-эпидемиологическими станциями и бассейновыми управлениями. Порядок осуществления контроля качества воды поверхностных водоемов определяется сезонными колебаниями состава воды и характером их хозяйственного использования. Контроль заключается в периодических комплексных обследованиях водоемов и в химических, микробиологических и гидробиологических анализах образцов воды. Число пунктов отбора и количество отобранных проб определяется в соответствии с гидрологическими особенностями водоема и расположением источников загрязнения.
В отобранных образцах воды определяются следующие показатели: температура, прозрачность, запах, рН, содержание взвешенных веществ и их зольность, сухого остатка и его зольность, жесткость, щелочность, содержание растворенного кислорода, окисляемость, БПК, ХПК, содержание общего железа, кальция, азота, аммонийных солей, нитритов, нитратов, сульфатов, фосфатов, хлоридов. Кроме того, в соответствии с местными условиями производится анализ на содержание специфических компонентов производственных сточных вод — металлов, нефтепродуктов, пестицидов.
Микробиологические и гидробиологические анализы дополняют данные о химическом составе и характеризуют степень эпидемиологической опасности и эффект воздействия сбросов производственных сточных вод на экосистему водоемов. Содержание вредных веществ в воде водоемов и в производственных стоках нормируется на основе определения предельно допустимых концентраций (ПДК) — основного гигиенического критерия качества воды водоемов, используемого органами Государственного контроля. ПДК — это максимальные концентрации, при которых вещества не оказывают прямого или опосредованного влияния на состояние здоровья населения и не ухудшают гигиенических условий водопользования.
ПДК устанавливаются на основе определения влияния веществ на организм человека с учетом различных признаков вредности (токсичности, изменения органолептических свойств воды и санитарного режима водоемов). ПДК для используемого вещества устанавливается по тому признаку вредности, при котором концентрация этого вещества наименьшая, и этот признак устанавливается для данного вещества лимитирующим.
В нашей стране ПДК приняты как основной норматив, служащий для предупредительного и текущего санитарного надзора. Соблюдение этого норматива на практике способствует сохранению воды поверхностных водоемов, пригодной для быта и отдыха населения. Это — основной критерий эффективности разрабатываемых и проводимых водоохранных мероприятий, основа расчета предельно попустимого сброса предприятий (ПДС), основа прогноза качества воды при развитии промышленности в новых осваиваемых районах.
Нормативные качества воды водоемов хозяйственно-питьевого и культурно-бытового водопользования. Правила устанавливают нормативы качества воды для водоемов по двум видам водопользования: к первому виду относятся участки водоемов, используемые в качестве источника для централизованного или нецентрализованного хозяйственно-питьевого водоснабжения, а также для водоснабжения предприятий пищевой промышленности; ко второму виду — участки водоемов, используемые для купания, спорта и отдыха населения, а также находящиеся в черте населенных пунктов.
Отнесение водоемов к тому или иному виду водопользования производится органами Государственного санитарного надзора с учетом перспектив использования водоемов. Приведенные в правилах нормативы качества воды водоемов относятся к створам, расположенным на проточных водоемах на 1 км выше ближайшего по течению пункта водопользования (водозабор для хозяйственно-питьевого водоснабжения, места купания и организованного отдыха, территория населенного пункта и т.д.), а на непроточных водоемах и водохранилищах на 1 км в обе стороны от пункта водопользования.
Для каждого из двух видов водопользования правилами установлены приведенные ниже показатели состава воды водоема в пунктах хозяйственно-питьевого и культурно-бытового водопользования.
Растворенный кислород. В воде водоема (после смешения с ней сточных вод) количество растворенного кислорода не должно быть менее 4 мг/л в любой период года в пробе, отобранной до 12 ч дня.
Биохимическая потребность в кислороде. Полная потребность воды в кислороде при температуре 20°С не должна превышать 3 и 6 мг/л для водоемов соответственно первого и второго вида, а также морей.
Взвешенные вещества. Содержание взвешенных веществ в воде водоема после спуска сточных вод не должно увеличиваться более чем на 0,25 и 0,75 мг/л для водоемов соответственно первого и второго вида. Для водоемов, содержащих в межень более 30 мг/л природных минеральных веществ, допускается увеличение концентрации взвешенных веществ в воде до 5%. Сточные воды, содержащие взвешенные вещества со скоростью осаждения более 0,4 мм/с для проточных водоемов и более 0,2 мм/с для водохранилищ, спускать запрещается.
Запахи и привкусы. Вода не должна приобретать запахов и привкусов интенсивностью более 3 баллов для морей и 2 баллов, обнаруживаемых для водоемов первого вида непосредственно или при последующем хлорировании и для водоемов второго вида непосредственно. Вода не должна сообщать посторонних запахов и привкусов мясу рыбы.
Окраска. В столбике воды высотой 20 см для водоемов первого вида и 10 см для водоемов второго вида и морей окраска не должна обнаруживаться.
Реакция воды. После смешения со сточными водами реакция воды водоема должна быть 6,5
рН
8,5.
Ядовитые вещества. Концентрация ядовитых веществ не должна оказывать прямое или косвенное вредное действие на здоровье населения.
Плавающие примеси. Сточные воды не должны содержать минеральных масел и других плавающих веществ в таких количествах, которые способны образовать на поверхности водоема пленки, пятна и скопления.
Возбудители заболеваний. В воде водоемов не должно быть возбудителей заболеваний. Сточные воды, содержащие возбудители заболеваний, должны подвергаться обеззараживанию после предварительной очистки. Методы обеззараживания биологически очищенных сточных вод должны обеспечивать коли-индекс не более 1000 при содержании остаточного хлора не менее 1,5 мг/л. Коли-индекс для морской воды должен быть согласован с органами Государственного санитарного надзора.
Минеральный состав. Для водоемов первого вида минеральный состав не должен превышать по плотному остатку 1000 мг/л, в том числе хлоридов 350 мг/л и сульфатов 500 мг/л, а для водоемов второго вида состав нормируется по приведенному выше показателю “Привкусы”.
Температура. В результате спуска в водоем сточных вод температура воды в нем не должна повышаться летом более чем на 3° по сравнению со среднемесячной температурой воды самого жаркого месяца года за последние 10 лет.
Нормативы качества воды водоемов, используемых в рыбохозяйственных целях. Эти нормативы установлены применительно к двум видам водопользования: к первому виду относятся водоемы, используемые для воспроизводства и сохранения ценных сортов рыб; ко второму — водоемы, используемые для всех других рыбохозяйственных целей. Вид рыбохозяйственного использования водоема определяется органами Рыбоохраны с учетом перспективного развития рыбного хозяйства и промысла. Нормативы состава и свойств воды водоемов, используемых для рыбохозяйственных целей, в зависимости от местных условий могут относиться к району выпуска сточных вод при быстром смешении их с водой водоема или к району ниже выпуска сточных вод с учетом возможной степени их смешения и разбавления на участке от места выпуска до ближайшей границы рыбохозяйственного участка водоема. На участках массового нереста и нагула рыб выпуск сточных вод не разрешается. При выпуске сточных вод в рыбохозяйственные водоемы предъявляются более высокие требования, чем при выпуске сточных вод в водоемы, используемые для питьевых и культурно-бытовых нужд населения.
Растворенный кислород. В зимний период количество растворенного кислорода не должно быть ниже 6 и 4 мг/л для водоемов соответственно первого и второго вида, в летний период — не ниже 6 мг/л в пробе, отобранной до 12 ч дня для всех водоемов.
Биохимическая потребность в кислороде. БПКполн при температуре 20 °С не должна превышать 3 мг/л в водоемах обоих видов. Если в зимний период содержание растворенного кислорода в воде водоемов первого и второго вида водопользования снижается соответственно до 6 и 4 мг/л, то можно допустить сброс в них только тех сточных вод, которые не изменяют ВПК воды.
Ядовитые вещества. Концентрация ядовитых веществ не должна оказывать прямое или косвенное вредное действие на рыб и водные организмы, служащие кормом для рыб.
Температура. В результате спуска в водоем сточных вод температура воды в нем не должна повышаться в летний период более чем на 3°, а в зимний более чем на 5°. Следует учитывать, что с повышением температуры восприимчивость организмов к токсичным веществам увеличивается.
Предельно допустимые концентрации радиоактивных веществ в воде водоемов регламентируются “Санитарными правилами работы с радиоактивными веществами и источниками ионизирующих излучений”.
Большое внимание в последние годы уделяется вопросам предупреждения и устранения загрязнений прибрежных районов морей. Нормативы качества морской воды, которые должны быть обеспечены при спуске сточных вод, относятся к району водопользования в отведенных границах и к створам на расстоянии 300 м в сторону от этих границ. При использовании прибрежных районов морей в качестве приемника производственных сточных вод содержание вредных веществ в морях не должно превышать ПДК, установленные по санитарно-токсикологическому, общесанитарному и органолептическому лимитирующим показателям вредности. При этом требования к спуску сточных дифференцированы применительно к характеру водопользования. Море рассматривается не как источник водоснабжения, а как лечебный, оздоровительный, культурно-бытовой и гигиенический фактор. Правила относятся не к морю вообще, а к только к тем прибрежным его районам, которые предназначены для лечения, отдыха, купания, спортивных мероприятий и находятся в пределах границ населенных пунктов, санаториев, домов отдыха, туристических баз и пр.
Состав и свойства воды поверхностных водоемов в пунктах хозяйственно-питьевого и культурно-бытового водопользования не должны превышать нормативы, изложенные в приложении 1 к “Правилам охраны поверхностных вод от загрязнения сточными водами” и в перечне “Предельно допустимые концентрации (ПДК) и ориентировочно безопасные уровни воздействия (ОБУВ) вредных веществ в воде водоемов хозяйственно-питьевого и культурно-бытового водопользования” (1983).
Основы нормирования в санитарной охране водоемов базируются на ПДК отдельных вредных веществ, поступающих в водоемы со сточными водами. Практически же в их составе после соответствующей очистки при спуске в водоемы содержатся десятки различных вредных веществ, совместное присутствие которых может взаимно усиливать вредное воздействие.
С. Н. Черкинским была предложена методика расчета условий спуска производственных сточных вод при совместном присутствии в них нескольких вредных веществ. В соответствии с этой методикой сумма концентраций всех веществ (нормируемых по одному признаку вредности), выраженных в долях от соответствующих ПДК для каждого вещества в отдельности, не должна превышать единицы.
В соответствии с новыми разработками ПДК и ОБУВ лимитирующий признак вредности учитывается при совместном содержании нескольких вредных веществ в воде. В случае присутствия в воде веществ 1-го и 2-го класса опасности рассчитывается суммарный показатель (по методике С.Н. Черкинского) по формуле:
![]()
или
,
где С1, С2, …, Сi — концентрации веществ 1-го и 2-го класса опасности в воде водоема;
С1п.д., С2п.д., ..., Сiп.д. — ПДК, установленные для соответствующих веществ в воде водоема.
Если при расчете условие формулы не соблюдается, то санитарное состояние водоема не удовлетворяет нормативным требованиям и необходимо осуществить мероприятия по повышению эффективности очистки производственных сточных вод перед их спуском в водоем.
Все расчеты по определению условий спуска сточных вод в водоем следует производить для самых невыгодных гидрологических условий: для незарегулированных рек — на средний расход наиболее маловодного месяца гидрологического года 95%-ной обеспеченности;
для нижних бьефов зарегулированных рек — на минимальный гарантированный пропуск гидроузла;
для озер и водохранилищ — при наименьших уровнях воды в них;
для морей, озер, водохранилищ — при наиболее неблагоприятном направлении течений к ближайшему пункту водопользования.
Условия спуска сточных вод в водоемы, изложенные в Правилах, распространяются на все объекты канализования независимо от их ведомственной подчиненности.
7. Очистка сточных вод от суспензий и взвесей.При выборе способов и технологического оборудования для очистки сточных вод от примесей необходимо учитывать, что заданные эффективность и надежность работы любого очистного устройства обеспечиваются в определенном диапазоне значений концентраций примесей и расходов сточной воды. Например, залповые сбросы отработанных технологических растворов в термических, травильных и гальванических цехах вызывают существенное увеличение концентрации тяжелых металлов в сточных водах на входе в очистные сооружения. Быстрое таяние снега, а также интенсивные дожди вызывают существенное увеличение расхода поверхностных сточных вод на входе в очистные сооружения.
Для обеспечения нормальной эксплуатации очистных сооружений в указанных случаях необходимо усреднение концентрации примесей или расхода сточной воды, а в некоторых случаях и по обоим показателям одновременно. С этой целью на входе в очистные сооружения устанавливают усреднители, выбор и расчет которых определяются характеристиками залповых сбросов. Например, методика расчета усреднителей концентрации примесей, заключающегося в определении объема усреднителя, зависит от значения коэффициента подавления
,
где Сmax — максимальная концентрация примесей в залповых сбросах сточной воды;
Сср — средняя концентрация примесей в сточной воде на входе в очистные устройства;
Сд — допустимая концентрация примесей в сточной воде, при которой обеспечивается нормальная эксплуатация очистных сооружений.
При
объем усреднителя определяют по формуле
,
где
— превышение расхода сточных вод при залповом сбросе;
— продолжительность залпового сброса.
При
объем усреднителя определяют по формуле
.
После расчета объема усреднителя выбирают необходимое число секций, исходя из условия
,
где Н — высота секции усреднителя;
=0,0025 м/с — допустимая скорость движения сточной воды в усреднителе.
Существует большое количество способов очистки сточных вод и различные виды их классификации. Выбор необходимых способов при проектировании станций очистки, как правило, основывается на виде и концентрации преобладающих примесей сточных вод, а именно механических (взвешенных), растворенных и органических. В данном вопросе рассматривается очистка сточных вод только от суспензий и взвесей.
Очистка сточных вод от твердых частиц в зависимости от их свойств, концентрации и фракционного состава на предприятиях осуществляется методами процеживания, отстаивания, отделения твердых частиц в поле действия центробежных сил и фильтрования.
Процеживание — первичная стадия очистки сточных вод — предназначено для выделения из сточных вод крупных нерастворимых примесей размером до 25 мм, а также более мелких волокнистых загрязнений, которые в процессе дальнейшей обработки стоков препятствуют нормальной работе очистного оборудования. Процеживание сточных вод осуществляется пропусканием воды через решетки и волокноуловители. Решетки, изготовленные из металлических стержней с зазором между ними 5 - 25 мм, устанавливают в коллекторах сточных вод вертикально или под углом 60 - 70° к горизонту. Размеры поперечного сечения решеток выбирают из условия минимальных потерь давления потока на решетке. Скорость сточной воды в зазоре между стержнями решетки не должна превышать значений 0,8 - 1,0 м/с при максимальном расходе сточных вод. Расчет решеток сводится к определению числа зазоров n, ширины решетки B и потерь напора
сточной воды на ней по формулам:
,
где QV — объемный расход сточной воды;
b — ширина прозора;
H — глубина коллектора;
— скорость движения сточной воды в прозорах;
,
где
— толщина стержня;
,
где
— скорость в канале перед решеткой (
=0,7 – 0,8 м/с);
k — коэффициент, учитывающий увеличение сопротивления решетки в процессе осаждения в ее зазорах примесей сточных вод, принимается равным 2 - 3;
— коэффициент местного сопротивления решеток;
;
— коэффициент, характеризующий форму поперечного сечения стержней решетки: для круглых стержней
равно 1,79; прямоугольных — 2,42; овальных — 1,83;
— угол наклона решетки к горизонту.
При эксплуатации решетки должны непрерывно очищаться, что осуществляется, как правило, механически, и лишь при задержании примесей в количествах менее 0,0042 м3/ч допускается ручная очистка. Промышленность выпускает вертикальные решетки марки РММВ-1000, применяемые при ширине и глубине коллектора, равных 1000 мм, а также наклонные решетки марок МГ
98, МГ
98, используемые при ширине коллектора, равной 800 (1600) мм, и глубине 1200 (2000) мм. Эти решетки очищают от задерживаемых примесей механически с помощью вертикальных (РММВ-1000) и поворотных граблей. В зависимости от состава примеси, снятые с решеток, измельчают на специальных дробилках и сбрасывают в поток сточной воды за решеткой или направляют на переработку. Однако эта процедура усложняет технологическую схему очистки сточных вод и ухудшает качество воздушной среды в помещениях очистных станций. Для устранения этих недостатков применяют решетки-дробилки, измельчающие задержанные примеси, не извлекая, их из воды. Промышленность выпускает решетки-дробилки марок РД-200 и РД-600 с диаметром барабанов соответственно 200 и 600 мм. Средний размер измельченных ими примесей не превышает 10 мм.
Отстаивание основано на особенностях процесса осаждения твердых частиц в жидкости. При этом может иметь место свободное осаждение неслипающихся частиц, сохранивших свои формы и размеры, и осаждение частиц, склонных к коагулированию и изменяющих при этом свою форму и размеры. Закономерности свободного осаждения частиц практически сохраняются при объемной концентрации осаждающихся частиц до 1%, что соответствует их массовой концентрации не более 2,6кг/м3 (для частиц с
=2600 кг/м3).
Расчет очистных сооружений для отстаивания сточных вод требует определения скорости осаждения (скорости витания) твердых частиц в жидкости. Скорость осаждения
может быть получена решением уравнения Стокса для движения сферической частицы в жидкости с учетом влияния силы гидравлического сопротивления, массовых сил и силы Архимеда:
![]()
Это уравнение справедливо для ламинарного режима движения (осаждения) частицы в жидкости. С увеличением размеров частиц скорости их осаждения возрастают и ламинарный режим течения нарушается. Для крупных частиц (dч>1мм) скорость осаждения определяется по формуле Риттенгера

где k — коэффициент, зависящий от формы и состояния поверхности частиц. Экспериментальные исследования показали, что в зависимости от вида частиц, их формы, размеров и состояния поверхности величина коэффициента k составляет 1,2...2,3.
Очистку сточных вод отстаиванием осуществляют в песколовках и отстойниках. Песколовки применяют для выделения частиц песка (стоки литейных цехов), окалины (стоки кузнечно-прессовых и прокатных цехов) и т.д. В зависимости от направления движения сточной воды песколовки делят на горизонтальные с прямолинейным и круговым движением воды, вертикальные и аэрируемые песколовки.
В горизонтальной песколовки с прямолинейным движением сточной воды, вода поступает в песколовку через входной патрубок. Оседающие в процессе движения воды твердые частицы скапливаются в шламосборнике и на дне песколовки, а очищенная сточная вода через выходной патрубок направляется для дальнейшей обработки. Удаление осадка из песколовок осуществляют, как правило, ежесуточно. Глубину h1 выбирают из условия
: где
— время движения воды в песколовке, составляет обычно 30...100 с. Длину песколовки определяют по формуле
, где
=0,15...0,3 м/с — скорость движения воды в песколовке; k=1,3...1,7 — коэффициент, учитывающий влияние турбулентности и неравномерности скоростей движения сточной воды в песколовке. Ширину В песколовки определяют с учетом реализации заданного расхода сточных вод (Q);
, где n — число секций в песколовке.
Расчет вертикальных песколовок заключается в определении требуемой ее глубины
в предположении
, где
=0,03...0,04 м/с — вертикальная составляющая скорости движения воды; время пребывания сточной воды в песколовке для практических расчетов принимают 120 с.
Для разделения твердых частиц по фракционному составу или по плотности применяют аэрируемые песколовки, в состав которых входят входная труба, воздуховод, воздухораспределители, выходная труба, шламосборник с отверстием для удаления шлама. Крупные фракции осаждаются, как и в горизонтальных песколовках. Мелкие же частицы, обволакиваясь пузырьками воздуха, всплывают наверх и с помощью скребковых механизмов удаляются с поверхности. Длина таких песколовок
. Время пребывания сточной воды в песколовке составляет 30...90 с,
=0,l...0,2 м/с, удельный расход аэрируемого воздуха 0,00083...0,0014 м3/(м2*с).
Отстойники используют для выделения из сточных вод твердых частиц размером менее 0,25 мм. По направлению движения сточной воды в отстойниках последние делят на горизонтальные, вертикальные, радиальные и комбинированные.
При расчете отстойников определяют его длину и высоту. Существует несколько методов расчета длины отстойников, отличающихся физической моделью течения жидкости в нем с учетом завихрений жидкости, осаждения частиц и т.п.
Расчетная схема горизонтального отстойника, предложенная А. И. Жуковым. Здесь отстойник по длине разбит на три зоны: в первой зоне длиной l1 наблюдается неравномерное распределение скоростей по глубине потока. Длина этой зоны
, где ho — высота движущегося слоя в начале отстойника, принимается равной 0,25 Н; k= (0,018 - 0,02)
. Во второй зоне длиной l2 скорость потока считается постоянной. При движении в этой зоне большая часть частиц загрязнений должна осесть в иловую часть отстойника, поэтому
, где h1 — максимально возможная высота подъема частицы в первой зоне. В третьей зоне длиной l3 скорость потока увеличивается, и условия осаждения частиц ухудшаются. Длина этой зоны определяется по формуле
, где
— угол сужения потока жидкости в выходной части отстойника, принимается равным 25 - 30°.
Для расчета длины отстойника L=l1+l2+l3 должны быть заданы: расход сточной воды и геометрические размеры поперечного сечения отстойника.
Схема вертикального отстойника. В нем очищаемая сточная вода поступает по трубопроводу в кольцевую зону, образованную цилиндрической перегородкой и корпусом отстойника. В процессе вертикального движения сточная вода встречает на своем пути отражательное кольцо, направляющее поток воды во внутреннюю полость перегородки, а твердые частицы оседают в шламосборник. Очищенная сточная вода поступает в кольцевой водосборник и через трубопровод выводится из отстойника. Осадок, скапливающийся в шламосборнике, периодически удаляется из него через трубопровод. При заданном расходе очищаемой сточной воды геометрические размеры отстойника выбирают таким образом, чтобы скорость движения сточной воды в кольцевой зоне не превышала скорость оседания твердых частиц в воде. Вертикальные отстойники используют для выделения окалины из сточных вод кузнечно-прессовых и прокатных цехов.
Широкое применение для очистки производственных сточных вод на больших заводах находят радиальные отстойники, обладающие высокой производительностью. Очищаемая сточная вода по входному патрубку с расширяющимся диаметром сечения на выходе поступает в отстойник и движется в радиальном направлении. Увеличение выходного диаметра патрубка обеспечивает при заданном расходе уменьшение скорости истечения сточной воды из трубопровода и, следовательно, увеличение вероятности ламинарного осаждения твердых частиц в отстойнике. Очищенная сточная вода по отводящим трубопроводам направляется для дальнейшей обработки, а шлам направляется в шламосборник вращающимся скребком и через канал периодически удаляется из отстойника. Диаметр отстойника рассчитывают по скорости осаждения наиболее мелких твердых частиц
, задерживаемых в отстойнике
. На промышленных предприятиях используют радиальные отстойники конструкции ВНИИ ВОДГЕО производительностью 0,2...0,362 м3/с.
Отделение твердых примесей в поле действия центробежных сил осуществляется в открытых или напорных гидроциклонах и центрифугах. Открытые гидроциклоны применяют для отделения из сточных вод крупных твердых частиц со скоростью осаждения более 0,02 м/с. Преимущества открытых гидроциклонов перед напорными — большая производительность и малые потери напора, не превышающие 0,5кПа. Эффективность очистки сточных вод от твердых частиц в гидроциклонах зависит от характеристик примесей (вида материала, размеров и формы частиц и др.), а также от конструкционных и геометрических характеристик самого гидроциклона.
Схема открытого гидроциклона. Он состоит из входного патрубка, кольцевого водослива, трубы для отвода очищенной воды и шламоотводящей трубы. Кроме указанной схемы известны гидроциклоны с нижним отводом очищенной воды и циклоны с внутренней цилиндрической перегородкой.
Производительность открытого гидроциклона QV=0.785*qD2,
где D — диаметр цилиндрической части гидроциклона;
q — удельный расход воды, определяемый по формуле
; для открытых гидроциклонов с внутренней цилиндрической перегородкой
.
При проектировании открытых гидроциклонов рекомендуются следующие значения геометрических характеристик: D=2...l0 м; высота цилиндрической части H=D; диаметр входного отверстия d=0,1D (при одном отверстии), при двух входных отверстиях d=0,0707D; угол конической части
=60°.
Напорные гидроциклоны по конструкции аналогичны циклонам для очистки газов от твердых частиц. Их производительность определяют по формуле
, где
k — коэффициент, зависящий от условий входа сточной воды в гидроциклон; для гидроциклонов с диаметром D цилиндрической части 0,125...0,6 м и углом конической части 30° значение k=0,524;
— перепад давлений воды в гидроциклоне;
— плотность очищаемой сточной воды.
Фильтрование сточных вод предназначено для очистки их от тонкодисперсных твердых примесей с небольшой концентрацией. Процесс фильтрования применяется также после физико-химических и биологических методов очистки, так как некоторые из этих методов сопровождаются выделением в очищаемую жидкость механических загрязнений. Для очистки сточных вод предприятий используют два класса фильтров: зернистые, в которых очищаемую жидкость пропускают через насадки несвязанных пористых материалов, и микрофильтры, фильтроэлементы которых изготовлены из связанных пористых материалов.
В зернистых фильтрах широко используют в качестве фильтроматериалов кварцевый песок, дробленый шлак, гравий, антрацит и т.п. Зернистые фильтры изготавливают однослойными и многослойными.
Схема каркасно-насыпного фильтра. Очищаемая сточная вода поступает по коллектору и через отверстия в нем равномерно распределяется по сечению фильтра. Нисходящий поток сточной воды проходит через слои гравия и песка, через перфорированное днище, установленное на поддерживающем слое гравия и через трубопровод отводится из фильтра. Регенерацию фильтра осуществляют продувкой сжатого воздуха, подаваемого в фильтр по трубопроводу, с последующей обратной промывкой водой через вентиль. Скорость фильтрования в данном фильтре составляет 0,0014...0,002 м/с для сточной воды, поступающей в фильтр из циклона или отстойника; для сточной воды, поступающей в фильтр после биологической очистки, — не более 0,0028 м/с.
Схема зернистого фильтра для очистки больших расходов сточных вод от твердых примесей. Сточная вода по трубопроводу поступает в корпус фильтра и проходит через фильтровальную загрузку из частиц мраморной крошки, шунгизита и т.п. расположенную между пористыми перегородками. Очищенная от твердых частиц сточная вода скапливает ся в объеме, ограниченном пористой перегородкой, и выводится из фильтра через трубопровод. По мере осаждения твердых частиц в фильтровальном материале перепад давления на фильтре увеличивается и при достижении предельного значения перекрывается входной трубопровод и по трубопроводу подается сжатый воздух, вытесняя из фильтровального слоя воду и твердые частицы в желоб, которые через трубопроводы и выводятся из фильтра. Достоинством конструкции фильтра являются развитая поверхность фильтрования, простота и высокая эффективность.
Для очистки сточных вод кузнечно-прессовых и прокатных цехов от ферромагнитных примесей применяют электромагнитные фильтры, в которых используют пондермоторные силы взаимодействия между намагниченной фильтровальной загрузкой и ферромагнитными примесями сточной воды. Исходная сточная вода через трубопровод поступает в корпус из немагнитного материала, проходит через ограничительную решетку, фильтровальную загрузку из ферромагнитных частиц с толщиной слоя 0,15...0,2 м; опорную решетку и выводится из фильтра по трубопроводу. Намагничивание фильтровальной загрузки осуществляют магнитным полем, создаваемым катушкой индуктивности с ферромагнитным сердечником. Эффективность очистки сточных вод от ферромагнит ных и немагнитных примесей составляет соответственно 95...98 и 40...60%. Регенерацию фильтра осуществляют при выключенном электромагнитном поле неочищенной сточной водой в направлении фильтрования или в обратном направлении чистой водой.
Очистка сточных вод от маслопродуктов в зависимости от их состава и концентрации осуществляется на предприятиях отстаиванием, обработкой в гидроциклонах, флотацией и фильтрованием.
Отстаивание основано на закономерностях всплывания маслопродуктов в воде по тем же законам, что и осаждение твердых частиц. Процесс отстаивания осуществляется в отстойниках и маслоловушках. При проектировании очистных сооружений предусматривают использование отстойников как для осаждения твердых частиц, так и для всплывания маслопродуктов. При этом расчет длины отстойника проводят по скорости осаждения твердых частиц и по скорости всплывания маслопродуктов и принимают максимальное из двух значений.
Конструкция маслоловушек аналогична конструкции горизонтального отстойника. При среднем времени пребывания сточной воды в маслоловушке, равном двум часам, скорость ее движения составляет 0,003...0,008 м/с. В результате отстаивания маслопродукты, содержащиеся в воде, всплывают на поверхность, откуда удаляются маслосборным устройством. Для расчета маслоловушек необходимо знать скорость всплывания маслопродуктов, которую определяют по формуле
, и расход сточной воды. Тогда расчет сводится к определению геометрических размеров ловушки и времени отстаивания сточной воды.
Для очистки концентрированных маслосодержащих сточных вод предприятий, например стоков охлаждающих жидкостей металлорежущих станков, широко применяют обработку сточных вод специальными реагентами, способствующими коагуляции примесей в эмульсиях. В качестве реагентов используют Na2C03, H2SO4, NaCl, Al2(S04)3, смесь NaCl и Al2(S04)3 и др.
Отделение маслопродуктов в поле действия центробежных сил осуществляют в напорных гидроциклонах. При этом целесообразнее использовать напорный гидроциклон для одновременного выделения и твердых частиц и маслопродуктов, что необходимо учитывать в конструкции гидроциклона.
Схема напорного гидроциклона, предназначенного для очистки сточной воды от металлической окалины и масла. Исходная сточная вода через установленный тангенциально по отношению к корпусу гидроциклона входной трубопровод поступает в гидроциклон. Вследствие закручивания потока сточной воды твердые частицы отбрасываются к стенкам гидроциклона и стекают в шламосборник, откуда периодически удаляются. Сточная вода с содержащимися в ней маслопродуктами движется вверх, при этом вследствие меньшей плотности маслопродуктов они концентрируются в ядре закрученного потока, который поступает в приемную камеру, и через трубопровод выводятся из гидроциклона для последующей утилизации. Сточная вода, очищенная от твердых частиц и маслопродуктов, скапливается в камере, откуда через трубопровод отводится для дальнейшей очистки. Регулируемое гидравлическое сопротивление предназначено для выпуска воздуха, концентрирующегося в ядре закрученного потока очищаемой сточной воды. Указанные гидроциклоны используют для очистки сточных вод сортопрокатного цеха с концентрацией твердых частиц и маслопродуктов соответственно 0,13...0,16 и 0,01...0,015 кг/мЗ и эффективностью их очистки около 0,70 и 0,50. При расходе очищаемой сточной воды 5 м3/час перепад давлений в гидроциклоне составляет 0,1 МПа.
Очистка сточных вод от маслопримесей флотацией заключается в интенсификации процесса всплывания маслопродуктов при обволакивании их частиц пузырьками воздуха, подаваемого в сточную воду. В основе этого процесса лежит молекулярное слипание частиц масла и пузырьков тонкодиспергированного в воде воздуха. Образование агрегатов “частица — пузырьки воздуха” зависит от интенсивности их столкновения друг с другом, химического взаимодействия находящихся в воде веществ, избыточного давления воздуха в сточной воде и т.п.
В зависимости от способа образования пузырьков воздуха различают несколько видов флотации: напорную, пневматическую, пенную, химическую, биологическую, электрофлотацию и т.д.
Схема флотационной пневматической установки, предназначенной для очистки сточных вод от маслопродуктов, поверхностно-активных и органических веществ, а также от взвешенных частиц малых размеров. Исходная сточная вода по трубопроводу и отверстия в нем равномерно поступает во флотатор. Одновременно по трубопроводу подается сжатый воздух, который через насадки из пористого материала в виде мельчайших пузырьков равномерно распределяется по сечению флотатора. В процессе всплывания пузырьки воздуха обволакивают частицы маслопродуктов, поверхностно-активных веществ и мелких твердых частиц, увеличивая скорость их всплывания. Образующаяся таким образом пена скапливается между зеркалом воды и крышкой флотатора, откуда она отсасывается центробежным вентилятором в пеносборник и через трубопровод направляется для обработки пены и извлечения из нее маслопродуктов. В процессе вертикального движения сточной воды во флотаторе содержащийся в воздухе кислород окисляет органические примеси, а при малой их концентрации имеет место насыщение воды кислородом. Очищенная таким образом сточная вода огибает вертикальную перегородку и сливается в приемник очищенной воды, откуда по трубопроводу подается для дальнейшей обработки.
В промышленности также используют метод электрофлотации, преимущества которого заключаются в том, что протекающие при электрофлотации электрохимические окислительно-восстановительные процессы обеспечивают дополнительное обеззараживание сточных вод. Кроме того, использование алюминиевых или железных электродов обусловливает переход ионов алюминия или железа в раствор, что способствует коагулированию мельчайших частиц за грязнений, содержащихся в сточной воде.
Очистка сточных вод от маслосодержащих примесей фильтрованием — заключительный этап очистки. Этот этап необходим, поскольку концентрация маслопродуктов в сточной воде на выходе из отстойников или гидроциклонов достигает 0,01...0,2 кг/м3 и значительно превышает допустимые концентрации маслопродуктов в водоемах. Кроме того, в оборотных системах водоснабжения допустимое содержание маслопродуктов в сточной воде на выходе из очистных сооружений во многих случаях меньше ПДК их в воде водоемов.
Адсорбция масел (как и любых нефтепродуктов) на поверхности фильтроматериала происходит за счет сил межмолекулярного взаимодействия и ионных связей. Существенное влияние на процесс осаждения маслопродуктов на фильтроматериал имеют электрические явления, происходящие на поверхности раздела кварц-водная среда, связанные с возникновением разности электрических потенциалов на этой поверхности и образованием двойного электрического слоя. На процесс адсорбции маслопродуктов влияют также и поверхностно-активные вещества (ПАВ), содержащиеся в сточной воде.
Исследования процессов фильтрования сточных вод, содержащих маслопримеси, показали, что кварцевый песок — лучший фильтроматериал. Применение реагентов повышает эффективность очистки, однако при этом значительно возрастает стоимость очистных сооружений и усложняется процесс их эксплуатации. Образующийся при этом осадок требует дополнительных устройств для его переработки.
В качестве фильтрующих материалов кроме кварцевого песка используют доломит, керамзит, глауконит. Эффективность очистки сточных вод от маслосодержащих примесей значительно повышается при добавлении волокнистых материалов (асбеста и отходов асбестоцементного производства).
Перечисленные фильтрующие материалы характеризуются рядом недостатков: малой скоростью фильтрации и сложностью процесса регенерации. Эти недостатки устраняются при использовании в качестве фильтроматериала вспененного полиуретана. Пенополиуретаны, обладая большой маслопоглощательной способностью, обеспечивают эффективность очистки до 0,97...0,99 при скорости фильтрования до 0,01 м/с, насадка из пенополиуретана легко регенерируется механическим отжиманием маслопродуктов.
Схема фильтра-сепаратора с фильтровальной загрузкой из частиц пенополиуретана, предназначенного для очистки сточных вод от маслопродуктов и твердых частиц. Сточную воду по входному трубопроводу подают под нижнюю опорную решетку. Вода проходит через фильтровальную загрузку в роторе, верхнюю решетку и очищенная от примесей переливается в приемный карман и выводится из корпуса фильтра. При концентрации маслопродуктов и твердых частиц до 0,1 кг/м3 эффективность очистки составляет соответственно 0,92...0,98 и 0,90, а время непрерывной эксплуатации фильтра — 16...24 ч. Достоинством данной конструкции являются простота и высокая эффективность регенерации фильтра, для чего включают электродвигатель. При вращении ротора с фильтровальной загрузкой частицы пенополиуретана под действием центробежных сил отбрасываются к внутренним стенкам ротора, выжимая маслопродукты из ротора, которые поступают затем в карманы и направляются на регенерацию. Время полной регенерации фильтра составляет 0,1 ч.
Схема полиуретанового фильтра для очистки сточных вод от маслопримесей. Сточная вода по трубопроводу поступает в распределительную камеру и через регулирующий вентиль и водораспределительные окна подается в фильтр, заполненный пенополиуретаном. Пройдя через слои фильтроматериала, сточная вода очищается от масла и взвешенных веществ и через сетчатое днище отводится по трубопроводу. Для поддержания постоянного уровня очищаемой воды в фильтре предусмотрена камера с регулирующим вентилем. Регенерация частиц пенополиуретана осуществляется специальным устройством, установленным на передвижной тележке, что позволяет регенерировать весь объем фильтра. Насыщенные маслом частицы пенополиуретана цепным элеватором подают на отжимные барабаны и, освободив от маслообразных и взвешенных веществ, вновь подают в фильтр. Отжатые загрязнения по сборному желобу отводят для дальнейшей переработки.
8. Экологические требования при размещениии и эксплуатации предприятий.Каждое предприятие должно проходить экологическую экспертизу.
Экологическая экспертиза — система комплексной оценки всех возможных экологических и социально-экономических последствий осуществления проектов и реконструкций, направленная на предотвращение их отрицательного влияния на окружающую среду и на решение намеченных задач с наименьшими затратами ресурсов.
Правила определения допустимых выбросов вредных веществ промышленными предприятиями установлены ГОСТ 17.2.3.02-78. Для проведения экологической экспертизы при выборе площадки для строительства предприятия или при реконструкции действующего предприятия должны быть представлены следующие материалы:
- краткие сведения по обоснованию выбора района строительства с учетом физико-географических и метеорологических факторов, а также исходных данных, полученных от органов Госкомгидромета, характеризующих существующие уровни загрязнения атмосферы;
- характеристика выбросов загрязняющих веществ предприятием в атмосферу, ситуационный план района размещения предприятия с указанием размера санитарно-защитной зоны;
- намеченные решения по очистке и утилизации загрязняющих веществ;
- упрощенные (в соответствии с ОНД-86) расчеты загрязнения атмосферного воздуха;
- обоснование данных о возможных аварийных и залповых выбросах;
- нормативы ПДК загрязняющих веществ, которые будут выбрасываться в атмосферу.
Необходимо также учитывать совместное влияние на атмосферу загрязнений, поступивших из различных источников.
Разработка ПДВ должна проводиться на основе современных методов расчета, с учетом фоновых концентраций загрязнений в зоне промышленного предприятия. Кроме того, при разработке проектной документации необходимо предусмотреть действенный контроль за эффективностью работы очистного оборудования и за количеством выбросов загрязняющих веществ.
На многих предприятиях велики объемы загрязненного воздуха, выбрасываемого в атмосферу установками общеобменной вентиляции производственных помещений и местной вентиляции. Для таких источников строят вентиляционные трубы, расчет рассеивания выбросов которых производится по ОНД-86.
Общий выброс из мелких вентиляционных источников от одного здания в расчетах рассеивания за пределы предприятия можно относить к одному или нескольким условным источникам, для каждого из которых обосновываются значения ПДВ. Если выбросы превышают ПДВ, то должна быть предусмотрена очистка выбросов до рассеивания.
На определенных стадиях технологических процессов или при аварийных ситуациях возможны “залповые” выбросы загрязняющих веществ в атмосферу, ПДВ для которых устанавливается по ОНД-86, полагая мощность источника выброса
(г/с), где
— масса выбрасываемого вредного вещества, г;
— продолжительность залпового выброса, с. Для аварийных выбросов значения ПДВ не устанавливаются. При согласовании воздухоохранных мероприятий, намечаемых при реконструкции предприятий, указанные сведения по выбросам приводятся в сравнении с ранее существовавшими.
Проектные материалы по охране атмосферного воздуха от загрязнения должны быть оформлены и представлены на утверждение в виде отдельной книги “Мероприятия по охране атмосферного воздуха от загрязнения”.
Экспертизу проектных решений осуществляет экспертный Совет Госкомприроды. По результатам экологической экспертизы разработчику проекта выдается разрешение на выбросы загрязняющих веществ стационарными источниками с указанием срока его действия. Если значения ПДВ по объективным причинам не могут быть достигнуты, ГОСТ 17.2.3.02-78 допускает поэтапное снижение выбросов вредных веществ от действующих предприятий от временно согласованных вопросов (ВСВ) до значений ПДВ.
Для снижения выброса загрязняющих веществ в атмосферу необходимо провести следующие мероприятия: детально проработать технологический процесс с целью снижения количества выбрасываемых токсичных веществ или замены их на нетоксичные или малотоксичные; повысить герметичность оборудования; разработать и применить эффективную пылегазоочистку. Только после комплексной реализации этих мероприятий следует решать вопрос о рассеивании загрязняющих веществ через трубы. Методические рекомендации по согласованию и экспертизе мероприятий по охране атмосферы приведены в сборнике.
Воздействие промышленного предприятия на геологическую среду определяется технологической нагрузкой — годовым количеством всех видов твердых и жидких отходов предприятия. Объектами повышенной экологической опасности считаются различные отстойники и шламонакопители.
При экспертизе проектов необходимо проверять наличие у предприятия возможностей по переработке и захоронению твердых и жидких отходов, а также полноту использования новейших научно-технических достижений в области малоотходной и безотходной технологии.
Оценку экологического воздействия промышленного предприятия на гидросферу проводят на основе баланса его водообеспечения (СНиП 11-31—88), в котором указывают компоненты водопотребления и водоотведения, а также объемы (м3/сут): повторно используемой воды, промышленных сточных вод, хозяйственно-бытовых сточных вод, безвозвратных потерь воды.
Создание замкнутых систем водообеспечения — основное направление сокращения потребления свежей воды и предотвращения сбросов сточных вод. При экспертизе проектов следует проверять наличие и полноту разработки предложений по созданию замкнутых систем водообеспечения с необходимыми технико-экономическими обоснованиями.
При экспертизе проектов размещения крупных промышленных комплексов следует рассматривать состояние окружающей среды в районе, примыкающем к предприятию в радиусе 20 — 30 км. Размер санитарно-защитной зоны должен соответствовать требованиям СН 245-71, СНиП II-89—80 и руководства по проектированию санитарно-защитных зон промышленных предприятий.
Не допускается утверждение проекта предприятия без проведения экологической экспертизы. В соответствии с ГОСТ 0.0.04—90 предприятие должно иметь экологический паспорт.
9. Укрупненная оценка экономического ущерба от загрязнений.Экономическая оценка ущерба Уа, причиняемого годовыми выбросами загрязнений в атмосферу, для всякого источника определяется по формуле:
,
где Уа — оценка ущерба, руб./год;
— константа, численное значение которой равно 2,4 руб. на условную тонну выбросов, руб./усл. т;
— показатель относительной опасности загрязнения атмосферного воздуха над различными территориями;
f — поправка, учитывающая характер рассеяния примеси в атмосфере;
Mа — приведенная масса годового выброса загрязнений из источника, усл. т/год.
Поправку f определяют в зависимости от скорости оседания частиц. Для газообразных примесей и легких мелкодисперсных частиц с очень малой скоростью оседания (менее 1 см/с) принимают:
(1)
Здесь h — геометрическая высота устья источника по отношению к среднему уровню зоны активного загрязнения (ЗАЗ), м;
U — среднегодовое значение модуля скорости ветра на уровне флюгера, м/с; если его значение неизвестно, то принимают U=3 м/с;
— безразмерная поправка на тепловой подъем факела выброса в атмосфере, вычисляемая по формуле:
,
где
— среднегодовое значение разности температур в устье источника (трубы) и в окружающей атмосфере на уровне устья, °С.
Для частиц, оседающих со скоростью от 1 до 20 см/с:
. (2)
Для частиц, оседающих со скоростью свыше 20 см/с, принимается, что независимо от значения h,
и U
f=10 (3).
Если скорость оседания частиц неизвестна, то значение поправки f определяется в зависимости от коэффициента очистки (улавливания)
выбросов. Если
, то расчет f ведется по формуле (1); если
70% — по формуле (2); если
— по формуле (3). При выбросе частиц одновременно с парами воды или другими веществами, сопровождающемся быстрой конденсацией, а также при оценке ущерба от выброса аэрозолей автотранспортными средствами исходят из требования (3). При сжигании жидких и газообразных топлив, не сопровождающемся быстрой конденсацией частиц (отсутствует одновременный выброс паров и т.д.), используют формулу (3).
Если значения f для различных типов примесей (газов и аэрозолей), выбрасываемых одним источником, различны, то общая оценка ущерба суммируется.
Значение приведенной массы M годового выброса загрязнений в атмосферу из источника определяют по формуле

где Mi — масса годового выброса примеси i-го вида в атмосферу, т/год;
Ai — показатель относительной опасности (агрессивности) примеси i-го вида, усл. т/т.;
N — общее число примесей, выбрасываемых источником в атмосферу.
При оценке ущерба от выбросов необходимо учитывать все выбрасываемые в атмосферу вещества, включая микропримеси. Игнорирование наличия какой-либо примеси в составе выбросов может привести к получению заниженной оценки ущерба, что, в свою очередь, может дать заниженную оценку эффекта атмосфероохранных мероприятий. Определение ущерба следует проводить на основе полного количественного анализа состава выбрасываемых пылей, включая токсичные и канцерогенные микропримеси.
При определении значения
следует учитывать перспективу увеличения плотности населения в ЗАЗ и т.п.
Экономическую оценку годового ущерба от загрязнения водоемов Ув (руб./год) от годичного сброса загрязняющих примесей в k-й водохозяйственный участок некоторым источником определяют по формуле
![]()
Здесь
— константа, численное значение которой рекомендуется принимать равным 144 руб./усл. т;
— константа для различных водохозяйственных участков;
Mв — приведенная масса годового сброса примесей данным источником в k-й водохозяйственый участок, усл. т/год,
где i — номер сбрасываемой примеси;
N — общее число примесей, сбрасываемых источником;
Ai — показатель относительной опасности сброса i-го вещества в водоемы, усл. т/т; для каждого загрязняющего вещества

где
— предельно допустимая концентрация i-го вещества в воде объектов, используемых для рыбохозяйственных целей;
mi — общая масса годового сброса i-й примеси оцениваемым источником, т/год. Если источник сбрасывает сточные воды нескольких типов, различающеся степенью очистки, то
, где mij — масса годового поступления i-го вещества от данного источника со сточными водами j-го типа, j=1,2, ... , k (т/год).
Если сточные воды сбрасываются в водоем от оцениваемого источника без смешения, то mij=cijVj, где Vj — объем годового сброса сточных вод j-го типа данным источником в водоем, млн. м3/год; cij — концентрация j-й примеси.
Если на городские или региональные (коллективные) очистные сооружения поступают сточные воды от L источников, и при этом очистные сооружения удерживают рi, % от общей годовой массы i-го вещества, поступившей в очистные сооружения от всех L источников, то массу годового сброса i-го вещества от l-го источника определяют по формуле
![]()
где
— масса i-го вещества, поступающего на очистные сооружения в течение года, т/год.
При отсутствии утвержденного значения
при определении Ai, допускается вместо
для рыбного хозяйства использовать утвержденное значение ПДК i-го вещества для хозяйственно-питьевого и культурно-бытового водопользования. Если в действующих нормах ПДК нужное вещество не указано, то для оценки ущерба принимают значение Ai=5*104 усл. т/т.
Оценка экономического ущерба от загрязнения окружающей среды является основой при разработке комплекса природоохранных мероприятий.
10. Расчетным путем оценить опасность загрязнения воздушного бассейна и рассчитать предельно допустимый выброс при следующих условиях:Число источников выброса | 2 | |
Высота источника выброса, м | 42 | 18 |
Диаметр устья источника выброса, м | 2.6 | 1.2 |
Объемный расход газовоздушной смеси, м3/с | 110 | 10 |
Температура газовоздушной смеси, 0С | 125 | 60 |
Температура воздуха, 0С | 28 | |
Интенсивность выброса диоксида серы, г/c | 16 | 12 |
Расстояние между источниками, м | 600 |
Указание: В ходе расчета необходимо определить максимальные концентрации в приземном слое Cmax, расстояние от источника Xmax, на котором эти концентрации формируются, а также оценить опасность загрязнения j для каждой гозовоздушной смеси. При оценке опасности загрязнения и расчете ПДВ следует, в случае необходимости, учесть эффект суммации и эффект наложения.
Справка: Максимально разовые предельно допустимые концентрации выбрасываемых веществ, мг/м3: зола — 0.5; диоксид серы — 0.5; оксид азота — 0.85; оксид углерода — 3.0. Диоксид серы и оксиды азота обладают эффектом суммации.
Решение.
Для определения фактора опасности загрязнения j необходимо определить максимальную концентрацию загрязняющего вещества в приземном слое Cmax, которая определяется по формуле:
![]()
где
A — коэффициент температурной стратификации, для Норильска A=160.
M — интенсивность выброса, по условию M1=16 г/c, M2=12 г/с.
F — безразмерный коэффициент, учитывающий скорость оседания вредных веществ в воздухе, т.к. у нас по условию задачи идет выброс диоксида серы, то F=1.
H — высота источника, H1=42 м, H2=18 м.
V — объем газовоздушной смеси, V1=110 м3/с, V2=10 м3/с.
rt — разность температур, rt1=125-28=97 0C, rt2=60-28=32 0C.
m — коэффициент, учитывающий условия выхода газовоздушной смеси из устья источника выброса. Для определения m необходимо подсчитать f:
![]()
В данной формуле нам неизвестно только W — скорость выхода газовоздушной смеси, которую мы выразим из следующей формулы:
![]()
Отсюда
![]()
Подставим значения:
![]()
![]()
Теперь расчитаем f для каждого из источников:
![]()
![]()
Зная f мы можем рассчитать m для каждого источника, т.к. f1 и f2 у нас меньше 100, то рассчитывать будем по следующей формуле:
![]()
![]()
![]()
n — коэффициент, учитывающий условия выхода газовоздушной смеси из устья источника выброса. Для определения этого параметра нам необходимо вычислить “опасную” скорость ветра. Т.к. по условию задачи температуры обеих газовоздушных смесей превосходят температуру окружающей среды, то выбросы можно считать “горячими”. Для подсчета “опасной” скорости ветра нам необходимо подсчитать безразмерную величину
по формуле:
![]()
Отсюда
![]()
![]()
Отсюда “опасную” скорость ветра будем вычислять по формуле:
![]()
![]()
Теперь через безразмерную велечину
определим n:
Т.к.
>2, то n1=1, а
, то
![]()
![]()
Безразмерная величина
для Норильска равна 1.
Теперь мы имеем все данные для рассчета Cmax:
![]()
![]()
![]()
Теперь мы можем определить опасность загрязнения воздушного бассейна по формуле:
![]()
где ПДК для диоксида серы равно 0,5.
![]()
![]()
Определим расстояние Xmax, на котором формируются максимальные концентрации. Определять будем по формуле:
![]()
В этой формуле нам неизвестна величина d — параметр, учитывающий условия выброса. Этот параметр находится по формуле:
![]()
Рассчитаем этот параметр для каждого из источников:
![]()
![]()
Теперь определим Xmax для каждого из источников:
![]()
![]()
Определеная ранее опасность загрязнения воздушного бассейна не учитывала совместного влияния обоих источников. Теперь найдем опасность загрязнения с учет их влияния друг на друга по формуле:
![]()
где С2 находится по формуле:![]()
в свою очередь S2 находится по графику:
исходя из того, что
![]()
S2=0,99
Отсюда ![]()
![]()
Для второго источника: ![]()
где С1 находится по формуле: ![]()
в свою очередь S1 находится по графику, исходя из того, что
![]()
S1=0,9
Отсюда ![]()
![]()
Т.к. у нас j2 превышает ПДК, т.е. больше 1, то необходимо рассчитать предельно допустимый выброс по формуле:
![]()
- Конспект по предмету “Экология”.
- Буркова И.И. Основы общей экологии и охрана окружающей среды. — Ч. 1. — Норильск, 1977.
- Яковлев С.В., Карелин Я.А., Ласков Ю.М., Воронов Ю.В. Водоотводящие системы промышленных предприятий. — М., 1990.
- Охрана окружающей среды. Под ред. С.В. Белова. — М., 1991.
- Зотова Л.М., Носова О.В. Охрана Гидросферы. — Норильск, 1994.