Различные оценки степени загрязнения водоемов
ТОМСКИЙ ГОСУДАРСТВЕННЫЙ УНИВЕРСИТЕТ
Биолого-почвенный факультет
Кафедра ихтиологии и гидробиологииРеферат на тему:
“Различные оценки степени загрязнения водоемов”
Томск - 1999Предисловие
Зависимость человека от природы, от естественной среды обитания существовала на всех этапах человеческой истории. С одной стороны, по мере развития производительных сил общества, по мере того как взаимоотношения человека с окружающей средой все более опосредовались создаваемой им “второй природой”, человек повышал свою защищенность от стихийного буйства природы. Изобретая, например, способы получения и использования железа, меди, человек резко увеличивает свое могущество во взаимоотношениях с природой. Вместе с тем с течением времени само развитие цивилизации оказывается зависимым от экологической обстановки на планете. Мы видим, что не только человек зависит от природы, но и сама окружающая человека природа зависит от него, от масштабов, форм и направлений его деятельности.
Антропогенное влияние на биосферу и неблагоприятные последствия загрязнения выходят за пределы локального воздействия, приобретая региональный и даже глобальный характер. Огромная угроза для всего человечества заключается в загрязнении водоемов. Синтетические органические вещества, ионы тяжелых металлов, аккумулируясь в тканях, оказывают отрицательное воздействие на репродуктивные процессы гидробионтов. Это влияние загрязнения находит свое реальное выражение в прогрессирующей эвтрофикации водоемов, накоплении химических токсикантов в разных средах, в снижении экологической продуктивности водных экосистем. А.С.Константинов (1986) отмечает, что создается угроза нарушения экологического равновесия в природе, опасность которого трудно переоценить. Поэтому перед человечеством встает грандиозная задача охраны гидросферы. И чтобы оценить состояние водоема, необходимы хорошо разработанные гидробиологические классификации водных экосистем, по которым возможно установление основных изменений водных биоценозов в условиях загрязнения окружающей среды.
Гидробиологические показатели являются важнейшим элементом системы контроля загрязнения водной среды. Контроль окружающей природной среды по гидробиологическим показателям является высоко приорететным также с точки зрения обеспечения возможности прямой оценки состояния водных экологических систем, испытывающих вредное влияние антропогенных факторов (Ю.А.Израэль, Н.К.Гасилина и др., 1981).
Различные оценки степени загрязнения водоемов.
Под загрязнением водоемов понимается ухудшение их экономического значения и биосферных функций в результате антропогенного поступления в них вредных веществ. Экологическое действие загрязняющих веществ проявляется на организменном, популяционном, биоценотическом и экосистемном уровнях. На организменном уровне наблюдаются нарушение отдельных физиологических функций, изменение поведения, снижение темпа роста, увеличение смертности вследствие прямого отравления или уменьшения устойчивости к стрессовым состояниям внешней среды. Большое значение имеет повреждение генетического аппарата и трансформация исходного генофонда особей. На уровне популяций загрязнение может вызвать изменение их численности и биомассы, рождаемости и смертности, половой и размерной структуры. Следует добавить хаотизацию внутрипопуляционных отношений, вызываемую изменением поведения особей и искажением языка химических сигналов. На биоценотическом уровне загрязнение сказывается на структуре и функциях сообщества, поскольку одни и те же загрязняющие вещества неодинаково влияют на разные компоненты биоценоза. В конечном итоге происходит деградация экосистем – ухудшение их как элементов среды человека и снижение положительной роли в формировании биосферы (Константинов, 1986).
В системе гидробиологической службы наблюдений и контроля поверхностных вод используются как индикаторы качества вод бактерии, простейшие, водоросли, макробеспозвоночные и рыбы. Каждая группа этих организмов в качестве биоиндикатора имеет свои преимущества и недостатки, которые определяют границы ее применения при решении тех или иных задач биоиндикации (Абакумов, Качалова, 1981).
Уделяется внимание рассмотрению современных методов отбора и анализа бентосных организмов, а также обсуждению оценок состояния донных сообществ. Актуальность такого подхода определяется тем, что донные сообщества являются важнейшим компонентом экосистем, и играет значительную роль в трансформации органического вещества. Вместе с тем в результате антропогенного воздействия, бентосные сообщества, как правило, находятся в неблагоприятных условиях вследствие аккумуляции загрязняющих веществ в придонном слое воды и осадках. В силу ограниченной лабильности бентоса и относительной устойчивости донных сообществ они отражают фоновые загрязнения водных масс за относительно продолжительный период времени (Израэль, Абакумов и др., 1981).
Зоопланктон успешно используют в различных методах оценки качества воды и, особенно, при выработке экспресс методов. В тоже время существует мнение, что зоопланктон мало полезен для оценки качества вод, так как в водотоках он проносится течением, не образуя достаточно стабильных по составу сообществ, характерных для данного участка реки (Иванова, 1976). Но использование зоопланктона как индикатора загрязнения в озерах дает положительные результаты.
В 1908 и 1909 гг. Кольквитцом и Марссоном были опубликованы материалы по оценке степени загрязнения вод разлагающимися органическими веществами, или сапробности (по Макрушину, 1978).
Сапробность (от греческого sapros – гнилой) – физиолого-биохимические свойства организма (сапробионта), обусловливающего его способность обитать в воде с тем или иным содержанием органических веществ, поступающих в водоем преимущественно с хозяйственно-бытовыми стоками. Кольквитц и Марссон изучая различные водоемы, установили 4 зоны сапробности:
- Полисапробная зона – в воде разлагающиеся белки, условия среды анаэробные, характер биохимических процессов восстановительный, в воде много сероводорода.
- α-мезосапробная зона – присутствуют амино- и амидо- кислоты, условия среды полуанаэробные, характер биохимических процессов востановительно-окислительный; присутствует сероводород.
- β-мезосапробная зона – соединения азота в форме солей аммония, нитритов и нитратов, кислорода обычно много, но возможны заморы у дна и ночью из-за прекращения фотосинтеза, сероводород иногда в небольшом количестве, характер биохимических процессов окислительный.
- Олигосапробная зона – чистые воды, соединения азота в форме нитратов, вода насыщена кислородом; СО2 мало, сероводорода нет.
Помимо того, что Кольквитц и Марссон определили зоны сапробности, они дали списки видов, характерных для каждой из этих зон. В своих работах они продемонстрировали очередность исчезновения и повторного появления организмов – водорослей, простейших, макробеспозвоночных и рыб – в результате воздействия загрязняющих веществ. Системы Кольквитца и Марссона послужила основой многих последующих систем биологического анализа.
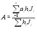
В 1955г. выходит работа Пантле и Букка (по Макрушину, 1978), в которой они характеризуют степень загрязнения индексом сапробности (S). Индикаторную значимость (s) они приняли у олигосапробов за 1, β-мезосапробов за 2, α-мезосапробов за 3 и полисапробов за 4. Относительное количество особей вида (h) оценивается следующим образом: случайные находки – 1, частая встречаемость 3 и массовое развитие – 5. Индекс сапробности вычисляется по формуле:

В полисапробной зоне он равен – 4.0-3.5, в β-мезосапробной –3.5-2.5 в α-мезосапробной зоне – 2.5-1.5 и в олигосапробной зоне 1.5-1.0.
Многие виды-индикаторы встречаются в водах 2, 3 или 4-х зон сапробности, что является причиной неточности при установлении средней сапробности биоценоза. Для уточнения Зелинка и Марван в 1961г ввели понятие сапробной валентности. Сапробная валентность показывает, в какой мере вид характерен для той или иной ступени сапробности. Сапробные валентности выражают одной или несколькими цифрами, сумма которых для вида равна 10 (табл. 1). Чтобы при оценке загрязнений повысить роль видов, присутствие которых характерно для определенной ступени сапробности по сравнению с видами, встречающимися в зонах разной сапробности, Зелинка и Марван вводят понятие индикаторного веса (J), который оценивается для каждого вида в баллах от1 до 5 и который показывает насколько высоко индикаторное значение вида.
Для определения степени сапробности всего биоценоза рассчитывают средневзвешенные сапробные валентности для ксеносапробной ступени – А, для олигосапробной ступени – В и т.д. по формуле:
![]()
;
и т.д.
где:
– количество особей i-го вида;
– индикаторный вес i-го вида;
,
,
- сапробные валентности вида i.
Таблица 1
Извлечение списка индикаторов сапробности
В.Сладечка (по Макрушину, 1978)
ВИД | A | B | C | D | E | J |
ксено- | олиго- | β-мезо | α-мезо | поли- | ||
X1 | - | 10 | - | - | - | 5 |
X2 | - | 8 | 2 | - | - | 4 |
X3 | 2 | 7 | 1 | - | - | 3 |
X4 | - | 4 | 5 | 1 | - | 2 |
X5 | 1 | 4 | 4 | 1 | - | 1 |
Примечание. См. в тексте
Величины сапробной валентности и индикаторные веса находят по опубликованным таблицам (Унифицированные методы исследования качества вод, 1966; Макрушин, 1974). Рассчитываются произведения a·J·h, b·J·h, c·J·h и т.д. для каждого вида и их суммы. Эти суммы делятся на суммы произведений J·h. Полученные величины (A, B, C, D, E) являются средневзвешенными сапробными валентностями биоценоза, сумма которых равна 10. Соотношение значений A:B:C:D:E следует понимать как картину сапробных условий в биоценозе. Положение наивысшего значения в этом ряду определяет, к какой зоне сапробности следует отнести изучаемый биоценоз. Соседние величины позволяют судить о том, в какую сторону возможны отклонения (Макрушин, 1974).
Совершенствуясь в течение долгого времени, система Кольквитца-Марссона стала наиболее детально разработанной системой биологического анализа качества вод. Тем не менее, многие авторы указывают на ряд присущих ей недостатков. Большое количество исследователей отмечают громоздкость практического применения этой системы. Использование методов Пантле и Букка, Зелинки и Марвана, требует много времени и квалифицированных специалистов по систематике водной фауны и флоры (Макрушин, 1974; Мороз, 1978; Макрушин, Кутикова, 1976).
Эти методы дают положительные результаты для грязных и загрязненных участков, где встречаются организмы с индексами сапробности в основном известными, и были непригодны для тех, где много видов с не установленной сапробностью, особенно для самых чистых участков. На “чистых” станциях индексы сапробности оказались выше действительных (Мороз, 1978; Макрушин, Кутикова, 1976; Финогенова, Алимов, 1976; Макрушин, 1974). Непригодность этих методов также обусловлена различиями фауны среднеевропейских и наших рек (Финогенова, Алимов, 1976; Макрушин, 1974).
Произвольная оценка численности организмов не представляется достаточно корректной применительно к животным макрозообентоса из-за значительных различий в их размерах и вытекающей отсюда субъективности и путанице в определении частоты встречаемости. Понятия “много” и “мало” и т.д. для разных организмов будет иметь разные значения, что не всегда может быть квалифицированно осознанно (Финогенова, Алимов, 1976). Метод Пантле и Букка позволяет наглядно установить, что станции, относящиеся к одному и тому же классу вод, разнятся между собой (Мороз, 1978).
Система сапробности Кольквитца и Марссона и ее модификации разработаны применительно к водоемам, загрязненными органическими веществами биогенного происхождения. Для оценки степени загрязнения вод веществами химического происхождения она не пригодна.
C 1955 года начал работу над биотическим индексом Ф. Вудивисс. При разработке системы было решено, что она должна отвечать следующим требованиям:
- быть цифровой;
- иметь верхнее и нижнее предельные значения, в рамках которых могли бы уложиться все случаи качества воды, имеющие отношение к контролю загрязнения;
- быть простой в применении даже в полевых условиях и не требовать сложных вычислений;
- не должна зависеть от видов тех групп организмов, определение которых слишком трудоемко;
- быть достаточно гибкой для возможного применения в будущем на основании накопленного опыта.
При выборе “ключевых” организмов или групп в качестве индикаторов изменения воды от очень загрязненной до чистой Ф.Вудивисс предпочел организмы, которые наиболее широко распространены в бассейне реки Трент (Англия). Он исследовал свыше 500 проб, взятых по всему водосбору реки и подтвердил возможность использования отмеченных им организмов как индикаторов качества воды. Действительно, загрязнение вод сокращает разнообразие организмов, хотя устойчивые к загрязнению воды могут продолжать существовать в обилии в этом же пункте (Вудивисс,1977). Этот факт и решил использовать Ф.Вудивисс для биотического индекса, но поскольку невозможно установить таксономическое положение всех организмов в течение ограниченного срока, Вудивиссом был составлен список оперативных единиц, которые для удобства он назвал “группами”. Несомненное достоинство этого метода в том, что в нем объединяются принципы индикаторного значения отдельных таксонов и принцип изменения разнообразия фауны в условиях загрязнения (Финогенова, Алимов, 1976; Гореликова, 1988). В отличии от системы Кольквитца-Марссона система Вудивисса может с успехом использоваться персоналом средней квалификации (Макрушин,1974).
Но есть также отрицательные моменты использования данного метода в наших водах. Сравнивая различные методы оценки качества вод, Т.Г. Мороз (1978) установил, что метод Вудивисса приемлем для грязных и сильно загрязненных вод; для более чистых вод биотические индексы занижены, так как отсутствовали личинки поденок, ручейников, веснянок и преобладали группы, которые в системе Вудивисса почти не отражены или же объединены в очень крупные таксоны. Н.П.Финогенова и А.Ф.Алимов (1976) считают, что необходимы специальные работы для разработки метода применительно к особенностям фауны разных районов в соответствии с зоогеографическим делением внутренних водоемов.
Н.М.Гореликова (1988) использовала метод Вудивисса для оценки качества вод Воткинского водохранилища. По ее расчетам, метод не может применяться в водохранилищах в целом, так как загрязняемый, но наиболее проточный район всегда имеет более разнообразную фауну, чем ниже- расположенные участки с замедленным водообменом и однообразными илистыми грунтами. Оценить качество воды методом Вудивисса можно только в проточных участках водохранилищ.
Индекс дает ненадежные результаты когда участок загрязнения находится на небольшом расстоянии от расположенного выше чистого участка реки. Вниз по течению мигрируют организмы характерные для зон с более высоким биотическим индексом (Тищиков, 1981).Фауна зарослей также не дает положительных результатов. Даже на участках с высоким уровнем загрязнения в зарослях присутствует разнообразный комплекс гидробионтов, включающих группы и виды, указывающие на высокий биотический индекс (Тищиков, 1981).
В 1961 году Гуднайт и Уитлей (по Финогеновой, Алимову, 1976) предложили оценивать состояние водоема по отношению численности олигохет к общей численности животных бентоса:
Если это соотношение более 60%, авторы определяют хорошее состояние водоема, если 60-80% - река в сомнительном состоянии и более 80% - река в тяжелом состоянии.
Индекс Гуднайта и Уитлея делят на шесть градаций (табл. 2).
Таблица 2
Отношение численности олигохет к общей численности
животных бентоса.
Сапробность | 0.01-0.16 | 0.17-0.33 | 0.34-0.50 | 0.51-0.67 | 0.68-0.84 | 0.85-1.00 |
Вода | чистая | условно чистая | слабо загрязненная | загрязненная | грязная | очень грязная |
По мнению многих ученых (Винберг, Алимов, Балушкина, Никулина, Финогенова, Цалолихин, 1977; Мороз, 1978) индекс Гуднайта и Уитлея является наиболее подходящим для оценки качества вод по олигохетам, ведь он прост и удобен. Но, как отмечает Тищиков (1981), индекс Гуднайта и Уитлея зависит от полноты учета олигохет. Изучения реки Березины показали, что олигохеты встречаются до глубины 15-20 см, тогда как представители других групп до 3-6 см. Использование дночерпателей, не обеспечивающих отбор проб на достаточную глубину приводит к недоучету олигохет и, соответственно, снижению величины индекса.
Н.Г.Гореликова (1988), исследуя зообентос Воткинского водохранилища и проверяя различные индексы для оценки качества воды, предложила использовать в индексе Гуднайта и Уитлея не олигохет в целом, а численность тубифицид, что более точно отображало ситуацию качества вод.
Цанер в 1964 году (по Макрушину, 1974) предложил оценивать качество вод отношением численности Tubifex tubifex к численности видов рода Limnodrillus. При чем соотношение тем выше, чем сильнее загрязнение. Цанер в 1965 году дает таблицу (табл. 3), в которой показана зависимость между качеством воды и численностью тубифицид.
Таблица 3
Плотность олигохет, характеризующая разные степени
загрязнения (по Макрушину, 1974).
Класс чистоты воды | Tubifex tubifex (тыс. эк/м**2) | р.Limnodrillus (тыс. эк/м**2) |
1 – 2 | 0.1 – 1 | 0.1 – 2 |
2 – 3 | 1 – 2 | 2 – 10 |
3 | 2 – 10 | 10 – 50 |
3 – 4 | 10 – 50 | 50 – 100 |
4 | 50 – 100 и более | более 100 |
Первый класс чистоты воды соответствует олигосапробной ступени, 2 - β-мезосапробной, 3 - α-мезосапробной и 4 – полисапробной.
В литературе можно встретить различные точки зрения относительно индекса Цанера по численности T. Tubifex и видов рода Limnodrillus.
Финогенова и Алимов (1976) считают, что индекс неплохо отражает степень загрязнения, так как в нем учтена сезонная динамика численности олигохет: граници каждого класса достаточно широки, чтобы вместить сезонные колебания.
Неприменимым в наших условиях считает этот индекс Т.Г.Мороз (1978). Поскольку численность олигохет бывает невилика, отчего оценка чистоты вод не соответствует действительности.
В 1964 г. Кинг и Болл (по Финогеновой, Алимову, 1976) предложили индекс, учитывающий отношение биомассы (В) насекомых и олигохет:
При тяжелом загрязнении индекс соответственно будет 0/1, а в чистой воде 612/1. Но этот индекс не учитывает сезонной динамики численности животных и особенно личинок насекомых. Поэтому одноразовые сборы могут совпасть с периодом минимальной численности, обусловленной вылетом насекомых, а отнюдь не с загрязнением, и привести к неверной оценке (Финогенова, Алимов, 1976).
Карр и Хилтонен в 1965 г. (по Макрушину, 1974) предложили оценивать степень загрязнения по величине абсолютной численности олигохет:
100 – 999 экз/м2 – слабое загрязнение;
1000 – 5000 экз/м2 – среднее загрязнение;
более 5000 экз/м2 – тяжедое загрязнение.
Многие ученые считают этот индекс неприемлемым для наших вод (Мороз, 1978; Финогенова, Алимов, 1976; Гореликова, 1988).
Н.М.Гореликова (1988) предлагает свою модификацию данного индекса. Для оценки качества вод водохранилищ она использует численность тубифицид, а не олигохет в целом. “Среднее” загрязнение должно соответствовать численности тубифицид 5000 –10000 экз/м2, “тяжелое” – более 10000 экз/м2.
Бринхест в 1966 г. предложил индекс отношения численности Limnodrillus hoffmesteri (по Финогеновой, Алимову, 1976) к суммарной численности олигохет – чем выше его величина, тем больше загрязнение. Н.П.Финогенова и А.Ф.Алимов (1976) считают, что индекс пригоден для водоемов, на которых он был разработан, а именно для американских Великих озер.
В 1975 г. сотрудниками АН Латв. ССР Э.А.Пареле и О.З.Качаловой специально для олигохет была предложена новая методика оценки качества вод под названием “Tubifex” (Пареле, 1975). Были получены стандартные коэффициенты сапробности D1 и D2 для водоемов Латвии.
D1 – бентос состоит из разных групп животных;
D2 – бентос состоит почти полностью из олигохет.
B – все организмы бентоса, включая олигохет;
О – все олигохеты, включая тубифицид;
Т – все тубифициды.
Значения коэффициентов D1 и D2 почти совпадают и поэтому Э.А.Пареле предлагает использовать коэффициент D2:
D2 = 0.80 – 1.00 (сильное загрязнение);
D2 = 0.55 – 0.79 (загрязненная);
D2 = 0.30 – 0.54 (слабо загрязненная);
D2 = < 0.30 (относительно чистая).
Использование данного индекса на водах Нижнего Днепра не дало положительных результатов (Мороз, 1978). В пробах олигохеты были представлены в основном тубифицидами. В связи с этим индекс отношения их численности к сумарной численности олигохет был очень высоким – по его показаниям, все станции следовало отнести к сильно загрязненной зоне, что не отвечало реальности. Финогенова и Алимов (1976), Гореликова (1988), считают, что методика оценки воды “Tubifex” применима для тех рек, на которых была выработана, т.е. для водотоков Латвии.
Е.В.Балушкина (1976) предложила использовать в качестве индикаторов степени загрязнения хирономид. Ее исследования показали, что под влиянием загрязнения происходит закономерное изменение соотношения численности личинок хирономид относящихся к подсемействам Chironomidae, Ortocladiinae, Tanypodinae. В наиболее чистых водах доминируют личинки ортокладиин, а в загрязненных таниподин. Для индикации загрязнений Е.В.Балушкиной (1976) был предложен индекс К, который отражает соотношения представителей этих 3-х подсемейств:
αt, αch, αor – соответственно индикаторные значения представителей каждого из подсемейств. α=N+10, при этом N – относительная численность особей каждого из подсемейств в процентах от общей численности личинок хирономид. Число 10 введено для ограничения пределов значений индекса К . Определение величины индекса К в изучаемых реках показали его закономерное возрастание по мере загрязнения воды (Винберг, Алимов и др., 1977; рис. 1).
0.136 1.080 6.500 9.000 11.500
чистые | умеренно загрязненные | загрязненные | грязные |
Рис. 1. Значение индекса К в водах разной степени загрязнения.
Голубева (1981) подтверждает зависимость соотношений подсемейств хирономид от степени загрязнения водоема. Однако большое количество исследователей отмечает, что индекс Балушкиной не дает положительных результатов (Тищиков, 1981; Мороз, 1976; Гореликова, 1988).
Способность малощетинковых червей обитать на разнообразных субстратах, реагировать на антропогенные воздействия изменением структуры и численности своих популяций исследовал в своем индексе В.И.Попченко (1988). С учетом экологического и зоогеографического облика олигохет для оценки состояния чистоты внутренних вод европейского Севера В.И.Попченко предложил информационный индекс сапробности, отражающий отношение массовых видов, устойчивых в разной степени к загрязнению, к общему составу фауны олигохет:
Is – индекс сапробности олигохет;
Nt – средняя численность T.tubifex;
Nh – Limnodrillus hoffmeisteri;
Nf – Spirosperma ferox;
No – численность всех олигохет в биотопе.
По значениям показателя Is для разных условий водных экосистем северной Европы, как считает Попченко (1988), целесообразны 4 группы количественных показателей в пределах:
Is = 0.90 - 1.00 - сильно загрязненные воды;
Is = 0.50 – 0.89 –загрязненные воды;
Is = 0.30 – 0.49 – слабо загрязненные воды;
Is < 0.30 – чистые и относительно чистые воды.
Биологический индекс зависит преимущественно от степени загрязнения, но не от характера грунта и глубин. Показано, что одинаковый тип грунта в местах с разной степенью загрязнения характеризуется различными по величине биотическими индексами (Попченко, 1988).